DeepSeek模型解析

348 阅读6分钟

DeepSeek-V2

Multi-head Latent Attention (MLA)

  • 传统的多头注意力机制(MHA,Multi-Head Attention):

在标准的Transformer中,多头注意力机制(MHA)通过并行计算多个注意力头来捕捉输入序列中的不同特征。每个注意力头都有自己的查询(Query, Q)、键(Key, K)和值(Value, V)矩阵,他们各自的主要作用如下:

  • 查询矩阵 Q:查询矩阵是你想要寻找某个信息的"问题"。在Transformer中,查询矩阵是输入的一个投影,表示当前token对其他token的"需求"。它帮助你确定自己在序列中的位置需要关注什么内容

  • 键矩阵 K:键矩阵是每个token提供的"信息"或"标识符"。每个token都有一个与之关联的键,用于与查询进行对比,以确定它与查询的相关性。你可以把键想象成词语的"标签"。

  • 值矩阵 V:值是实际的信息,提供了词向量的内容。根据Q与K的匹配程度,V最终用来生成输出向量。

假定:d是隐向量维度,nhn_h是注意力头的数量,dhd_h是每个注意力头的维度,hth_t是attention层地t个token的输入隐向量。

  1. 标准的MHA首先使用三个权重矩阵(训练参数)Wq,Wk,WvRdhnhdW_q,W_k,W_v \in{\mathbb{R}^{d_h*n_h*d}}计算得到qt,kt,vtq_t,k_t,v_t向量。然后qt,kt,vtq_t,k_t,v_t向量拆分成nhn_h份(每个注意力头分一份):

[q𝑡,1;q𝑡,2;...;q𝑡,𝑛h]=q𝑡[q_{𝑡,1};q_{𝑡,2}; ...; q_{𝑡,𝑛_ℎ}]= q_𝑡

[k𝑡,1;k𝑡,2;...;k𝑡,𝑛h]=k𝑡[k_{𝑡,1};k_{𝑡,2}; ...; k_{𝑡,𝑛_ℎ}]= k_𝑡

[v𝑡,1;v𝑡,2;...;v𝑡,𝑛h]=v𝑡[v_{𝑡,1};v_{𝑡,2}; ...; v_{𝑡,𝑛_ℎ}]= v_𝑡

  1. 使用qt,ktq_t,k_t计算注意力得分,并使用注意力权重对vtv_t进行加权求和,得到每个注意力头的结果:

o𝑡,𝑖=j=1tSoftmax𝑗(q𝑡,𝑖𝑇k𝑗,𝑖dh)vj,io_{𝑡,𝑖} =\sum^{t}_{j=1}{︁Softmax_𝑗 (\frac{q^𝑇 _{𝑡,𝑖} k_{𝑗,𝑖}}{\sqrt{d_h}})} v_{j,i}

  1. 最后把所有注意力头结果向量拼接起来,通过一层限行映射回原始维度:

u𝑡=𝑊𝑂[o𝑡,1;o𝑡,2;...;o𝑡,𝑛h]u_𝑡 = 𝑊^𝑂[o_{𝑡,1}; o_{𝑡,2}; ...; o_{𝑡,𝑛_ℎ}]

  • MLA:

MLA的核心是对value和key进行低秩联合压缩来减少推理时的键值缓存(KV cache),MLA设计中所有的K和V都需要缓存,MLA只需要缓存一个压缩的向量,并且此向量纬度远远小于dhnhd_hn_h,只需要在推理计算时再向上投影生成所有的K和V。具体计算如下:

  1. 对value和key进行低秩联合压缩:

    1.     具体的:
      • 生成压缩潜在隐向量(latent vector),其中𝑊𝐷𝐾𝑉R𝑑𝑐×𝑑𝑊^{𝐷𝐾𝑉} ∈ \mathbb{R}^{𝑑_𝑐×𝑑} 下投影矩阵 c𝑡𝐾𝑉=𝑊𝐷𝐾𝑉h𝑡c^{𝐾𝑉}_𝑡 = 𝑊^{𝐷𝐾𝑉}h_𝑡
      • 通过上投影矩阵𝑊UK,𝑊UVRdhnh𝑑𝑐𝑊^{UK}, 𝑊^{UV} ∈ \mathbb{R}^{d_hn_h*𝑑_𝑐} 将潜在隐向量分别重建键K矩阵和值V矩阵,注意可以认为是映射成隐向量维度 h ,而不是每个注意力头的维度kt𝐶=𝑊UKc𝑡𝐾𝑉k^𝐶_t = 𝑊^{UK}c^{𝐾𝑉}_𝑡vt𝐶=𝑊UVc𝑡𝐾𝑉v^𝐶_t = 𝑊^{UV}c^{𝐾𝑉}_𝑡
      • 应用旋转位置编码(RoPE),引入位置信息。因为传统的MHA中,每个token都对应着自己的K向量,天然包含了位置信息,现在通过一个共用的潜在隐向量映射得到的K是不包含位置信息的。ktR=RoPE(WKRht)k^R_t = RoPE(W^{KR}h_t)。其中, 𝑊KRR𝑑hRd𝑊^{KR} ∈ \mathbb{R}^{𝑑^R_h*d} 是用于生成解耦键的矩阵, dhRd^R_h是解耦键的维度。
      • 将位置矩阵 ktRk^R_t和上投影得到的矩阵 ktCk^C_t拼接得到最终的地t个位置token的K矩阵:kt=[ktV;ktR]k_t = [k^V_t;k^R_t]vt=vtCv_t=v^C_t
    2.     因此在推理过程中,为了加速推理,需要将K、V缓存。当采用MLA:只有ktKVk^{KV}_tktRk^R_t需要缓存,只需要缓存(dc+dhR)l(d_c + d^R_h) * l 个参数。如果是MLA,所有keys和values向量都需要缓存,则需要缓存 2nhdhl2n_h d_h l 个参数。
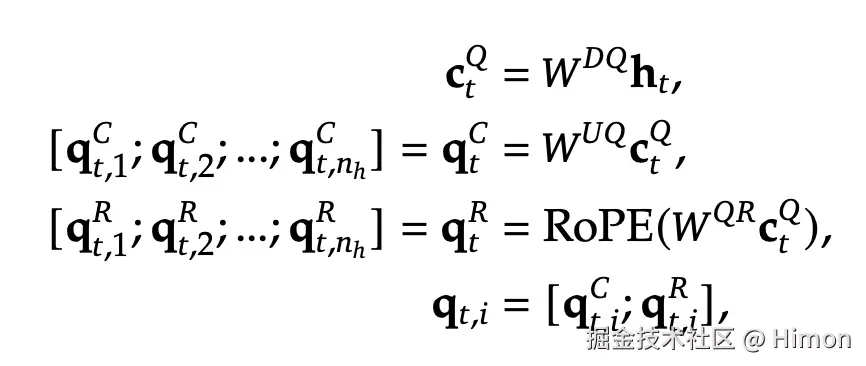
  2. 同样的,为了降低训练过程中的内存激活量,对Q也进行类似的处理:

