浏览器插件(crx)实现多标签页数据同步机制

629 阅读6分钟

前言:多标签页数据同步的技术挑战

想象一下,你用 Chrome 插件打造了一个酷炫的新标签页,每次按下 Ctrl+T,用户打开的都是你自定义的页面,而不是浏览器默认的空白页或搜索页。听起来很棒,对吧?

但问题来了,当用户打开了 10+ 个标签页时,这场景瞬间变成了“多标签页同步的地狱大片”:

  • 每个标签页都在疯狂请求数据,服务器直接“爆炸”。
  • 重复劳动:每个页面独立请求,浪费资源。
  • 插件更新时,多个标签页同时更新,服务器压力山大,开发者头发狂掉。

别慌!我们来看看如何用“集中式数据请求 + IPC 分发机制”拯救世界(以及开发者的头发)。


解决方案:集中式数据请求 + IPC 分发机制

核心思路

  1. 数据请求集中化:所有数据请求交由插件后台进程集中处理,避免标签页各自为战。
  2. 进程间通信 (IPC):后台进程获取数据后,通过 IPC 将数据分发到各个标签页。

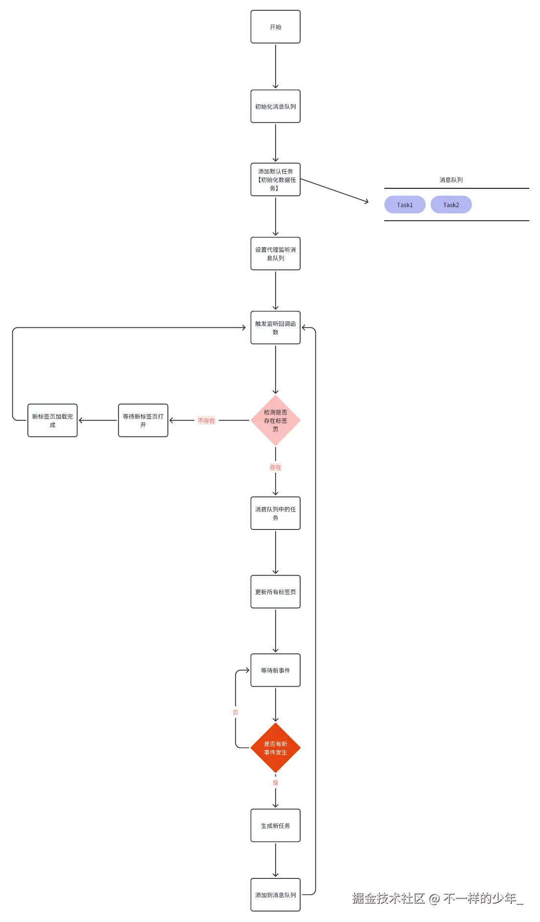
具体方案一:事件驱动机制

基于事件驱动,结合代理模式和消息队列,实现数据同步。

实现步骤:

  1. 初始化消息队列
    在插件后台初始化一个消息队列,并默认添加一个任务(如初始化任务)。

  2. 代理模式监听消息队列
    使用 Proxy 对消息队列进行代理监听,实时监控队列变化:

    • 新标签页加入
      检测到新标签页时,消费队列中的任务,调用 API 获取数据,并将数据分发到所有标签页。每个标签页将数据存储到 localStorage,实现本地缓存。
      • 好处:下次刷新页面时,如果没有数据更新,直接读取缓存,避免重复请求。
    • 无新标签页
      如果没有新标签页,则队列保持静默,直到有新任务触发。
  3. 事件触发任务生成
    当有数据更新事件(如用户操作、后台推送等)时,生成任务添加到消息队列中,触发代理回调,完成数据同步。

优点:

  • 灵活高效:通过消息队列和事件管理机制,最大化资源利用率。
  • 快速响应:标签页实时接收更新,显著提升用户体验。
  • 减少冗余请求:通过本地缓存和统一数据分发,避免每个标签页独立请求。

缺点:

  • 服务端依赖:需要服务端支持实时通信协议(如 WebSocket 或 MQTT)。
  • 实现复杂度:涉及消息队列和代理模式,开发和调试可能较为复杂。

适用场景:

  • 高实时性需求:如在线文档协作、实时聊天等。
  • 多标签页共享数据:如用户配置同步、跨页面状态共享。

whiteboard_exported_image (6).png

whiteboard_exported_image (7).png

伪代码:

// background.js - 事件驱动机制后台进程

class DataSyncManager {
constructor() {
  this.messageQueue = [];
  this.isProcessing = false;
  
  // 代理监听消息队列
  this.queueProxy = new Proxy(this.messageQueue, {
    set: (target, property, value) => {
      target[property] = value;
      if (property !== 'length' && !this.isProcessing) {
        this.processQueue();
      }
      return true;
    }
  });
}

// 初始化
init() {
  // 监听来自content script的消息请求  如:标签页发送过来的请求
  chrome.runtime.onMessage.addListener((message, sender, sendResponse) => {
    if (message.type === 'REQUEST_DATA') {
       // 将task添加到队列中
      this.queueProxy.push({
        type: 'DATA_REQUEST',
        timestamp: Date.now(),
        tabId: sender.tab?.id
      });
      // 返回已经加入队列的信号
      sendResponse({ status: 'queued' });
    }
  });
}

addInitTask(){
 this.queueProxy.push({
        type: 'initAllData',
        timestamp: Date.now(),
        tabId: ''
  });
}

