Tonatiuh-Heliostat Field Wizard

55 阅读1分钟

7. Heliostat Field Wizard (定日镜场向导)

定日镜场向导提供图形化的定日镜场快速创建工具,从Tonatiuh v2.2.2版本开始提供。

7.1 启动向导

image.png

图1: 通过Insert菜单启动定日镜场向导工具

访问路径: Insert > Component > Heliostat_Field_Component

image.png

图2: 定日镜场向导的主配置窗口,显示了坐标设置、定日镜模型和瞄准策略三个主要配置区域

7.2 定日镜坐标配置

image.png

图3: 定日镜坐标配置区域,显示文件导入和表格输入两种方式

方式1:文件导入

  • 文件格式:Tab分隔的x、y、z坐标

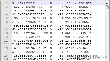
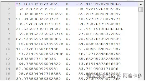
image.png

图4: 坐标文件格式示例,显示Tab分隔的x、y、z坐标数据

方式2:表格输入

image.png

图5: 手动输入坐标的表格界面,显示了8个定日镜的坐标输入示例

7.3 定日镜模型配置

image.png

图6: 定日镜模型配置区域,显示组件选择、新建设计选项以及详细的几何和光学参数设置

新建设计参数:

  • Shape: Flat_Rectangle 或 Spherical_rectangle
  • Width/Height: 定日镜尺寸(米)
  • Radius: 球面镜曲率半径设置
  • Reflectivity: 反射率百分比
  • Sigma Slope: 表面坡度误差(毫弧度)

7.4 瞄准策略配置

image.png

图7: 瞄准策略配置区域,显示文件指定、一维瞄准、点瞄准和表格自定义等多种瞄准选项

四种瞄准策略:

  1. Point: 所有定日镜瞄准同一目标点
  2. File Name: 从文件导入不同瞄准点
  3. One-Dimensional: 瞄准圆形接收器
  4. Table: 表格自定义每个定日镜的瞄准点