Chapter 10 Inductive DC–DC Converters III

87 阅读11分钟

Chapter 10 Inductive DC–DC Converters III

Design of Power Management Integrated Circuits - Bernhard Wicht

电感型DC-DC用电感做功率转换, 因为有开关, 也被称为开关型DC-DC. 电感型DC-DC相比LDO, 效率更高, 但是不那么"干净". 相比于电容型DC-DC (switched capacitor converter), 电感DC-DC理论能实现在任意转换比都效率高, 关键在于pulse-width modulation (PWM). 在轻载下会用pulse-frequency modulation (PFM) 来提高效率. 感谢电感的存在, converter不仅能实现降压, 也能实现升压. 下面介绍Section 10-Section 12.

10.10 The Boost Converter

Boost converter能升压, topology如下图所示. PWM=1, M1开启, 给电感充电, 为ton时间. Vsw=Vin, 注意M2的body diode方向, 需block Vout电压. 在ton时, 没有能量传输给输出, 这和buck不一样, buck是一直有能量传输到输出. 因此boost属于indirect energy transfer.

当电感电流达到Imax, PWM=0, 开启M2, 关闭M1. 在deadtime时, Vsw=Vout+VF (M2 diode drop). 一旦M2开启, Vsw=Vout. 由于Vout>Vin, 电感电压为负, 电流减小.

与buck不同, 平均电感电流不等于iload. 电感电流只在toff时传输给Vout.

10.10.2 Asynchronous Rectification

boost可用diode替代M2, 实现asynchronous rectification. 这样还能省去high-side driver和gate logic. 代价是loss变大.

10.10.3 On-/Off-Times

on time和off time可算得

10.10.4 Current Ripple

电感电流纹波为

10.10.5 Inductor Sizing

根据电感电流纹波可算得电感值

10.10.6 Voltage Conversion Ratio

Boost在CCM下电压转换比为

实际应用中由于损耗, M一般为4 - 5.

10.10.7 Output Voltage Ripple

由于电感, boost input current纹波很小, 但是输出电流纹波很大, 因此ton时没电流送到输出, 在toff时突然把电感能量送到输出电容. 在toff时, Cout充电电流为电感电流平均值ILavg减去负载电流iLoad.

Ic产生的纹波为

可得输出电压纹波为, 其实用ton (DTs)期间iLoad一直discharge Cout可以方便算出来

10.10.8 Capacitor Sizing

输出电容选择, 根据纹波大小

10.10.9 Control Loop

boost 可工作在电流模或者电压模. boost电压模类似buck 如图Fig. 10.7. 不同在于PWM控制M1, M2. 当Vs < Vc, PWM=1, 开启M1.

boost电流模, 电感电流采样可用M1下管, replica sensing电路相对简单. 当D超过50%, boost converter也会有subharmonic震荡, 需要加入斜坡补偿. 类似Fig 10.24. (a)中换成下管采样. (b)中Rs可直接换成M1, 这样V-I转换和接到Vsense的current mirror不需要了.

10.10.10 The PWM Switch Model

推导Boost的DC工作点和AC传输函数, 可用Vorpérian介绍的PWM switch model. 即把开关管替换成理想变压器+小信号电流.

对于boost, 输出电流为iL在(1-D)期间的平均值

推导小信号模型:

可得iLoad小信号表达式

看到iLoad有小信号项−IL×d, 因此加到Fig 10.35(b)中. a=active (M1的source), p=passive (M2的输出), c=common (M1和M2的连接处, 即switching node). 额外项IL×d=Ic×d,贡献了Eq 10.172中的IL小信号电流.

变压器secondary side电压V2

其小信号模型为

因此V2需要减去Vout×d, Fig 10.35(b)中 Vap = −Vout.

因此boost的小信号模型如图Fig 10.35(b)所示. Ic=IL为电感平均值, Ip为iLoad, Ia为M1的电流平均值, Ia=D×IL

10.10.11 Steady-State Analysis

对于稳态分析, 所有小信号设零, 可用Fig 10.35(a)大信号模型. 考虑电感电阻为RL

可得电压转换比Vout/Vin为

转换比M, 在不同RL/R下 随着占空比D增加如下图. 由于RL的原因, 典型M最大值为4-5

10.10.12 Small-Signal Analysis

根据Fig. 10.35b), 我们可以推导出line-to-output和control-to-output的传函.

考虑电感RL, 电感阻抗为

输出阻抗为

duty-cycle-to-output 传输函数为

10.10.13 Control-to-Output Transfer Function

电压模 Boost的 control-to-output 传函vout/vc为

Eqn. (10.187)表明有两个极点, 因此需要type III补偿. 和buck类似, 对于电流模boost, 只有一个极点, 而且需要斜坡补偿来抑制次谐波震荡.

