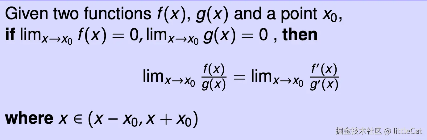
洛必达法则(L'Hôpital's rule) littleCat 2025-06-28 82 阅读1分钟 因为 f(x) = f(x0) + f'(x0) * (x-x0) = f'(x0) * (x-x0)