芝麻信用是怎么评分的?一文带你看懂金融风控背后的数据建模逻辑

563 阅读5分钟

你好,我是悦创。

今天我们聊点实在的:芝麻信用是怎么“算”出你的信用分的?背后到底有哪些数据模型和建模套路?

互联网金融,其实拼的不是营销、不是界面,而是——风控!
想在这行混得风生水起,得懂数据,更得懂怎么让模型“预见风险”。

🧱 一、前情提要:金融行业里的“数据人”怎么玩?

在互联网金融行业,数据分析师的角色大致分两类:

  1. 数据建模师:重算法,轻业务,专攻模型结构;
  2. 风控分析师:不仅懂模型,还得熟法律、政策、行业规则,经验型选手。

产品方向上又分为:

  • To B(企业端):评估企业整体信用;
  • To C(个人端):像芝麻信用那样给每个人打分。

无论是 To B 还是 To C,核心都依赖——央行征信数据。这才是数据圈里的“王炸”。

🤖 二、数据建模师的日常都在忙啥?

来,先上职位描述图👇:

从图里你可以看到关键字眼:

  • 数据源
  • 信用评分模型
  • 模型监控与迭代
  • 挖掘隐藏价值

金融数据建模,和其他行业不一样,数据源才是重头戏。毕竟你是在做风控,信息越全越准。所以和其他公司搞数据合作、数据采购,是常态操作。

一句话总结:你不是个码模型的理工男,而是个既懂数据、又懂市场的复合型选手。

📊 三、授信模型背后的秘密武器:以芝麻信用为例

我们最熟悉的芝麻信用分,其实就是一个模型评分体系。

它主要由五大维度组成:

  1. 身份特质:学历、工作单位这些“稳定标签”
  2. 履约能力:有没有车房、能不能还钱
  3. 信用历史:过往还款记录
  4. 人脉关系:你支付宝好友的信用也影响你
  5. 行为偏好:你买贵的还是便宜的?花在哪些品类?

👉 尤其是第五点行为偏好,是精细化运营的宝藏入口,信用评估+推荐系统全靠它。

🔍 3.1 数据从哪儿来?

每一个维度下面都有几十甚至上百个字段,比如:

  • 原始变量:如“今日交易金额”
  • 衍生变量:
    • 时间类:最近1个月/3个月总消费
    • 数学类:最大值、方差等
    • 比率类:月均消费/季度消费

变量越多,模型越能细致描绘出每个人的信用轮廓。建模初期,变量数能轻松破千!

🧹 3.2 数据处理:干掉噪音,留下干货

真实建模流程中,处理步骤主要有三:

  1. 缺失值清洗:丢掉缺失率高的字段(超过50%的直接扔)
  2. 变量去重:相关性太高的变量只留一个(看皮尔逊系数 >0.7 就剔除)
  3. 字符型变量数值化:比如学历字段,转成如下图的打分方式👇

简单暴力,但实用!

🧮 3.3 数据标准化:统一维度,模型才好用

比如交易金额和交易次数差异巨大,用 MAX-MINZ-score 做归一化,让所有变量落到同一个区间 [0,1] 内。

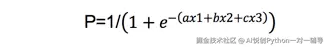
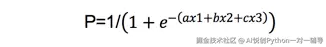
🧠 3.4 模型建构逻辑:逻辑回归登场!

模型目标是:预测违约概率 P

每个维度建一个逻辑回归模型,最后综合加权:

再套入一个评分公式:


score = (1 - P) \* 600 + 300

举个栗子🌰:
某用户五个维度违约概率分别是:0.1,0.2,0.3,0.4,0.5,赋予权重后得出总概率 0.275,对应芝麻分为:


(1 - 0.275) \* 600 + 300 = 735

是不是有点拨云见日的感觉?

📈 3.5 模型效果评估怎么做?

看两个指标就够:

  1. 混淆矩阵(查准率/查全率)👇

  • 查准率 = (预测对的) / 总样本
  • 查全率 = (真正未还款中预测对的)/ 所有未还款
  1. ROC曲线 + AUC值
    越接近1越好,起码得0.6以上。

不懂也没关系,记住:坏账率才是老板最看重的!

🚀 四、模型怎么真正“落地”?

🪂 落地前:模型试水 + 评估

芝麻信用和招联金融合作前,流程是这样的:

  1. 招联先扔一批用户数据
  2. 芝麻根据模型给出每人违约概率
  3. 招联看模型命中率够不够高(比如90%)

通过测试后,才正式启动合作。

🧩 落地中:多维数据融合,输出授信方案

招联给用户授信时,综合三方数据:

  • 央行征信报告(X)
  • 芝麻信用分(Y)
  • 招联内部历史信用数据(Z)

然后用一套专家规则打出最终信用额度,比如:

“征信良好 + 芝麻分 >750 + 招联内部评级A = 可借10000元”

虽然听起来像拍脑袋,其实内部是有一套经验模型的。

🔧 落地后:调参、复盘、持续优化

每周要复盘坏账数据,看模型哪里出问题:

  • 是哪个维度的模型预测失效?
  • 是不是打分体系不合理?
  • 要不要重新分组或添加新的衍生变量?

建模师此刻就是“第一责任人”!

🧠 五、最后总结一下重点!

✅ 芝麻信用建模全流程:

  1. 获取海量数据源
  2. 清洗 + 标准化 + 变量选择
  3. 逻辑回归建模 → 综合打分
  4. 模型评估:混淆矩阵 + AUC
  5. 试运行 + 合作落地
  6. 持续优化,调参打怪

✅ 数据建模师的核心竞争力:

  • 不只是算法,更是业务和数据理解力
  • 不只是建模,还要能沟通协调,推动项目落地
  • 模型是死的,人的思考才是核心竞争力!

如果你对数据建模感兴趣,或者正在从事金融相关分析工作,希望这篇文章能帮你打通一条清晰的知识路径。📚

你有什么想法或问题,欢迎评论区聊聊~
也欢迎关注我的公众号:AI悦创,不定期更新更多数据分析干货 📬