10.10.14 Right Half-Plane Zero (RHPZ)

Eqn. (10.187) 表明boost的电压模控制还有一个右零点, 有右零点的converter为indirect energy transfer, 从物理理解为, Vout=Vin/(1-D), 当负载增加, Vout下降, 因此补偿信号Vc (Vref-Vout)会增加, 增加占空比D, 减少了1-D, 导致电感电流传输到Cout的时间减少, 因此输出电压Vout一开始下降, 后续再上升. 右零点会造成phase 减少90°, gain提升 20dB/dec, 提升fc crossover frequency, 导致相位裕度更加恶化! 因此一般取fc为0.10.3 fz (右零点). boost的fc会取 0.10.3 fsw和fz的更小值. 注意fz和负载R有关, 当R减少即重载时Wz减少, 会恶化稳定性. 比起buck, boost converter的带宽更低.

10.10.15 Discontinuous Conduction Mode (DCM)

boost 工作在DCM, D为开启下管占空比, D2为off时间, Vsw=Vout.

电压转换比 M

M 取决于 负载R, DCM输出比CCM略高.

control-to-output传输函数为

DCM下为单极点系统, 因此可用type II补偿.

10.11 The Buck-Boost Converter

Buck-Boost converter可实现升压/降压, 如下图所示. 由于电感不直接与输入/输出相连, 因此需要较大的Cin和Cout buffer cap.

由于输出Vout相对于输入Vin永远是反向的, 这种拓扑也称为inverting buck-boost. 4-switch的buck boost 输出电压为正, 因此更常用, 后面会介绍.

10.11.1 Inductor Current

10.11.2 Asynchronous Rectification

M2可用diode替代, 方向和M2 body diode一样

10.11.3 Voltage Conversion Ratio

电压转换比M

10.11.4 On-/Off Times

10.11.5 Inductor Sizing

限制电感电流纹波可得电感L

10.11.6 Output Voltage Ripple and Capacitor Sizing

输出电压Vout纹波和输出电容Cout可得

10.11.7 Discontinuous Conduction Mode (DCM)

buck-boost工作在DCM下得电压转换比

其绝对值比CCM略大.

10.11.8 Control-to-Output Transfer Function

buck-boost的电压模和电流模的传函和boost类似, 区别在于右零点.

buck-boost的右零点比boost的RHPZ更低, 一般为1/3, 因此buck-boost需要更低的fc频率.

10.11.9 The Non-Inverting Buck-Boost Converter

4-switch buck boost可提供正向输出电压, 因此称为non-inverting buck-boost converter. 它结合了buck和boost拓扑. 工作在buck mode下, S4 on, S3 off, S1和S2开关. 工作在boost mode下, S1 on, S2 off, S3和S4开关. 额外的switch会带来额外的loss, 如下图所示.

设计难点在buck和boos mode的切换点(crossover point Vin=Vout)实现平稳工作. 常用做法时在buck和boost mode切换几个周期, 造成在切换点效率较差.

10.12 The Flyback Converter

flyback能提供隔离的DC-DC转换, flyback的输入为400V, 功率在50W左右, 多用在给手机, 平板充电场景. 如Fig 10.40所示.

除了变压器, 主要器件还有主边的开关M1和此边的diode D. M1的占空比由Vout决定, 信号隔离将输出Vout信号, 通过光耦或者电容隔离器传到主边.

10.12.1 The Transformer

变压器用于隔离高压 (通常达到110/230V电网), 隔离也有利于免疫噪声. 变压器两边都有dot, 电压方向相同, 电流流入primary dot, 从secondary dot流出. 变压器模型包括magnetizing inductance Lm, leakage inductance Llk, 在副边也有leakage inductance, 但是较小一般忽略不计. Lm代表并联流过原边的电感电流. leakage电感Lk表示磁性flux没有完全link到原边和副边winding.

变压器转换比为, Np和Ns时原边和副边绕的匝数.

原边Lp和副边Ls的magnetizing inductance, 比例关系为

10.12.2 Fundamental Operation

flyback功率级和buck-boost类似, 注意变压器dot在主边和副边是上下相反的, 这样能输出正向电压Vout. M1开启 D*Ts=Ton, 电流流入主边dot, 从副边dot流出, 被diode block, 因此输出电压下降, Iload=V/R靠buffer电容提供. 当M1 关闭时, 主边Lm上的电感电流续流, 电流流出主边dot, 从副边dot流入, 因此diode导通, 提供iLoad电流, 给输出电容充电. 而且M1为低边开关, 驱动很容易做.

10.12.3 Voltage Conversion Ratio

flyback电压转化比和buck-boost类似

DCM下

Lp代表primary-side magnetizing inductance, 即Lm.

10.12.4 Control-to-Output Transfer Function

flyback的传输函数和buck-boost与boost类似, 电压模同样有双极点和右零点.

