145. 二叉树的后序遍历

60 阅读1分钟

145. 二叉树的后序遍历

简单

相关标签

premium lock icon相关企业

给你一棵二叉树的根节点 root ,返回其节点值的 后序遍历

 

示例 1:

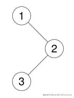
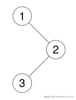
输入: root = [1,null,2,3]

输出: [3,2,1]

解释:

示例 2:

输入: root = [1,2,3,4,5,null,8,null,null,6,7,9]

输出: [4,6,7,5,2,9,8,3,1]

解释:

示例 3:

输入: root = []

输出: []

示例 4:

输入: root = [1]

输出: [1]

 

提示:

  • 树中节点的数目在范围 [0, 100] 内
  • -100 <= Node.val <= 100

 

进阶: 递归算法很简单,你可以通过迭代算法完成吗?

题解:

void postorder(struct TreeNode* root, int* returnSize, int* ans)
{
    if (root == NULL)
    {
        return;
    }


    if (root->left != NULL)
    {
        postorder(root->left, returnSize, ans);
    }
    if (root->right != NULL)
    {
        postorder(root->right, returnSize, ans);
    }
    ans[*returnSize] = root->val;
    (*returnSize) ++;
}



int* postorderTraversal(struct TreeNode* root, int* returnSize) {
    *returnSize = 0;
    int* ans = (int*)malloc(sizeof(int) * 100);
    postorder(root, returnSize, ans);
    return ans;
}

第一次bug: Line 207: Char 3: runtime error: load of null pointer of type 'int' [Serializer.c] 报错原因是访问空指针(null pointer) 修改方法为:无论如何都是返回NULL,在递归遍历里面写if(root == NULL) return; 后续遍历的逻辑有问题:*returnSize = 0这句赋初值不应该放在递归函数里面,会被递归调用的。 修改后通过。