第九篇:卷积神经网络(CNN)与图像处理

487 阅读6分钟

🎯 本篇目标:

在这一篇中,我们将深入探讨卷积神经网络(CNN)的基本概念及其在计算机视觉中的应用。你将了解CNN的工作原理,掌握它如何处理图像数据,学习如何通过CNN模型实现图像分类、检测与分割等任务。

1. 什么是卷积神经网络(CNN)?

卷积神经网络(Convolutional Neural Network,CNN)是深度学习中专门用于处理图像数据的神经网络架构。与传统的全连接神经网络不同,CNN通过引入卷积操作来提取图像中的局部特征,能够高效地处理图像数据,且具有较强的空间不变性。

CNN的优势在于它能够自动地从原始图像中学习到层次化的特征,从低级特征(如边缘、纹理)到高级特征(如物体、面孔)。

1.1 CNN的工作原理

CNN的工作原理可以分为以下几个步骤:
  1. 卷积层(Convolutional Layer):使用卷积操作提取局部特征。卷积操作通过卷积核(滤波器)对输入图像进行滑动窗口操作,计算加权和来提取特征。
  2. 激活函数层(Activation Layer):通常使用ReLU激活函数,增加网络的非线性,帮助网络学习更复杂的特征。
  3. 池化层(Pooling Layer):通过下采样操作(如最大池化或平均池化)降低数据的空间维度,减少计算量并保持重要的特征。
  4. 全连接层(Fully Connected Layer):将提取到的特征输入到全连接层进行分类或回归任务,通常用于输出最终的预测结果。

2. 卷积神经网络的核心操作

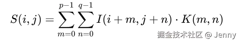
2.1 卷积操作

卷积操作是CNN的核心,主要通过卷积核(又称滤波器)对输入图像进行局部感知。卷积核在图像上滑动,计算图像区域的加权和,得到特征图(Feature Map)。

假设输入图像 I 和卷积核K 的维度为 Im×InIm×In 和 Kp×Kq,卷积操作的结果为:

3.png

其中,S(i,j)是输出特征图中某一点的值,卷积核 K 对应输入图像 I 的局部区域进行加权和操作。

2.2 池化操作

池化操作通常用于下采样,减少数据的空间维度。常见的池化方法有:
  • 最大池化(Max Pooling):选择池化窗口中的最大值。
  • 平均池化(Average Pooling):选择池化窗口中的平均值。

池化操作帮助减少模型的计算量,并具有平移不变性,即对于图像的平移变换,网络能保持较强的鲁棒性。

2.3 激活函数

卷积层和池化层的输出通常需要通过激活函数进行非线性变换,最常用的激活函数是ReLU(Rectified Linear Unit):

f(x)=max(0,x)

ReLU能够加速模型训练,减少梯度消失问题,广泛应用于卷积神经网络中。


3. 卷积神经网络的结构

CNN的基本结构通常由多个卷积层、池化层和全连接层组成。常见的CNN架构包括:

3.1 LeNet-5

LeNet-5是早期的卷积神经网络架构,由Yann LeCun于1998年提出,主要用于手写数字识别(MNIST数据集)。其结构如下:
  1. 输入层:32x32的灰度图像;
  2. 卷积层1:使用6个5x5的卷积核,输出6个28x28的特征图;
  3. 池化层1:进行2x2的最大池化,输出6个14x14的特征图;
  4. 卷积层2:使用16个5x5的卷积核,输出16个10x10的特征图;
  5. 池化层2:进行2x2的最大池化,输出16个5x5的特征图;
  6. 全连接层1:包含120个神经元;
  7. 全连接层2:包含84个神经元;
  8. 输出层:10个神经元,用于输出0-9的数字分类。

LeNet-5是一个较为简单的CNN架构,主要用于图像分类任务。

3.2 AlexNet

AlexNet是由Alex Krizhevsky等人于2012年提出的CNN架构,凭借其在ImageNet比赛中的突破性表现,广泛影响了深度学习的发展。AlexNet的结构如下:
  1. 输入层:224x224的RGB图像;
  2. 卷积层1:使用96个11x11的卷积核,步长为4,输出96个55x55的特征图;
  3. 池化层1:进行3x3的最大池化,步长为2,输出96个27x27的特征图;
  4. 卷积层2:使用256个5x5的卷积核,输出256个13x13的特征图;
  5. 池化层2:进行3x3的最大池化,步长为2,输出256个6x6的特征图;
  6. 卷积层3:使用384个3x3的卷积核,输出384个6x6的特征图;
  7. 全连接层1:包含4096个神经元;
  8. 全连接层2:包含4096个神经元;
  9. 输出层:1000个神经元,用于输出1000个类别的概率分布。

AlexNet的主要创新包括使用ReLU激活函数、数据增强技术、GPU加速等。


4. CNN在图像处理中的应用

4.1 图像分类

图像分类是CNN的经典应用,它通过将图像分配到预定义的类别中来识别图像内容。CNN的卷积层能够提取图像的空间特征,池化层帮助减少计算量和避免过拟合,最终通过全连接层输出分类结果。

4.2 目标检测与定位

目标检测不仅要求识别图像中的对象类别,还要求确定目标的位置(如边界框)。经典的目标检测算法包括YOLO(You Only Look Once)、SSD(Single Shot MultiBox Detector)等,这些算法使用CNN来提取特征,并通过回归模型预测目标的位置。

4.3 图像分割

图像分割将图像中的每个像素分类为不同的类别,广泛应用于医学图像处理、自动驾驶等领域。常见的图像分割网络包括U-Net、Mask R-CNN等。U-Net是一种用于医学图像分割的经典网络,通过编码-解码结构提取和重建图像中的特征。

5. 使用Keras实现卷积神经网络

我们来实现一个简单的CNN,用于MNIST手写数字分类任务:
python


复制编辑
from keras.models import Sequential
from keras.layers import Conv2D, MaxPooling2D, Flatten, Dense
from keras.datasets import mnist
from keras.utils import to_categorical

# 加载数据
(X_train, y_train), (X_test, y_test) = mnist.load_data()

# 数据预处理
X_train = X_train.reshape(-1, 28, 28, 1).astype('float32') / 255.0
X_test = X_test.reshape(-1, 28, 28, 1).astype('float32') / 255.0
y_train = to_categorical(y_train, 10)
y_test = to_categorical(y_test, 10)

# 构建CNN模型
model = Sequential()
model.add(Conv2D(32, (3, 3), activation='relu', input_shape=(28, 28, 1)))
model.add(MaxPooling2D(pool_size=(2, 2)))
model.add(Flatten())
model.add(Dense(128, activation='relu'))
model.add(Dense(10, activation='softmax'))

# 编译模型
model.compile(optimizer='adam', loss='categorical_crossentropy', metrics=['accuracy'])

# 训练模型
model.fit(X_train, y_train, epochs=5, batch_size=32)

# 评估模型
loss, accuracy = model.evaluate(X_test, y_test)
print(f"Test accuracy: {accuracy:.2f}")

6. 总结

卷积神经网络(CNN)是深度学习中处理图像数据的核心工具,通过卷积层、池化层和全连接层的组合,CNN能够有效地从图像中提取特征,进行分类、检测和分割等任务。理解CNN的基本操作和架构,对于掌握计算机视觉领域的深度学习技术至关重要。