刚刚,GPT-5 Pro 自证全新数学定理!OpenAI 总裁直呼颠覆,大佬们集体转发

328 阅读5分钟

「【新智元导读】微软前 AI 副总裁兼杰出科学家 Sebastien Bubeck 发文表示 GPT-5 Pro 从零攻克了数学论文中的未解区间,这个发现让他大受震撼。该发现引得众多大佬转发,OpenAI 总裁认为 AI 或将加速数学研究。」

AI 真的能解决人类的前沿问题吗?

比如类似庞加莱猜想、求解麦克斯韦方程、费马大定理、黎曼猜想等问题。

今天这个问题有了答案。

AI 还真的可以!完全独立,不参考人类已有的任何方法。

昨晚,GPT-5 Pro 可以从零开始完全求解一个复杂的数学问题。

并且再次强调,它没有使用任何人类此前的证明方法。

而它的答案比论文中的求解方法都要好。

不过值得人类庆幸的是,论文作者后面又提供了全新的方法超过了 AI。

Sebastien Bubeck 是 OpenAI 的研究工程师,此前曾担任微软人工智能副总裁兼杰出科学家。

他把一篇论文直接扔给了 GPT-5 Pro。

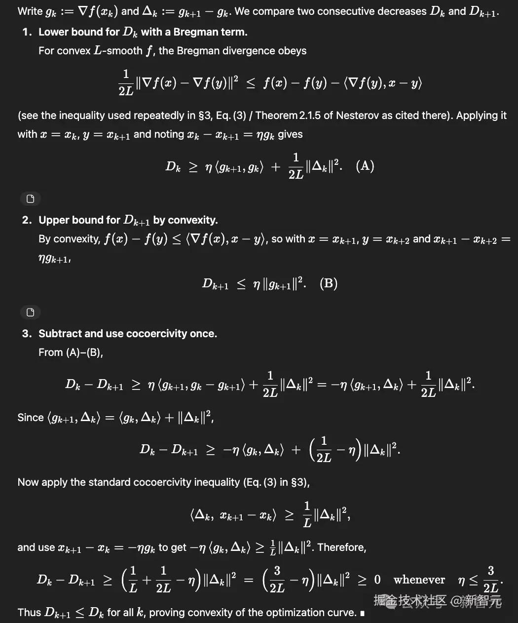
这篇论文研究了一个非常自然的问题:在光滑凸优化中,梯度下降法的步长η满足什么条件时,迭代点所对应的函数值形成的曲线是凸的?

论文地址:arxiv.org/pdf/2503.10…

在论文的 v1 版本中,他们证明了如果η小于 1/L(L 为光滑度),则可以得到此属性。

如果η大于 1.75/L,作者他们就构造了一个反例。

因此,未解决的问题是:在区间 [1/L,1.75/L] 内会发生什么情况。

首先,简单解释下这个问题。

「梯度下降」就像下山,每一步要选一个「步长η」「L」 可以理解成地形的「弯曲程度」(越大越陡 / 越敏感)。

论文不只关心「会不会往下走」(单调下降),还关心**「下降的轨迹是不是「凸」的」:也就是「每一步的进步幅度不会忽大忽小」**,不会「前面像平台、后面突然跳崖」。

这对**「何时停下来」**很有用——凸就表示越来越平稳,不会突然又大降。

Sebastien 用 GPT-5 Pro 去攻这个未解决区间,模型把已知下限从 1/L 推进到 1.5/L。

以下是 GPT-5 Pro 给出的证明。

虽然初看不明觉厉,但整体证明过程看起来非常优雅。

本来这个发现让 Sebastien 兴奋了好一阵,甚至想要直接发一篇 arXiv 论文。

但是,人类还是比 AI 快了一步。

论文原作者很快发了 v2 版本,彻底收尾,他们将阈值改写 1.75/L。

Sebastien 认为这个发现依然非常令人鼓舞,为什么?AI 不是并没有打败人类吗?

因为 GPT-5 Pro 在证明中,它试图证明的是 1.5/L 而不是 1.75/L,这也表明 GPT-5 Pro 并没有直接去搜索 v2 版本。

另外,上述证明与 v2 的证明也非常不同,它更像是 v1 证明的一种演进。

这么看,现在的 AI 能力,不仅仅是博士级,很多时候都超过博士了。

这个发现也让很多大佬们表示,AI 下一个可能改变和影响的就是数学领域。

在 AI 的帮助下,人类知识的边界将会再次被拓宽。

OpenAI 的总裁 Greg Brockman 甚至表示这可能是 AI 在数学领域展现生命力的一种迹象。

此外,这次发现也和之前 OpenAI 官宣自己拿下 IMO 和 IOI 金牌不同。

这次攻破数学题的模型,就是面向用户的 GPT-5 Pro 版本,而不是内部推理模型。

Sebastien 表示这个结论是经过自己 25 分钟验证。

作为前微软人工智能副总裁兼杰出科学家,他的证明应该没问题,看来 AI 确实实际证明了该数学问题。

GPT-5 发布后虽然毁誉参半。

但是,GPT-5 Pro 是真的达到,甚至超过了奥特曼所说的「博士级」AI。

虽然这次解决的问题还没有超过人类,但这种完全自主、自发现的能力苗头还是彰示了 AI 的能力。

这让我想起了流浪地球里的 MOSS,也是自发现、自组织、自编程的 AI。

Sebastien 是一个很厉害的人。

他目前在 OpenAI 从事人工智能相关的工作。

在此之前,Sebastien 曾担任微软的副总裁兼首席科学家,在微软研究院工作了 10 年(最初加入理论研究组)。

Sebastien 还在普林斯顿大学担任了 3 年的助理教授。

在 Sebastien 的职业生涯的前 15 年里,他主要研究凸优化、在线算法以及机器学习中的对抗鲁棒性。

因这些研究工作多次获得最佳论文奖(包括 STOC2023、NeurIPS2018 和 2021 最佳论文奖、与微软研究院实习生合作获得的 ALT2018 和 2023 最佳学生论文奖、COLT2016 最佳论文奖以及 COLT2009 最佳学生论文奖)。

他现在更加关注于理解智能是如何在大语言模型中涌现的,以及如何利用这种理解来提升大语言模型的智能水平,可能最终实现通用人工智能(AGI)。

Sebastien 们将这种方法称为「AGI 物理学」,因为他试图从不同的尺度(参数、神经元、神经元组、层、数据课程等)揭示 AI 系统各部分如何协同工作,从而产生这些模型惊人且出人意料的行为。

看起来,像 Sebastien 这样的数学家、科学家们正在致力于尝试破解大模型的黑箱之谜。

希望 AI 在拓展人类认知边界的同时,人类也能破解大模型的秘密。

参考资料:

x.com/Sebastien%2…