Chapter 3 Design of Switching Power Regulators

166 阅读9分钟

Chapter 3 Design of Switching Power Regulators

Power Management Techniques for Integrated Circuit Design by Ke-Horng Chen

这本书比较深, 简单介绍基本概念后, 就直接抛出大段公式和结论, 一章讲其他书几章内容, 适合有一定基础, 想进一步做电源系统的人查阅. 优点是不废话, 直面最难问题, 对于实际电路系统设计帮助参考较大.

3.1 Basic Concept

DC-DC开关 converter如下图所示. 由开关S1, S2控制, S1和S2不能同时开启.

占空比D定义为

通过pulse width modulation (PWM), 输出电压为 Vout=D×Vin

Buck, Boost, Buck/Boost拓扑和电压转换M(D)比如下图所示

3.2 Overview of the Control Method and Operation Principle

我们可通过检测Vout, 调节占空比D来稳定输出电压Vout, 闭环控制如下图所示.

DC-DC控制方法如下图所示, 分为固定频率控制和基于纹波控制. 固定频率也称为PWM控制, 包括电压模和电流模. 由CLK上升沿开始每次打拍. 基于纹波控制无需固定时钟, 包括constant on/off time, hysteresis, V-square (V2)控制.

电压模环路如下图所示, Error Amplifier放大Vref-Vfb压差, 产生Vc. 和Vramp三角波进行比较产生占空比D的PWM波形.

CLK信号定义了固定的开关频率, 每次打拍由CLK上升沿决定,如下图所示. Vc决定了占空比. 当Vc>Vramp时, d为1, 当Vc<Vramp时, d为0. 通过负反馈环路, Vfb=Vref. Vfb=Vout Rf1/(Rf1+Rf2).

buck converter的稳态波形如下图所示

发生负载瞬态跳变 load transient 时, vout, iL的波形如下图所示. 在(2)阶段, buck不能提供变大的iLoad, 因此Vout跌落undershoot. 直到(3)阶段回到steady state.

对于电压模控制, 当vin增加时, 占空比一开始不变, 由于vout增加, 通过负反馈降低vc, 再降低占空比, 从而vout恢复到原先固定值. 前馈技术feedforward technique直接通过vin来控制Vout, 能提高line transient响应.

注意, 电感电流不仅包括负载电流信息, 还包括Vin信息. 电流模控制采样电感电流, 提供Vin信息, 来控制Vout, 即提供feedforward通路来提高line transient. 如下图Fig 3.10所示. 但仍需要Vout负反馈来进行vout电压控制, 因为电流模不能直接获得Vout信息. 峰值电流模环路如图Fig 3.10所示, 采样电感电流VS叠加到Vramp上, 和Vc进行比较, 产生占空比D.

峰值电流模工作模式如Fig 3.11所示, Vc=(Vref-Vfb)*Av. 代表了输出电压信息. 在CLK上升沿来临, 开启上管, 占空比d=1. Vs随着电感电流iL增加, 当Vs+Vramp的电压超过Vc时, d=0, 关闭上管, 开启下管. 即Vs+Vramp<Vc时, d=1.

对于电流模, 当d>0.5会出现次谐波震荡, 因此需要添加斜坡补偿vramp. 其斜率ma需要满足.

相比电压模, 电流模既有电压控制, 也有电流控制, 同时具有feedforward前馈Vin电压通路, 因此line transient性能好. 而且补偿简单, 单极点系统只需要Type II补偿, 无需电压模Type III补偿.

