位置编码RoPE介绍及其优化

546 阅读6分钟

绝对位置编码

传统的BERT中的实现方法,假设模型最大输出长度是512,向量纬度是768,需要先初始化一个512*768的位置编码矩阵。在每个位置,将位置编码直接加到token向量上。

  • 问题:
  1. 不具备长度外推性

正弦曲线(Sinusoidal)位置编码PE

是谷歌在Transformer中提出的绝对位置编码, 计算公式如下:

PE(k,2i)=sin(k100002id)PE(k,2i+1)=cos(k100002id)PE(k,2i) = sin(\frac{k}{10000^{\frac{2i}{d}}}) \\ PE(k,2i+1) = cos(\frac{k}{10000^{\frac{2i}{d}}})

其中,d表示向量纬度,k表示第k个位置,2i和2i+1表示位置向量的分量索引,如PE(k,2i)PE(k,2i) 表示位置k向量第2i个分量。

正弦曲线位置编码每个分量都是正弦或者余弦函数,具有周期性。如下图,每个分量都有周期性,而且越靠后的分量,波长越大,频率越低

正弦曲线位置编码还具有远程衰减的性质:对两个相同的词向量,如果他们之间的距离越近,相对位置就越小,则他们的内积分数就越高,反之越小。

  • 代码实现:

    •   class SinPositionEncoding(nn.Module):
            def __init__(self, max_sequence_length, d_model, base=10000):
                super().__init__()
                self.max_sequence_length = max_sequence_length
                self.d_model = d_model
                self.base = base
      
            def forward(self):
                pe = torch.zeros(self.max_sequence_length, self.d_model, dtype=torch.float)  # size(max_sequence_length, d_model)
                exp_1 = torch.arange(self.d_model // 2, dtype=torch.float)  # 初始化一半维度,sin位置编码的维度被分为了两部分
                exp_value = exp_1 / (self.d_model / 2)
      
                alpha = 1 / (self.base ** exp_value)  # size(dmodel/2)
                out = torch.arange(self.max_sequence_length, dtype=torch.float)[:, None] @ alpha[None, :]  # size(max_sequence_length, d_model/2)
                print(out)
                embedding_sin = torch.sin(out)
                embedding_cos = torch.cos(out)
                print(embedding_sin)
      
                pe[:, 0::2] = embedding_sin  # 奇数位置设置为sin
                pe[:, 1::2] = embedding_cos  # 偶数位置设置为cos
                return pe
      

旋转位置编码RoPE

  • 实现原理

    •   前面的PE是绝对位置编码,模型只能感知每个词所处的绝对位置,而无法感知两个词语之间的相对位置。
    •   RoPE的出发点:通过绝对位置编码的方式实现相对位置编码
    •   我们需要定义一个位置编码函数,可以对词向量q添加绝对位置信息m,得到 qm=f(q,m)q_m = f(q,m)
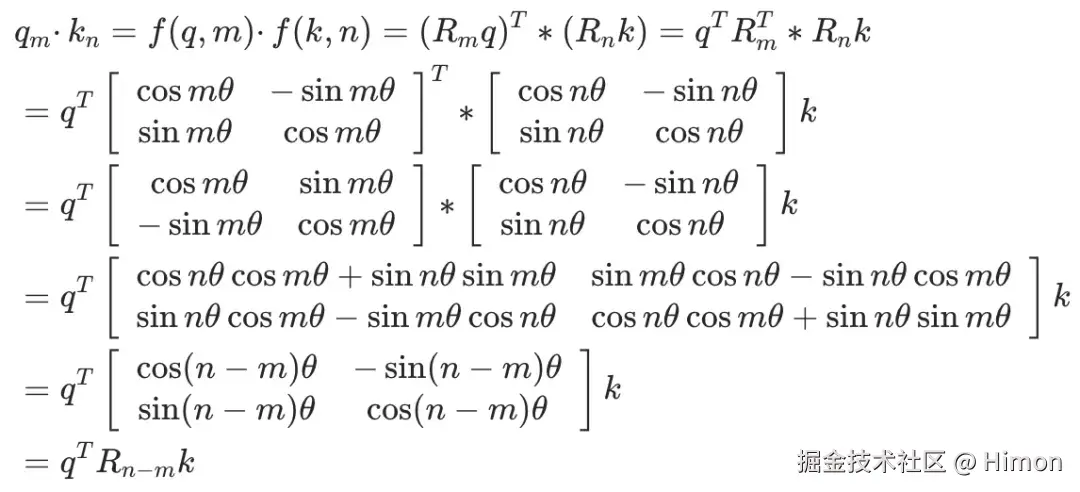
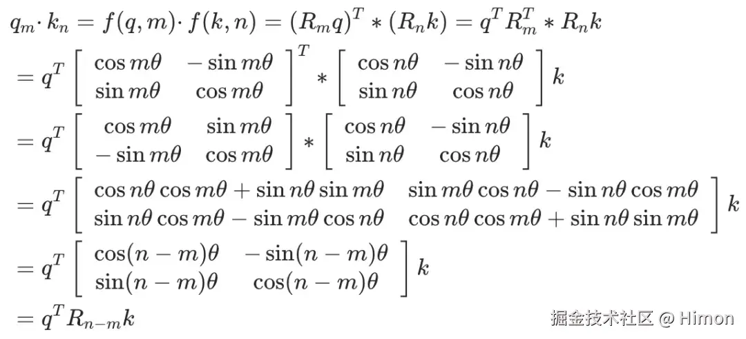
    •   RoPE希望 qmq_m knk_n之间的点积能够带有相对位置信息(m-n)。
    •   建模目标:找到一个函数 f(q,m)f(q,m),使得如下关系成立: f(q,m)f(k,n)=g(q,k,mn)f(q,m)·f(k,n)=g(q,k,m-n)
  • 二维情况

