英飞凌 | 驱动电路设计(五)——驱动器的自举电源稳态设计

184 阅读9分钟

驱动电路设计是功率半导体应用的难点,涉及到功率半导体的动态过程控制及器件的保护,实践性很强。为了方便实现可靠的驱动设计,英飞凌的驱动集成电路自带了一些重要的功能,本系列文章讲详细讲解如何正确理解和应用这些功能。

自举电路在电平位移驱动电路应用很广泛,电路非常简单,成本低,而且有很多实际案例可以抄作业。不过,由于系统往往存在特殊或极端工况,如设计不当调制频率或占空比不足以刷新自举电容器上电荷,电容上的电压不够,低于低电压关闭值UVLO,这时候就出现了系统故障,严重时会损坏系统。上一篇《驱动电路设计(四)---驱动器的自举电源综述》是基于书本知识的综述,已经提到这些问题,接下来会参考英飞凌的数据手册和应用指南进行深入讨论。本文为了简化问题,分析固定占空比下,即针对一个PWM周期内的设计。

自举电路原理

图1中为栅极驱动器的高压侧提供非隔离电源的方式是自举拓扑,其由简单的一个自举二极管和一个自举电容器组成。当下桥IGBT导通时给自举电容充电到VBS,而在下桥关断上桥工作时这个电容给上桥提供电源。电容在上下桥交互开关的过程中实现充放电。在实际驱动器产品中,有时电平位移驱动电路已经把二极管集成在IC中,只要外接一个电容即可。

1-1.png 图1. 自举电路

这种自举电路具有简单、成本低的优点。电路设计目标是输出电压稳定,如果自举电容上的电压不够,低于低电压关闭值UVLO,这时候就出现了系统故障,严重时会损坏系统。

自举电容器(VBS)的最大电压取决于图1所示的自举电路的几个元器件:

● 电阻RBOOT上的压降;

● 自举二极管的VF、低边侧开关上的压降(VCEON或VFP,取决于流经开关的电流方向);

● 以及低边侧开关发射极和直流母线之间的分流取样电阻(图1中未显示)上的压降(如果存在)。

自举电路分析

在研究半桥拓扑中使用的自举电路元器件取值大小细节之前,需要了解一些基础知识,为此我们引入简化等效电路有助于分析加深理解(见图2)。电容Cboot左边是补充电荷的电路,而右边部分是会消耗掉电荷的电路。

1-2.png 图2. 自举电路的等效电路

自举等效电路(如图2所示)简化了VBS特性作为调制开关S1开关状态函数的计算,也简化其与占空比D、栅极电荷QG、漏电流Ileak以及自举电阻Rboot和自举电容Cboot的计算。

VBS: 自举电容器Cboot上的电压

VBSMAX: 代表电源电压(图1中的VCC)加上或减去自举电路的静态电压降

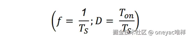
D=占空比=T(ON)/T

"稳态"过程计算:即一个PWM周期内的VBS行为

在本文讨论中,开关S1的占空比假定为已达到稳定状态,并将保持恒定。后续的文章章节再进一步讨论空间矢量调制下,占空比随时间变化时要考虑的一些因素。

自举电容器Cboot上产生的电压VBS一般由两个部分组成(如图2所示)。第一个是理想开关(也是半桥电路中的下桥臂)(S1)接通(TON)期间自举电阻上产生的压降。第二个是叠加纹波,是系统开关特性的特征。

交流纹波的大小主要由自举电容器的容量决定,可以在S1关断(TOFF)时计算。

在下面讨论的其余部分,VBSMAX被定义为VBS的可能的最大值,图2中的电压源就取最大值VBSMAX。

自举电阻

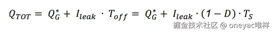
驱动电源是否足够大用电荷来描述比功率更直接,因为负载是MOS型器件的栅极电荷,在开关期间 (TS)电源(VBSMAX)向电路提供的总电荷量QTOT如下公式所示。

1-3.png

这里变量QG*被定义为功率器件栅极QG和栅极驱动器电平位移QLS所需的总电荷量,而Ileak是指向栅极驱动器高压侧电路提供的直流电流High-side floating well offset supply leakage。

比如2ED2198S06F的QLS=1nC,而一个10A 600V的IGBT3 IKA10N60T大约为62nC,实际计算中可以忽略。

而其Ileak=12.5uA,如果Ts=0.1ms的话,Ileak*TS=1.25nC,也是一个非常小的量。(文末的案例Ileak高达200uA,可能就不应该忽略)

S1由PWM波形驱动,且仅在TON时间内通过自举电阻提供电荷,则流经自举电阻的平均电流按如下公式计算。

1-4.png

其中:

1-5.png

所以RBOOT两端的平均压降由下列公式确定:

