《RethinkFun深度学习教程》2.1 线性代数-向量

181 阅读4分钟

2.1什么是向量

线性代数里主要是对向量进行计算,但在学习向量之前,首先对标量进行定义。

2.1.1 标量

标量(Scalar)是一个单一的数值,比如你的年龄,你的体重都是一个标量值。

2.1.2 向量的定义

接下来我们来讨论向量。不同背景的人可能对向量的理解不同。 请添加图片描述

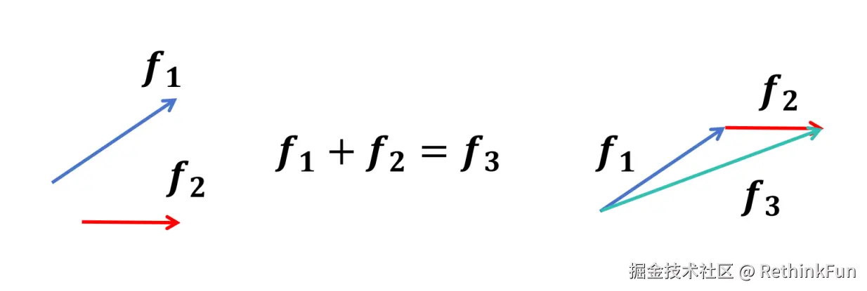
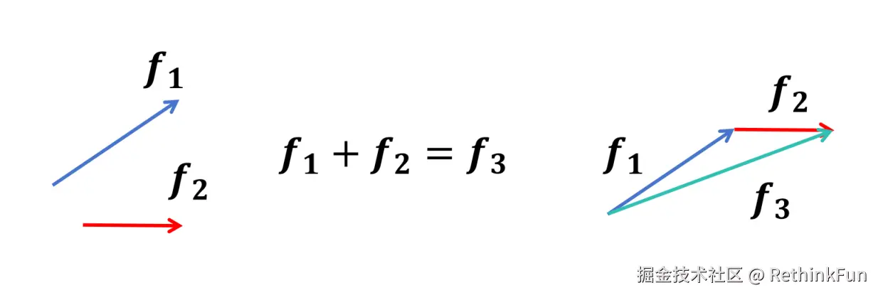
物理里的向量 物理里的向量用带箭头的线段来表示。确切的说它是一个自由向量,它只关心向量的大小和方向,而对这个向量在空间里的位置不关心。可以用这个向量表示力,速度这样既有大小又有方向的物理量。其中线段的长度表示这个物理量的大小,箭头的方向表示物理量的方向。因为物理研究的是现实世界,它的向量只存在于二维或者三维空间里。

请添加图片描述

并且我们知道,在物理里的向量是可以进行加减法和数乘的。

比如作用在同一点上的两个力可以组成合力,可以用三角形法则进行计算。也就是将向量f1f_1和向量f2f_2首尾相连,在从f1f_1的尾连接到f2f_2的首构成的向量,就是f1f_1f2f_2两个向量的和。物理里也可以对向量进行数乘,表示对向量进行缩放,比如对一个速度乘以0.4,表示速度大小为原来的0.4倍,但是方向不变。

机器学习里的向量 机器学习里的向量表示一组有序的数。比如你收集学生们的年龄,身高,体重。那么收集时这3个数字排列顺序是至关重要的。 比如你收集了两个同学的数据。然后你想计算这两个人的平均年龄,平均身高和平均体重。

x=[1217560]y=[1314550]\mathbf{x} =\begin{bmatrix}12 \\175 \\60\end{bmatrix}\mathbf{y} =\begin{bmatrix}13 \\145 \\50\end{bmatrix}

那么你首先把这两个向量对应位置的值相加。

x+y=[12+13175+14560+50]=[25320110]\mathbf{x+y} =\begin{bmatrix}12+13 \\175+145 \\60+50\end{bmatrix}=\begin{bmatrix}25 \\320 \\110\end{bmatrix}