注意1) L为副边的电感, 即Ls

2), DC gain G0要除以变压器的转换比N.

10.12.5 Control

DCM更倾向于工作在DCM, 因为频率补偿更简单, 而且轻载效率更高. 电流模或者电压模控制flyback, 对于电压模 Fig 10.40和Fig 10.5类似.

需要clamp电路作为snubber来限制电压spike, 从而保护M1的drain. 电压Spike主要由变压器leakage, PCB走线电感决定. 有两种clamp, 主动clamp和被动clamp. passive clamp flyback (PCF) 和 active clamp flyback converter (ACF).

10.12.6 The Passive Clamp Flyback Converter (PCF)

Fig 10.40中主边用R,C,diode组成RCD clamp, 管子Mc并没有用到.

参考Fig 10.41(a)中典型的DCM波形, 在t1~t3期间, Lp和Ls的电流为零. 由于电感没有储存能量, 因此Vsw=Vin, 先忽略t2 (ACF相关). 在t3时, M1开启, Vsw=0V, Lm充能, 在副边, Diode block电流, 因此Ils=0. 在t4时, M1关闭, Ilp继续留, 把Vsw抬高, 超过Vin. PCF钳位电路限制Vsw为Vin+Vc (忽略Dc diode压降), 到达t5. 在clamp期间, Dc形成freewheeling, Ilp给Cc充电. 可把Vc电压看成恒压源, 其值通过Rc进行调节.

在clamp期间, 副边限制主边电压为N*Vout. 因此Vsw被钳位在Vin+Vc=Vin + N ⋅ Vout + Vclp. N为匝数比, Vclp为clamp电压. 需要确保Vcmlp电压不超过M1的safe operating area (SOA). 由于主边看到负压, Ilp在t5后开始减小, 在t6时主边ilp达到0A. 同时副边Ils增加, 在t6时, Ils开始下降, 直到达到0A, 结束这个周期(t=t1+T).

估算clamp电路带来的loss.

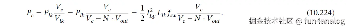
Pc = Vc ⋅ ILp 和 Plk = Vlk ⋅ ILp 相似

当Vc = 2 ⋅ N ⋅ Vout, Pc为leakage电感能量1/2×ILp^2 Llk的两倍. Eq 10.224的前提为magnetizing inductance远大于leakage inductance, 而且假设Cc和输出电容C

为恒压源. 被动钳位PCF总体效率很难超过90%.

10.12.7 The Active Clamp Flyback Converter (ACF)

主动钳位ACF用Mc取代了Rc, 波形为Fig. 10.41b), 包括Mc gate波形. 周期开始于DCM, 电感电流为零. 在t1时, Mc开启, 实现zero-current switching (ZCS), 减小loss. 对于PCF, Vc为恒压, 因此当Vsw=Vin+Vc, Lm看到负压, Ilp电流减小. ACF的优势在于一部分变压器leakage的能量存储在Cc上(在t5~t6阶段), 当Mc开启时会循环传输到Vout和Vin, 提高了效率. Mc在t2关闭, 有足够的负电流, 通过Ilp discharge M1的drain-source电容, 把Vsw拉到0V, 因此在t3开启M1时, 能实现zero-voltage switching (ZVS).

t3之后, ACF和PCF一样, 在clamp期间 (t5~t6), Mc的body diode形成freewheeling在Vsw和clamp网络, 因此Ilp充电Cc. 换句话说, Cc储存Llk的电感能量, 并且有效抑制Vsw的ringing. leakage能量在t1和t2之间循环.

t3时刻M1的ZVS可通过sensing电路实现(Section 6.7), 这个信息可用于控制关闭Mc. 在稳态下, Ilp电流在t1和t2之间的积分需要等于把charge从SW点的Vin+Vc拉到0V.

总结: 主动钳位ACF比起被动钳位PCF的优势在于: (1) 回收leakage energy, 形成ZVS (ZCS), 效率更高. (2)减少ringing, 提高EMI. 因此ACF可把功率提高到150W. 但是精准控制M1和Mc需要先进的PMIC. 高压IC工艺允许ACF集成在功率级和control.

[19] Rindfleisch, C., Otten, J., and Wicht, B. (2022) A highly-integrated 20-300V 0.5W active-clamp flyback DCDC converter with 76.7% peak efficiency, in 2022 IEEE Custom Integrated Circuits Conference (CICC), pp. 1–2, doi: 10.1109/CICC53496.2022.9772834.

[20] Kuo, C.C., Lee, J.J., He, Y.H., Wu, J.Y., Chen, K.H., Lin, Y.H., Lin, S.R., and Tsai, T.Y. (2021) A dynamic resonant period control technique for fast and zero voltage switching in GAN-based active clamp flyback converters. IEEE Transactions on Power Electronics, 36 (3), 3323–3334,doi: 10.1109/TPEL.2020.3016324.