数学笔记

121 阅读1分钟

目录1:笛卡尔坐标系

右上第一象限,左上第二象限,逆时针旋转

常见函数图
image.png 3306f4391e17f1a065e3b92b953e3400.png
三角函数
lQDPKIVJutiVCY3NAljNBEewUe3X8T04J4YIYxy6OKi2AA_1095_600.jpg image.png cfde64c4728ec9a83dc025bfb16ec228.png 2ac5db74f3efeabab15c8d63545a94ad.png image.png image.png

目录2:导数

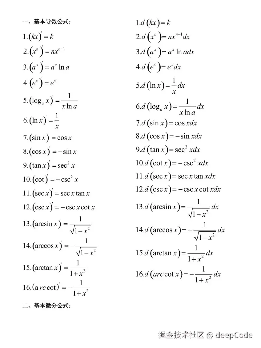
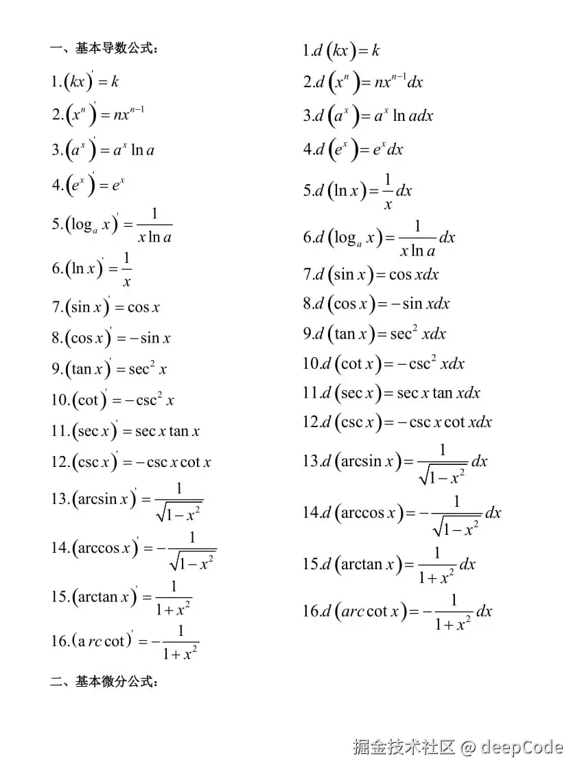
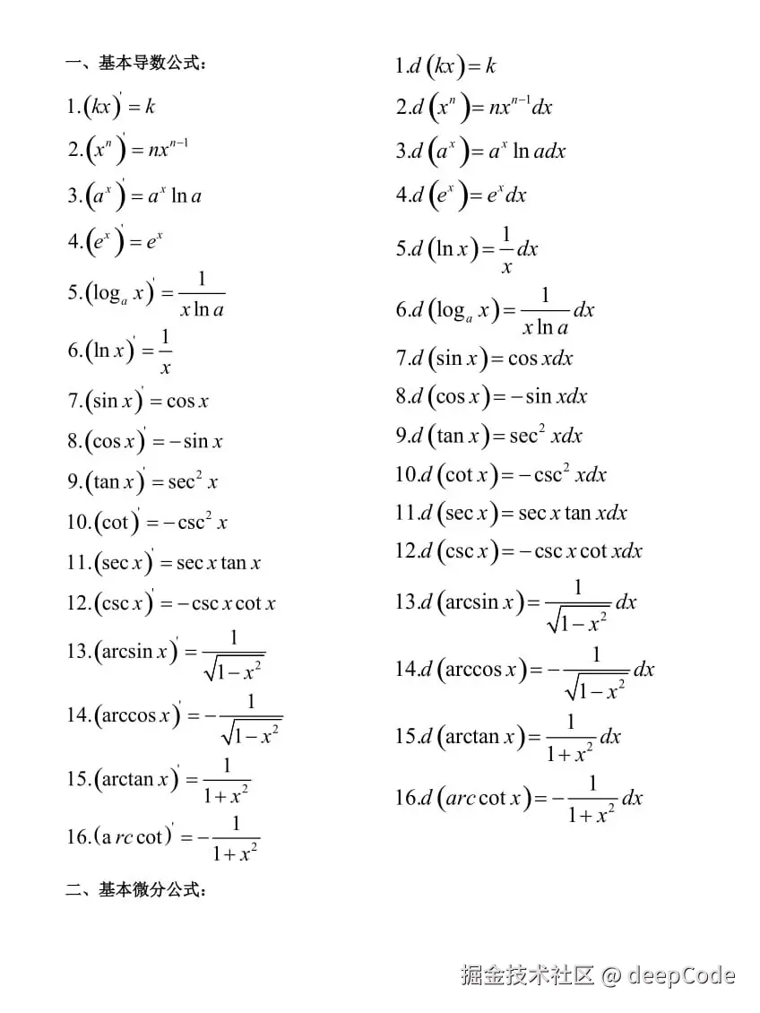
基本导数公式
lQDPKceNFb7WhQ3NBGrNA1CwxSOxYANV3FQIYxyyGfovAA_848_1130.jpg

k'= 0

image.png