Android数据架构模式:四种主流方案对比

1,305 阅读6分钟

引言

在Android应用开发中,数据架构的选择往往决定了应用的性能表现、用户体验和维护成本。一个好的数据架构不仅能提供流畅的用户体验,还能有效应对移动端特有的挑战:网络不稳定、电池续航限制、存储空间约束等。

本文将深入探讨四种主流的Android数据架构模式,通过技术原理分析、实际案例和对比评估,帮助高级Android开发者在复杂的业务场景中做出最佳的架构选择。

四种架构详解

网络优先架构(Network-First)

核心特点

网络优先架构将网络API作为主要数据源,本地存储仅作为降级方案。其核心思想是确保用户始终获得最新的数据,数据流向为:

UI ← Repository ← Network API (primary)
         ↓
    Local Cache (fallback)

技术实现

class NetworkFirstRepository {
    suspend fun getData(): Result<List<Item>> {
        return try {
            // 优先从网络获取数据
            val networkData = networkService.fetchData()
            // 可选:更新本地缓存
            localCache.save(networkData)
            Result.success(networkData)
        } catch (e: Exception) {
            // 网络失败时使用本地缓存
            val cachedData = localCache.get()
            if (cachedData != null) {
                Result.success(cachedData)
            } else {
                Result.failure(e)
            }
        }
    }
}

适用场景

  • 实时性要求极高:金融交易、股票行情、实时聊天
  • 数据变化频繁:社交媒体动态、新闻推送
  • 强一致性需求:支付系统、订单状态

优缺点分析

优势

  • 数据一致性强,避免脏数据问题
  • 实现逻辑相对简单
  • 服务器控制数据版本,便于管理

劣势

  • 高度依赖网络,离线场景体验差
  • 网络延迟直接影响用户体验
  • 频繁的网络请求增加电量消耗

离线优先架构(Offline-First)

核心特点

离线优先架构将本地数据库作为单一数据源(SSOT),网络仅用于后台数据同步。UI层始终从本地读取数据,确保即时响应:

UI ← Local Database (SSOT)
         ↑
    Network Sync (background)

技术实现

class OfflineFirstRepository {
    // UI层直接从本地数据库读取
    fun getData(): Flow<List<Item>> {
        return localDao.getAllItems()
            .map { items ->
                if (items.isEmpty()) {
                    // 首次启动时触发同步
                    triggerSync()
                }
                items
            }
    }
    
    // 后台同步,不影响UI
    suspend fun syncData() {
        try {
            val networkData = networkService.fetchData()
            localDao.replaceAll(networkData)
        } catch (e: Exception) {
            // 同步失败不影响用户体验
            logSyncError(e)
        }
    }
}

Loading状态管理

由于UI不直接依赖网络状态,Loading的驱动机制有所不同:

class OfflineFirstViewModel : ViewModel() {
    val uiState = combine(
        repository.getData(),
        repository.syncStatus
    ) { localData, syncStatus ->
        when {
            localData.isEmpty() && syncStatus == SyncStatus.SYNCING -> 
                UiState.Loading
            localData.isNotEmpty() -> 
                UiState.Success(localData, isRefreshing = syncStatus == SyncStatus.SYNCING)
            else -> UiState.Empty
        }
    }
}

适用场景

  • 离线使用需求强烈:笔记应用、任务管理、文档编辑
  • 用户频繁修改数据:内容创作、表单填写
  • 网络环境不稳定:地铁、飞行模式等场景

优缺点分析

优势

  • 响应速度快,用户体验流畅
  • 支持完全离线使用
  • 减少网络请求,节省电量

劣势

  • 数据同步逻辑复杂,需要处理冲突
  • 可能出现数据不一致问题
  • 本地存储空间占用较大

只读离线优先架构(Read-Only Offline-First)

核心特点

这种架构结合了服务器权威性和本地缓存的优势,服务器是数据的唯一权威源,但用户只能读取,不能修改:

Network API → Local Database → UI
    ↑              ↓
  (写入)          (读取)

技术实现

class ReadOnlyOfflineRepository {
    // UI层始终从本地读取
    fun getData(): Flow<List<Item>> {
        return localDao.getAllItems()
    }
    
    // 服务器数据完全覆盖本地
    suspend fun syncFromServer() {
        val serverData = networkService.fetchData()
        localDao.replaceAll(serverData)
    }
    
    // 增量同步优化
    suspend fun incrementalSync() {
        val lastSyncTime = preferences.getLastSyncTime()
        val updates = networkService.getUpdates(since = lastSyncTime)
        
        updates.forEach { update ->
            when (update.operation) {
                Operation.CREATE, Operation.UPDATE -> 
                    localDao.insertOrUpdate(update.data)
                Operation.DELETE -> 
                    localDao.delete(update.id)
            }
        }
        
        preferences.setLastSyncTime(System.currentTimeMillis())
    }
}

适用场景

实际案例分析

  • appInfo:应用启动时拉取一次,后续直接读取本地数据
  • bizInfo:业务配置信息,内存存储,启动时加载
  • 包信息:应用包数据,后台定期更新,用户只读