1-6.png

如果电平位移的驱动器的QLS和Ileak相对于驱动对象足够小,那公式可以简化为:

1-7.png

在设计中,是否可以忽略内部电平位移电路所需的电荷和栅极驱动器高压侧电路提供的直流电流,建议查一下英飞凌的数据手册,或向厂商咨询。

自举电容

自举电容器向高压侧电路提供的总电荷可通过下列公式计算得出:

1-8.png

VBS的纹波振幅为:

1-9.png

上式说明自举电压的纹波只与总电荷和自举电容有关,总电荷也要考虑内部电平位移电路所需的电荷QLS和在关断时栅极驱动器高压侧电路提供的直流电流,可能两者可以忽略。

自举电压的跌落

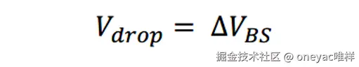
半桥电路上管用自举供电,其电压一定会低于芯片供电电压,也低于下管的驱动电压,这一问题值得仔细研究,最终目的是探讨最小占空比问题。

VBS的波形如图所示,图中对各种贡献进行了区分。Vdrop表示VBS从其可达到的最大(VBSMAX)下降的幅度(VB纹波最低谷的值)。

VBSMAX在实际系统中也就是驱动芯片供电电压VCC。

第一种工况

当自举电阻Rboot和自举电容Cboot决定的时间常数比较大。

1-10.png 图3:Vdrop波形:条件为占空比小于4倍的自举电阻和电容的时间常数/Ts

如上图,Vdrop的幅值为:

1-11.png

上面这种工况是占空比比较低,如以下公式那样实际充电时间小于4倍RC常数。充电不足,电压跌落较大。使VRboot大于∆VBS/2。

1-12.png

第二种工况

当占空比很大,充电时间远大于自举电阻Rboot和自举电容Cboot决定的时间。

那么Vdrop=VRboot+∆VBS/2不再成立,而变成Vdrop=∆VBS,波形见图4。

1-13.png

这时:

1-14.png

这样自举电压的跌落就比较小,而且可以忽略自举电阻上的压降,只与自举电容决定的纹波有关。

1-15.png 图4:Vdrop波形:条件占空比远大于4倍的自举电阻和电容的时间常数/Ts

最小占空比

上面的分析是为最小占空比设计做铺垫,现在步入主题:

VBS纹波∆VBS仅取决于自举电容器Cboot,而当自举电容用得比较大,变成第一种工况,VBS也会有明显的跌落,这时的跌落Vdrop取决于自举电阻Rroot。

我们前面讨论电压跌落与占空比与自举电路的时间常数的关联性,目的是要设计自举电阻满足最小的占空比。

下式是在忽略∆VBS作用时的最小占空比DMIN,式子中Vdrop是电源可接受的最大压降。

1-16.png

我们来看自举电源仿真案例:

在设计中,我们目标是自举电压,电压降Vdrop结果参考图5。

仿真条件:

当QG=40nC,f=1/TS=20kHz,Ileak=200μA,Rboot=220Ω,

且预充电到VBSMAX=15V。

分别在Cboot=47nF和1uF,占空比为10%和30%。

图5的模拟结果中,绿色和黄色曲线表示使用47nF自举电容器在两种占空比下的 VBS。紫色和红色曲线表示使用1µF自举电容在两种占空比下的VBS。可以看自举电压值得大小受占空比影响,而电压得纹波受自举电容大小影响。

1-17.png 图5:不同自举电容和占空比条件下的仿真结果

按照前面的公式:

当QG*=40nC,f=20kHz,Ileak=200μA,Rboot=220Ω,如果允许的Vdrop=2V (VBS=VCC-Vdrop=13V)时,算出最小可接受的占空比DMIN=11%。要是占空比只有10%的话,电压跌落会超过预期。

结论:

1、驱动功率取决于被驱动的功率栅极电荷QG和栅极驱动器电平位移QLS,并且要包括各种漏电流。

2、自举电路设计核心问题是自举电阻Rroot和自举电容Cboot选取,电阻决定平均电压,电容影响纹波。

3、自举电源的电压会比驱动电路的供电电源电压VCC要低,其电压降取决于自举电阻的压降和自举电容上的纹波。按照可能的最小占空比正确选择电阻和电容值是关键,以保证上下管的驱动电压在设计值内。

参考资料:

1.《IGBT模块:技术、驱动和应用》机械工业出版社

  1. 微信文章:自举电路工作原理和自举电阻和电容的选取

  2. 微信文章: 新品 | 带有集成自举二极管和OCP的1200V半桥栅极驱动器2ED132xS12x系列

  3. AN-1123 Bootstrap Network Analysis: Focusing on the Integrated Bootstrap Functionality

1-18.png