3.3 Small Signal Modeling and Compensation Techniques in SWR

3.3.1 Small Signal Modeling of Voltage-Mode SWR

电压模功率级小信号如下图所示

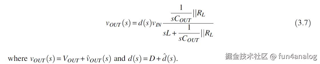
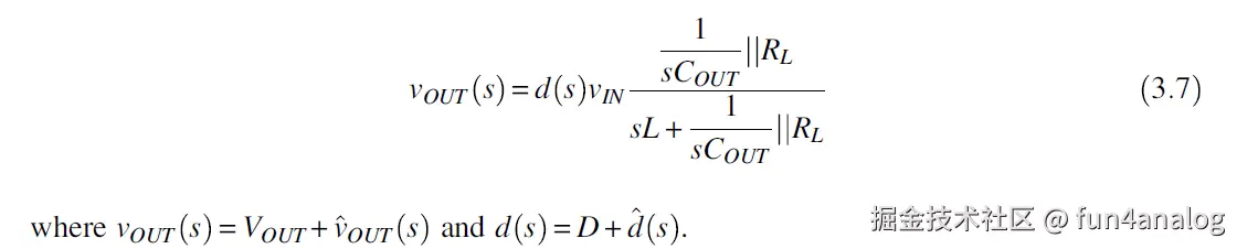
对于电压模, 输出Vout=占空比d × Vin (即LX平均电压)× Cout和R,L的分压.

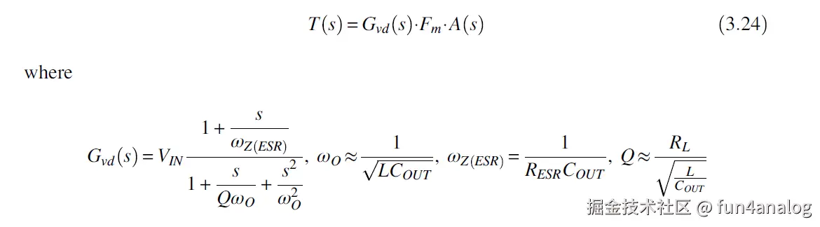
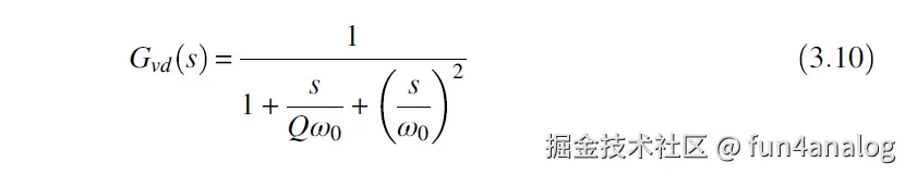
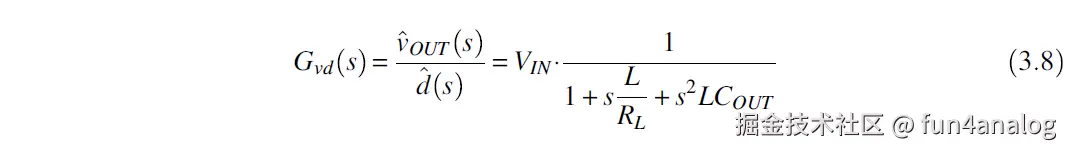
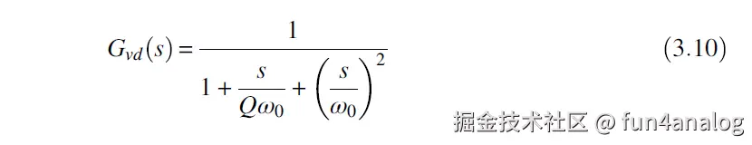
分离DC直流信号和ac小信号. 可得duty-to-output transfer function Gvd(s)

归一化为

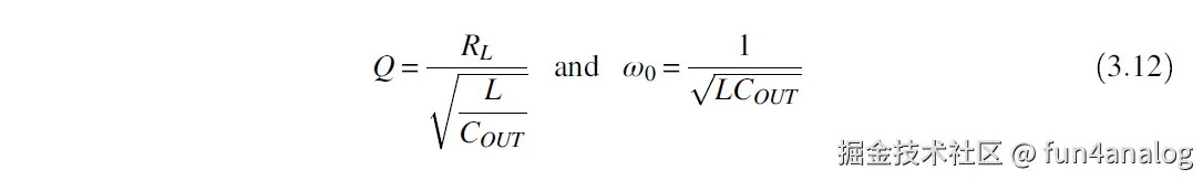
其中Q为品质因数, 代表系统损耗. 共轭极点ω0由LC决定.