实现方法:采用旋转矩阵,当一个二维向量左乘一个旋转矩阵时,该向量即可实现弧度为θ\theta的逆时针旋转。

通过推理也可以得到(m-n)的信号量。

一个例子:

  • 多维情况:

分而治之的思路:我们把高维向量,两两一组,分别旋转

  • 实现远程衰减性:

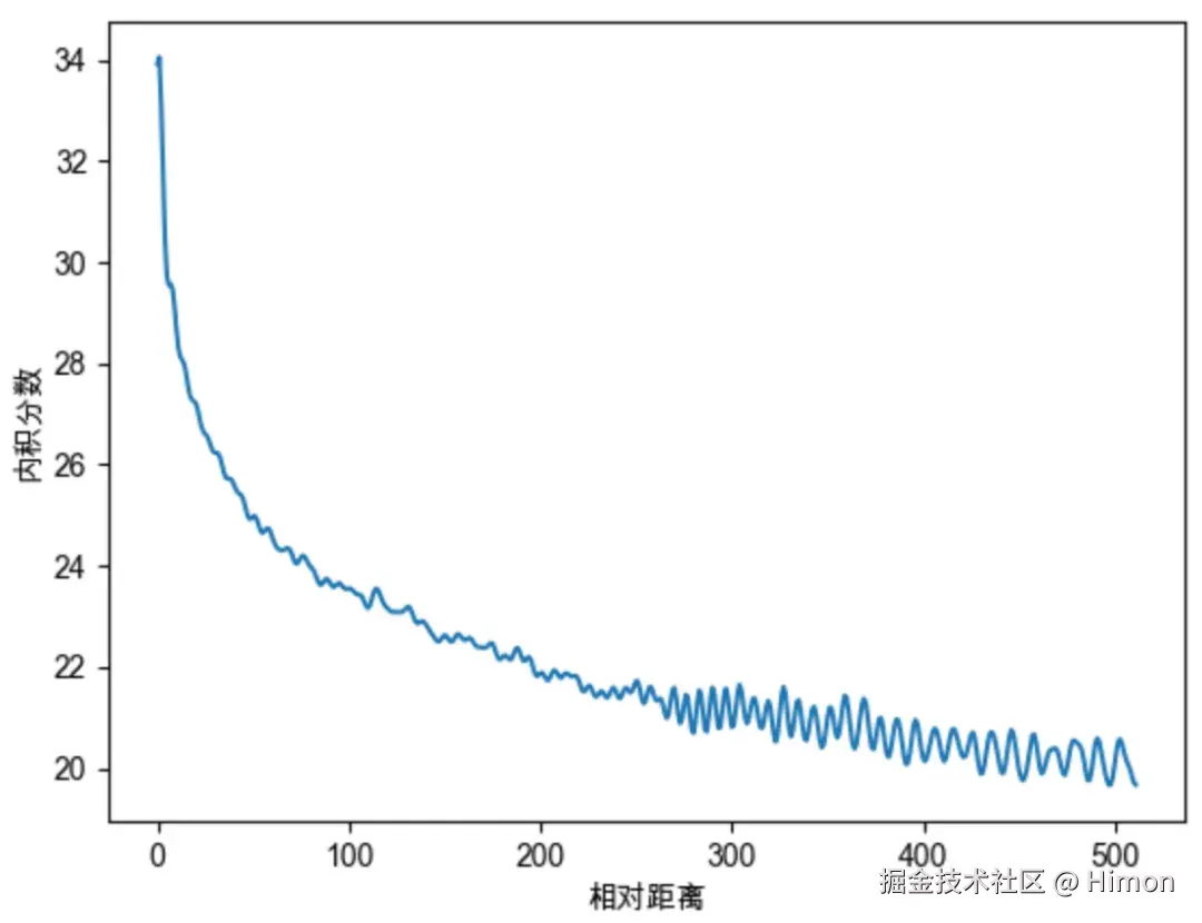
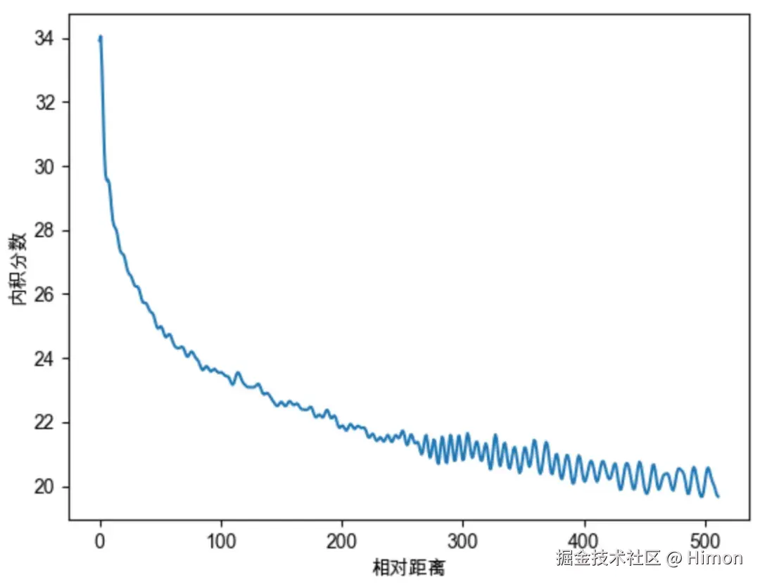
当我们把θ\theta设为1,随机初始化两个向量q和k,将q固定在0位置,k的位置从0开始逐渐增大,依次计算q和k之间的点积。下图中反映了点积的震荡图,最大的问题是:缺乏了远程衰减性!