优缺点分析

优势

  • 无数据冲突处理,实现简单
  • 数据一致性由服务器保证
  • 支持离线访问

劣势

  • 用户无法修改数据
  • 依赖服务器更新数据
  • 可能出现数据延迟

验证型缓存架构(Validation-Based Caching)

核心特点

这种架构通过轻量级的验证请求来平衡性能和数据一致性,类似于HTTP缓存机制:

UI ← Repository ← Validation API
         ↓              ↓
    Local Cache ← Fresh Data (if invalid)

技术实现

class ValidationBasedRepository {
    suspend fun getData(): List<Item> {
        // 1. 验证本地数据是否有效
        val isValid = validateCache()
        
        return if (isValid) {
            // 2. 有效则直接返回本地数据
            localDao.getAllItems()
        } else {
            // 3. 无效则重新获取
            refreshFromNetwork()
        }
    }
    
    private suspend fun validateCache(): Boolean {
        return try {
            val localETag = localDao.getCacheMetadata()?.etag
            val response = networkService.validateCache(localETag)
            response.isValid
        } catch (e: Exception) {
            // 验证失败,假设缓存有效(降级策略)
            true
        }
    }
    
    // 写操作:网络优先,成功后更新本地
    suspend fun updateData(item: Item): Result<Item> {
        return try {
            val updatedItem = networkService.updateItem(item)
            localDao.update(updatedItem)
            updateCacheMetadata(updatedItem)
            Result.success(updatedItem)
        } catch (e: Exception) {
            Result.failure(e)
        }
    }
}

适用场景

实际案例分析

  • 授权信息:每次读取前验证有效性,失效则重新获取
  • 用户配置:更新频率低,但需要保证准确性
  • 商品信息:价格变化不频繁,但需要实时准确

优缺点分析

优势

  • 高效节能,减少不必要的数据传输
  • 数据一致性有保障
  • 支持条件请求,节省带宽

劣势

  • 实现逻辑相对复杂
  • 增加验证请求的网络开销
  • 需要服务器支持缓存验证

架构对比与选择

多维度对比

架构类型响应速度数据一致性离线能力网络依赖实现复杂度
网络优先
离线优先
只读离线优先
验证型缓存

选择指南

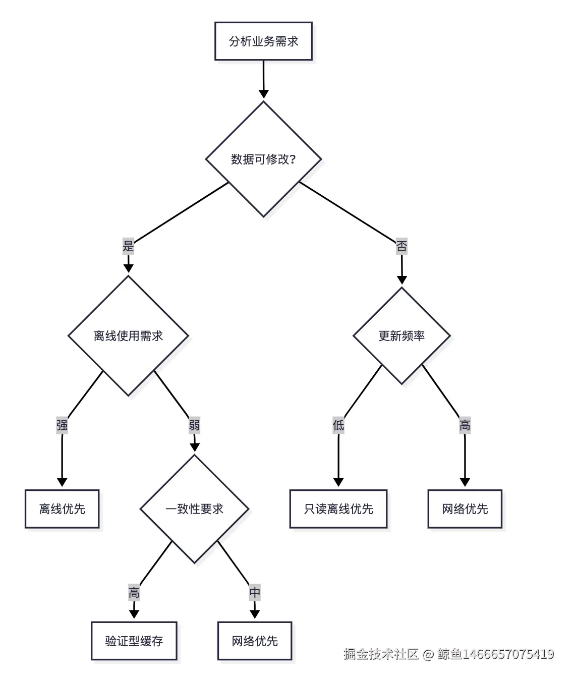
决策流程

截屏2025-07-15 17.08.17.png

混合架构策略

在实际项目中,往往需要根据不同数据类型采用不同架构:

class HybridDataManager {
    // 应用配置:只读离线优先
    private val appConfigRepo = ReadOnlyOfflineRepository()
    
    // 业务数据:内存缓存
    private val bizInfoRepo = MemoryCacheRepository()
    
    // 用户权限:验证型缓存
    private val authRepo = ValidationBasedRepository()
    
    // 包信息:定期同步的只读缓存
    private val packageRepo = PeriodicSyncRepository()
}

总结

本文深入分析了四种主流的Android数据架构模式,每种架构都有其适用场景和权衡考虑:

  • 网络优先:适合实时性要求高的场景,简单但依赖网络
  • 离线优先:提供最佳的用户体验,但同步逻辑复杂
  • 只读离线优先:适合内容消费型应用,实现简单且数据一致
  • 验证型缓存:在性能和一致性之间取得平衡,适合更新不频繁的数据

在实际项目中,很少有应用只使用单一架构,更多的是根据不同数据的特性采用混合架构策略。关键是要深入理解业务需求,权衡各种因素,选择最适合的架构模式。

随着技术的发展,这些架构模式也在不断演进,但其核心思想和设计原则将持续指导我们构建高质量的Android应用。