共轭极点会导致phase下降180deg, magnitude也下降. low Q下, 两个极点是分离的. high Q会引入复数共轭极点, 造成magnitude往上翘出现峰值. 峰值Q由负载决定. Q越大, magnitude会往上翘. phase下降越快.

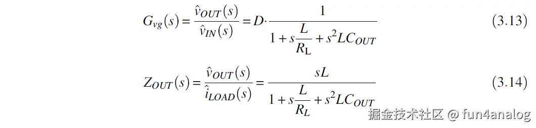
开环下输出Vout由d, vin和iload决定, 其贡献如下图所示

因此输出Vout可表达为

line-to-output 传输函数 Gvg和 输出阻抗传输函数 Zout为

考虑寄生参数, 尤其是输出电容Cout的Resr

可得duty-to-output transfer function Gvd(s) 增加了一个左零点, 位置为1/(Cout ×Resr)

3.3.2 Small Signal Modeling of the Closed-Loop Voltage-Mode SWR

电压模 buck环路如下图所示.

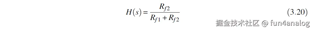
feedback network传函为分压电阻:

EA运放补偿的传函为A(s)

PWM比较器的传函为 1/Vm, Vm为三角波峰峰值

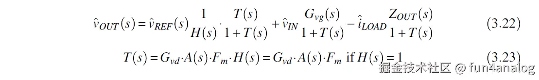
因此闭环输出Vout的表达式为:

T为Loop Gain环路增益. Loop Gain可用于判断环路稳定性. 一般要求Loop Gain有高的低频增益 (提高load和line regulation), 45°的phase margin, 和至少10dB的gain margin. 为了提高瞬态响应, 带宽即crossover frequency需要做大, 一般crossover frequency定在开关频率的1/5 or 1/10, 确保开关噪声能被抑制.

3.3.2.1 Frequency Compensation Design in Voltage-Mode SWR

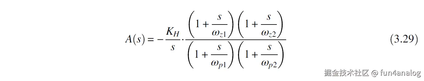
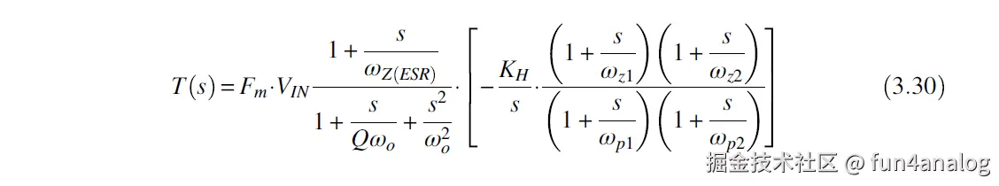
电压模的Loop Gain为. 其中Gvd有两个共轭极点, 一个Resr零点. Fm为常数, 要想环路稳定全靠EA补偿.

其power stage的bode plot为

A(s)用proportional compensation (P-compensation) 即A为常数会导环路不稳定, 除非Resr很高, 导致ESR零点较低, 但这会造成发生iLoad transient时, Vout的IR纹波很大.

为了提高低频增益, A(s)用积分器1/s结构, 为了环路稳定性, 只能把带宽拼命压低, 让带宽在wo以内, 牺牲带宽, 保证相位裕度. 如下图所示

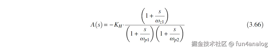
为了获得高DC增益, 同时提高带宽, 需要用Type III型补偿, 添加一个积分极点, 2个零点提升phase, 和2个高频极点抑制高频噪声增益. 如下图所示

积分极点提供高DC增益, 2个零点进行phase 补偿, 可设计1个零点wz1在 ωO之前进行phase lead补偿, 另外1个零点wz2在 ωO之后减少phase drop. 为了提高带宽和phase margin, 一般把crossover frequency放在wz2和wp1之间. 为了进一步提高带宽, 可把wp1放在wz(esr)处, 通过ESR零点扩展带宽, 提高瞬态响应速度. Loop Gain T和bode plot如下图所示. DC gain 85dB, PM=50°, load transient较好.

