首页
沸点
课程
数据标注
HOT
AI Coding
更多
直播
活动
APP
插件
直播
活动
APP
插件
搜索历史
清空
创作者中心
写文章
发沸点
写笔记
写代码
草稿箱
创作灵感
查看更多
登录
注册
机器学习中的数学-矩估计
littleCat
2025-08-17
37
阅读1分钟
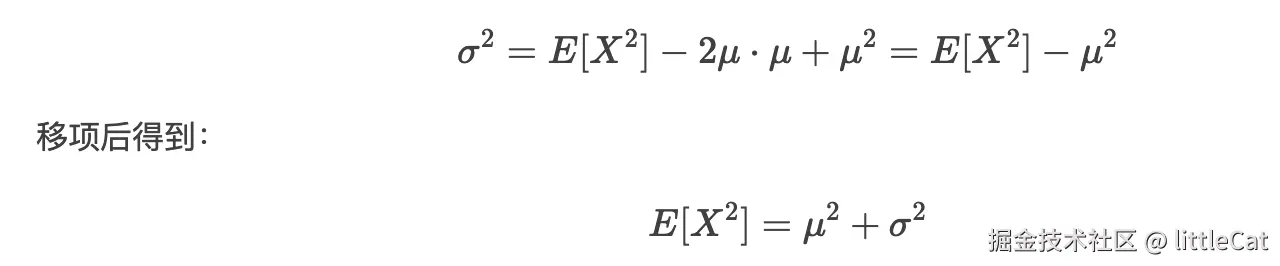
样本的矩
矩估计
结论:
样本的均值作为总均值
样本的伪方差作为总方差
littleCat
177
文章
22k
阅读
1
粉丝
目录
收起
矩估计