然后对求和后向量里的每个值乘以0.5。

mean=0.5×[25320110]=[0.5×250.5×3200.5×110]=[12.516055]\mathbf{mean} =0.5\times\begin{bmatrix}25 \\320 \\110\end{bmatrix} =\begin{bmatrix}0.5\times25 \\0.5\times320 \\0.5\times110\end{bmatrix}=\begin{bmatrix}12.5 \\160\\55\end{bmatrix}

最后得到的向量就表示这两个同学的平均年龄,身高,和体重。也是对这个向量进行加法和数乘的计算。

线性代数里的向量

线性代数对向量进行了抽象定义,向量(Vector)是由 n 个标量组成的有序数列。其中这些标量值称为向量的元素或者分量。第 i 个标量称为向量的第 i 个分量。n 称为这个向量的维度。这个 n 维向量可以排成一行,也可以排成一列,分别称为行向量和列向量。一般在线性代数里习惯用列向量。比如上边收集到的学生年龄,身高,体重的数据,可以如下表示:

x=[1217560]\mathbf{x} =\begin{bmatrix}12 \\175 \\60\end{bmatrix}

在本书里向量用小写粗体来表示。上边的x就是一个3维列向量。第一个分量表示年龄,第二个分量表示身高,第三个分量表示体重。

请添加图片描述

线性代数中的向量,必须存在于一个坐标系内,也叫做向量空间。用一个箭头表示,起点必须在原点,箭头的坐标是一组有序的数,就代表这个向量。

向量的长度,叫做向量的模。对于向量v的模,用下边符号表示。

v\left | v \right |

假如向量v由n个分量构成v1,v2,...vnv_1,v_2,...v_n,则:

v=v12+v22+...+vn22\left | v \right | =\sqrt[2]{v_1^{2}+v_2^{2}+...+v_n^{2} }

2.1.2 向量的计算

线性代数里主要研究向量间的加法和数乘运算。

两个向量相等的比较

只有两个向量它们每个分量的值都相等时,这两个向量才相等。以上边表示年龄,身高,体重的向量为例,也就是说只有两个人的年龄相等,身高相等,体重相等,才说这两个向量是相等的。因为只有对应维度的数据比较才有意义。

两个向量的相加

x1=[1217560]x2=[1116050]\mathbf{x_1} =\begin{bmatrix}12 \\175 \\60\end{bmatrix}\mathbf{x_2} =\begin{bmatrix}11 \\160 \\50\end{bmatrix}

x1+x2=[1217560]+[1116050]=[23335110]\mathbf{x_1+x_2} =\begin{bmatrix}12 \\175 \\60\end{bmatrix}+\begin{bmatrix}11 \\160 \\50\end{bmatrix}=\begin{bmatrix}23 \\335 \\110\end{bmatrix}

对两个向量进行的另一个常见操作是相加,两个向量相加,是对应分量进行相加。比如你收集了两个同学的年龄,身高,体重信息,组成了两个向量,你要把这两个向量进行加和,则他们的年龄和年龄,身高和身高,体重和体重分别相加。最终的结果表示两个同学年龄的和,身高的和,体重的和。

这里向量加法和物理中向量加法并不冲突,也可以根据三角形法则进行计算。

向量的数乘 向量的数乘,表示对向量的缩放,缩放的英语单词为scaling,标量的英语是scalar。在向量运算里标量的作用就是对向量进行缩放。数乘对向量的缩放是通过对向量的每个分量进行缩放进行的。特别的是,如果缩放的标量为负值,则缩放后的向量与原向量的方向相反。

向量的减法 有了向量的加法和数乘定义,自然就有了向量的减法。向量a减去向量b,可以让b缩放-1,然后a与缩放-1倍的b相加。

这个教程我也会同步在B站以视频教程的形式更新,欢迎大家在B站关注RethinkFun