  1. 最后使用query (qt,iq_{t,i}),keys (kj,ik_{j,i})和values (vj,iCv^C_{j,i})计算attention结果,这里qt,iq_{t,i}kj,ik_{j,i}都拼接了RoPE位置向量,所以纬度是一样的,其中𝑊OR𝑑dhnh𝑊^O ∈ \mathbb{R}^{𝑑*d_hn_h} 表示输出映射层矩阵 最终得到纬度为d的输出隐向量:

代码实现:

在Deepseek-V3中,K和V的维度都是7168,

  • 这个设计在推理的时候无法直接应用RoPE,MLA巧妙将两个部分分开计算。

参考:

  1. zhuanlan.zhihu.com/p/151537455…
  2. zhuanlan.zhihu.com/p/218171829…

DeepSeekMoE-V2

MOE:

MoE的优势是能够在远少于稠密模型所需的计算资源下进行有效预训练。

概要:

MoE是整个网络的一部分,在训练阶段,所有"专家"都参与的,end2end训练,所谓“专家”网络只是在训练过程中处理序列中特定的token,而不是对特定的任务来训练某个“专家”网络。它还有个“负载均衡”的概念,就是让每个专家尽量参与,这样整个模型更高效。用MOE就可以把网络做的很宽,参数量更多。

在推理阶段,每个token只需要选择topk个“专家”,参数量就明显降低了。比如一个“专家”网络参数量是N,采用8个专家,模型总32层,专家层这部分参数量,训练阶段就是 328N,在推理阶段只需要 322N,就少了很多。

至于“专家”层怎么进行并行计算,它是每一层for循环每个“专家”,选出来各自负责处理的token对应的输入隐向量,按照顺序重排构造矩阵(需要padding),再对应与hidden层的weight相乘,最后再将每个token的结果向量reduce相加。

DeepSeek-V3

DeepSeekMoE-V3:

Multi-Token Prediction (MTP) training objective:

核心思路:多token预测,让模型在训练的时候,一次性预测多个未来token,一次性学习多个位置的label。

  • 训练执行步骤:

    • 主模型和草稿模型共享Embedding层和Output Head层(输出预测logit)。

    • k时刻草稿模型输入特征向量:将k-i时刻主模型Head层前面的特征向量+RMSNorm,将k时刻token经过共享的Embedding层得到词向量+RMSNorm,将两部分concat起来,过一层Linear降维。

    • 草稿模型预测:输入Transformer得到输出特征向量,过共享的Output Head层得到token的预测概率。

    • 训练草稿模型:采用交叉熵,采用典型的Teacher forcing模式训练草稿模型。

  • 预测执行步骤:

    • 草稿模型预测:草稿模型利用k个Head生成k个token。
    • 原始模型校验:将原始序列+预测序列拼接给原始模型校验
    • 接受:选择原始模型预测token与草稿模型预测token一致的序列作为接受的序列。(自回归计算中,主要时间在加载模型,每次生成一个token和n个token时间几乎一样)。

参考:

  1. Multi-Head Latent Attention (MLA) 详细介绍
  2. MTP:让LLM一次性预测多个token

DeepSeek-R1

GPPO:


参考:

  1. 全网首篇从tensorRT-LLM MoE CUDA kernel角度理解Mixtral-8x7b的推理加速及展望
  2. 混合专家模型 (MoE) 详解
  3. Mixtral Moe代码解读_moe 代码-CSDN博客
  4. 一文带你看清Mixtral内部结构及参数计算 翟泽鹏
  5. 图解大模型训练系列之:DeepSpeed-Megatron MoE并行训练(原理篇)
  6. 用通俗易懂的方式讲解大模型分布式训练并行技术:MOE并行_如何训练moe大模型-CSDN博客
  7. moe使用负载均衡的意义仅仅是为了方便训练吗?
  8. 混合专家模型 (MoE) 详解

scaling law