因此借鉴Sinusoidal位置编码,将每个分组的θ\theta设置为不同的常亮,从而引入远程衰减的性质:

在原始的RoPE中,沿用了Sinusoidal的设置,θ\theta赋值为100002i/d10000^{-2i/d},10000为base,实际上base的值对注意力远程衰减程度有影响:

因此对base数值的研究,与大模型的外推能力有关系,如NTK感知插值、动态NTK感知插值等长度外推方法,本质上都是通过改变base值,影响每个位置对应的旋转角度,进而影响模型的位置编码信息。

  • 周期性:

每组向量的旋转具有周期性,旋转一周的弧度是2π2\pi,也就是转一圈又会回到原点,所有RoPE中的向量旋转就像时钟一样,具有周期性,如下图1。但是我们发现,越靠后的分组,向量的旋转速度越慢,如下图当位置位于500时,第0组分量已经旋转500弧度了,第8组分量才旋转158弧度。

下面图2展示了上述旋转弧度对应的正弦函数,我们可以直观看到:越靠后的分组,它的旋转速度越慢,正弦函数的周期越大,频率越低。

参考:

  1. 图解RoPE旋转位置编码及其特性

RoPE的优化-位置插值法

做法很直接:缩小每个位置的旋转弧度,让向量旋转的慢一点,每个位置的旋转弧度变为原来的LL\frac{L}{L'} ,长度扩大几倍,旋转弧度就缩小几倍。

  • 问题点:

如图一,如果训练阶段sentence长度是[0,2048],那么模型只见过[0,2048]的旋转弧度,没见过[2048,4096]的旋转弧度,模型难以理解新的旋转弧度,无法正确引入位置信息,导致模型性能下降。

  • 优化效果

    •   图二,展示了第0组分量旋转弧度的变化,位置插值法将0位置的旋转弧度变成原来的一半, 就可以看到[2048,4096]的旋转弧度了。
  • 频率变化:

图3,经过位置插值之后,向量旋转变慢了,周期变大,频率变慢

RoPE优化-NTK感知插值

前面介绍过:位置越靠后的分量旋转速度越慢,频率越低,周期越长,如下图所示:对于第0组分量,在位置7的时候就已经旋转一周了,而对于第64组分量,在位置2047时,其旋转弧度约为0.2,仍然没有旋转1/4周。我们希望这些高频信息。

NTK感知插值做法:对base加一个缩放因子,进行放大保留高频信息,高频分量旋转速度降幅低,低频分量旋转速度降幅高;在高频部分进行外推,低频部分进行内插。

因此,我们将NTK感知插值有效的原因:

  1. 靠前的分组,在训练环节见过非常多的完整的旋转周期,位置信息得到充分训练,具有较强的外推能力。

  2. 靠后的分组,在训练环节无法见到完整的旋转周期,或者见到的非常少,训练不充分,外推性能弱。需要进行位置插值。

RoPE优化-NTK-by-parts Interpolation

做法:不改变高频部分,仅仅缩小低频部分的旋转弧度。

RoPE优化-动态NTK感知插值

做法:推理长度小于等于训练长度时,不进行插值,推理长度大于训练长度时,采用NTK动态插值法动态放大base。

RoPE优化-YaRN

问题:通过NTK办法,本质上都是减小旋转弧度,降低旋转速度,来达到长度外推的能力。这将导致两个位置之间的旋转弧度差距变小,词向量之间的距离比原来更大,点乘更大,这破坏了模型原始注意力分布。

参考:

  1. 详解基于调整RoPE旋转角度的大模型长度外推方法