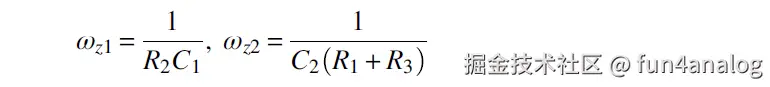
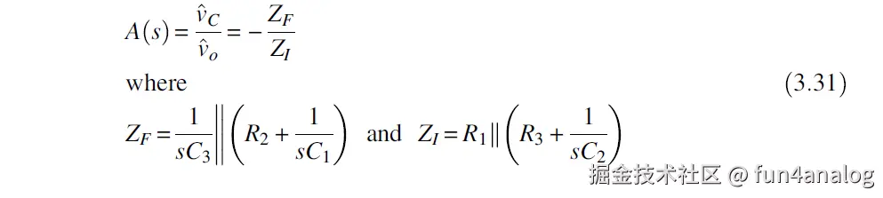
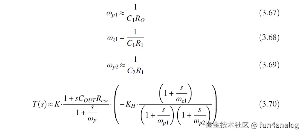
为了实现Type III补偿, 可用下面EA补偿结构

EA补偿Av= -ZF/ZI

两个零点

两个极点

为了产生w0, w1两个低频零点 R1, R2, C1和C2不可避免很大. wp1和wp2用来抑制开关噪声, 但又不能影响稳定性, 因此R3<<R1, C3<<C1.

也可以用高ESR产生零点在crossover frequency之前, 提供phase lead, 然后用Type II补偿. 但是发生load transient时, 由于Cout大ESR, Vout ripple更大.

电压模补偿总结如下, 一般电压模采用Type III补偿. 就是补偿元器件R,C值较高.

3.3.3 Small Signal Modeling of Current-Mode SWR

由于功率级的共轭极点, 电压模buck的补偿网路很复杂, 为了提高line transient, 还需要加入Vin前馈通路. 另外功率管需要OCP过流保护. 因此我们可采用电流模控制, 如下图所示, 图中 PWM 比较器 ±号反了.

电流模功率级模型如下. d和vin对Vout和iL都有贡献.

考虑Cout的ESR, Gid和Gig为

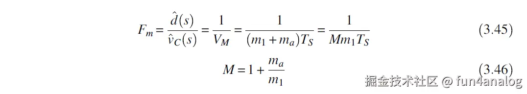
对于电流模, 当d>0.5会出现次谐波震荡, 因此需要添加斜坡补偿vramp. Vsum=Vs+Vramp, 决定了占空比D. Vramp的ma斜率需要>1/2 Vout/L

在DTs 引入了斜坡补偿ma, 三角波等效峰峰值为(m1+ma)TS. 比较器传函Fm=1/[(m1+ma)×Ts].

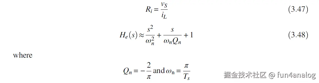
Fig 3.35展示了电流模控制的电流环路.

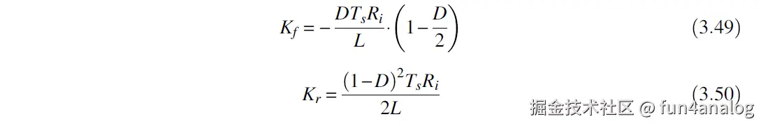
电感电流iL经过Ri转化成电压信号Vs: Vs=Ri×iL, 再经过He, 即sample-and-hold效应.

