首页
沸点
课程
数据标注
HOT
AI Coding
更多
直播
活动
APP
插件
直播
活动
APP
插件
搜索历史
清空
创作者中心
写文章
发沸点
写笔记
写代码
草稿箱
创作灵感
查看更多
登录
注册
taylor 展式
littleCat
2025-06-29
45
阅读1分钟
证明:
求解系数法
www.mathsisfun.com/algebra/tay…
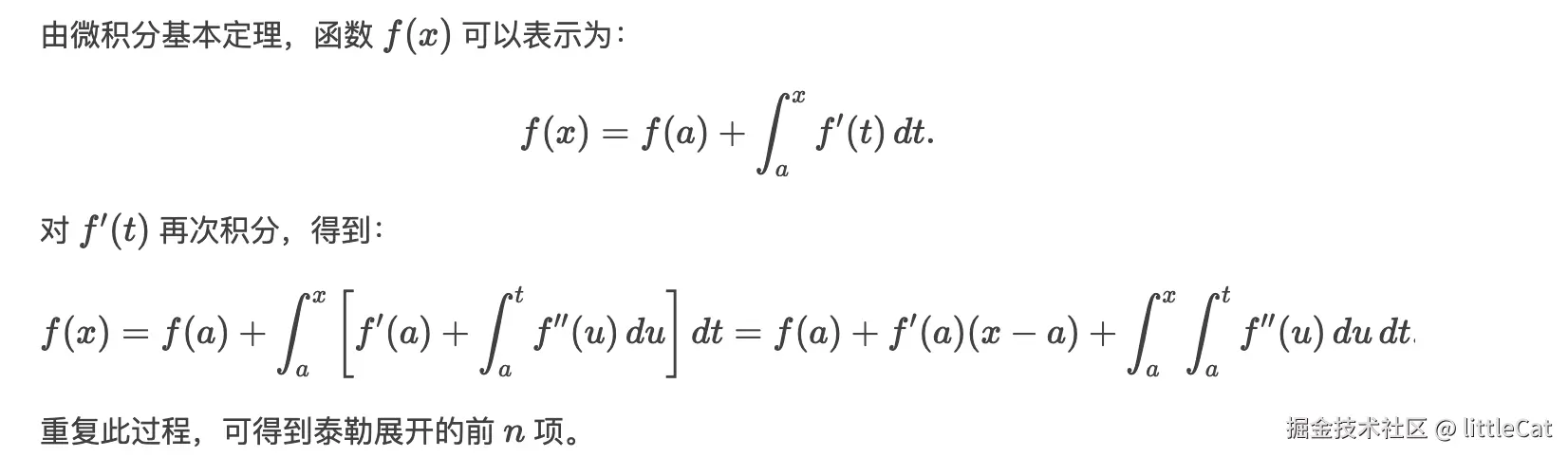
积分余项-
从微分到积分
littleCat
177
文章
21k
阅读
1
粉丝
目录
收起
证明:
求解系数法
积分余项- 从微分到积分