Kr和Kr为在ton-time和toff-time时, 输入输出电压影响电感电流的前馈通路

因此可得电流环路增益Ti(s)为

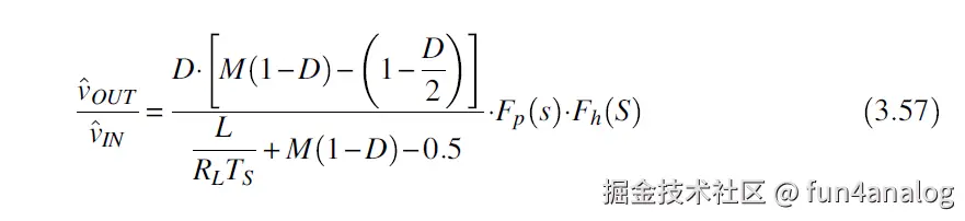
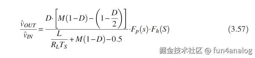
电流模 control-to-output 即vc到vout的传输函数为

Fig 3.36展示了不同斜坡补偿ma, M=1+ma/m1 对于control-to-output即vc到vout 传输函数的影响.

(a)为较小, 合适的M值, ma=m2. DC gain大于零, 具有单极点wp, wp约为1/(RL*Cout) . 因此电流模可视为单极点系统, 即把电感看成恒流源, 极点由Rout和Cout决定, 比电压模补偿容易多了!

(b)斜坡补偿ma越大, M越大, 更容易形成共轭极点. wp往后推, 高频极点往前推. 当M很大时, 典型的电流模特性控制消失, DC gain低于零, 电感电流信息VS被忽略了. 因此占空比D仅由Vc和Vramp决定, 这就和电压模控制一样了, 因此有电压模的两个共轭极点. 因此在很大M下, 电流模退化成电压模控制.

电流模的line-to-output 传函如下:

当M很大时, dc gain很大, 抑制Vin纹波的作用被大大降低, 类似电压模, 即输入Vin不能前馈到环路.

3.3.3.1 Frequency Compensation Design in Current-Mode SWR

电流模中Vc作为电流基准, regulate电感峰值电流. 在实际中电流基准需要在不同负载环境下生成. 为了形成动态电流负载, 把输出电压Vout和Vref进行比较, 产生电流基准Vc, 如图Fig 3.38所示. 当Vout<Vref, Vc增加, 导致电感峰值电流增加, 从而提高输出Vout, 形成负反馈.

带电压反馈的电流模环路如下图所示

电流模 control-to-output即vc到vout的传输函数在上面已经推导, 因此带电压反馈的电流模环路可简化为Fig 3.40

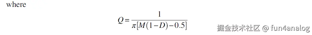
因此loop gain为Eq 3.58. K为电流模DC gain,

电流模有一个极点和零点. 零点由ESR构成, 极点wp为输出电容/电阻构成的主极点. 主极点位置随着负载Rout变换, 轻载wp向内推, 重载wp向外推. 因此电流模控制需要考虑负载Rout和Cout的变化. 一般把crossover frequency定在开关频率的1/10或者1/5, 抑制开关噪声.

电流模补偿采用KH/S积分器或者Type II补偿, 即加入原点极点wp1, 低零点wz1和高频极点wp2, 提高DC gain, 和零点补偿phase.

用Type II在轻载和重载下的bode plot如下图所示

Type II电路实现如下图所示, 这里EA为OTA, 没有输出电流能力.

Alternative Type II电路实现如下图所示, EA为buffer, 输出电流能力

其主极点由RA输出阻抗RO和C1决定. C1>>C2, R1和C1构成零点.

Alternative Type II在使用相同电容电阻时, 带宽更宽30KHz->90KHz, 因此load transient的undershoot和overshoot更小 (263mV->146mV), recover time也更小 (110

us->54us).

电流模补偿总结如下所示, 一般采用Type II补偿, 加大带宽, 改善瞬态响应.