// 处理消息队列
async processQueue() {
  if (this.isProcessing || this.queueProxy.length === 0) return;
  
  this.isProcessing = true;
  
  try {
    // 逐个处理任务
    while (this.queueProxy.length > 0) {
      const task = this.queueProxy.shift();
      await this.handleTask(task);
    }
  } catch (error) {
    console.error('处理队列任务失败:', error);
  } finally {
    this.isProcessing = false;
  }
}



// 处理单个任务
async handleTask(task) {
  console.log('处理任务:', task);
  
  switch (task.type) {
    case 'DATA_REQUEST':
      await this.fetchAndDistributeData();
      break;
    case: 'INIT_ALL_DATA':
      await ....
    default:
      console.warn('未知任务类型:', task.type);
  }
}

// 获取并分发数据
async fetchAndDistributeData() {
  try {
    console.log('获取新数据...');
    // 获取新数据
    const data = await fetch('https://api.example.com/data').then(r => r.json());
    
    // 分发数据
    this.distributeData(data);
    
  } catch (error) {
    console.error('获取数据失败:', error);
  }
}

// 分发数据到所有新标签页
async distributeData(data) {
  try {
    // 获取所有标签页
    const tabs = await chrome.tabs.query({});
    
    // 过滤出新标签页
    const newTabPages = tabs.filter(tab => this.isNewTabPage(tab.url));
    
    console.log(`找到 ${newTabPages.length} 个新标签页`);
    
    // 并发发送消息到所有新标签页
    const sendPromises = newTabPages.map(tab => 
      chrome.tabs.sendMessage(tab.id, {
        type: 'DATA_UPDATE',
        data: data,
        timestamp: Date.now()
      }).catch(error => {
        console.log(`标签页 ${tab.id} 消息发送失败:`, error.message);
        return null; // 返回null表示发送失败,但不影响其他标签页
      })
    );
    
    // 等待所有发送完成
    const results = await Promise.all(sendPromises);
    const successCount = results.filter(result => result !== null).length;
    
    console.log(`数据分发完成: ${successCount}/${newTabPages.length} 成功`);
    
  } catch (error) {
    console.error('分发数据失败:', error);
  }
}

// 判断是否为新标签页
isNewTabPage(url) {
  return url && (
    (url.includes('chrome-extension://') && url.includes('newtab.html')) ||
    url === 'chrome://newtab/' ||
    url === 'about:newtab'
  );
}
}

// 初始化
const dataSyncManager = new DataSyncManager();
dataSyncManager.init();


// 插件启动、安装的时需要给队列添加一个初始化任务,这个任务是初始化标签页所有的数据
chrome.runtime.onInstalled.addListener(() => {
 dataSyncManager.addInitTask()
});

chrome.runtime.onStartup.addListener(()=>{
 dataSyncManager.addInitTask()
})

具体方案二:轮询机制

如果事件驱动机制太复杂,轮询机制是一个简单直接的替代方案。

核心思路: 通过轮询机制定期更新数据,确保每次打开新标签页时数据是最新的。

实现步骤:

  1. 事件触发与轮询启动

    • 用户打开标签页时,向后台发送事件,后台调用 API 获取最新数据,并推送到所有标签页。
    • 插件安装、启动或更新时,后台进程启动轮询机制,定期检测是否有标签页存在。
  2. 轮询逻辑

    • 有标签页存在:后台检测到有标签页存在时,立即发起数据请求,将最新数据推送到所有标签页。
    • 无标签页存在:如果没有标签页,轮询机制挂起,暂停数据请求,直到用户打开新标签页时重新启动。

优点:

  • 操作简单:无需依赖事件触发即可更新数据。
  • 稳定性强:即使事件触发失败,轮询机制仍能确保数据更新。

缺点:

  • 实时性不足:轮询间隔为 10

whiteboard_exported_image (4).png

伪代码:

// background.js - 插件启动和浏览器关闭时的轮询逻辑

class PollingDataSync {
  constructor() {
    this.pollingInterval = 10000; // 轮询间隔时间,单位:毫秒
    this.pollingTimer = null; // 用于存储定时器的引用
  }

  // 初始化轮询逻辑
  init() {
    console.log("PollingDataSync 初始化完成");
    this.startPolling();
  }

  // 启动轮询
  startPolling() {
    if (this.pollingTimer) return; // 防止重复启动

    console.log("启动轮询机制...");
    this.pollingTimer = setInterval(() => {
      this.fetchAndDistributeData(); // 定时获取并分发数据
    }, this.pollingInterval);
  }

  // 停止轮询
  stopPolling() {
    if (this.pollingTimer) {
      clearInterval(this.pollingTimer);
      this.pollingTimer = null;
      console.log("轮询机制已停止");
    }
  }

  // 获取并分发数据
  async fetchAndDistributeData() {
    try {
      console.log("轮询获取新数据...");
      // 模拟从 API 获取数据
      const data = await fetch('https://api.example.com/data').then((r) => r.json());

      // 分发数据到所有标签页
      this.distributeData(data);
    } catch (error) {
      console.error("获取数据失败:", error);
    }
  }

  // 分发数据到所有标签页
  async distributeData(data) {
    try {
      const tabs = await chrome.tabs.query({});
      const targetTabs = tabs.filter((tab) => this.isTargetTab(tab.url));

      console.log(`找到 ${targetTabs.length} 个目标标签页`);

      const sendPromises = targetTabs.map((tab) =>
        chrome.tabs.sendMessage(tab.id, {
          type: 'DATA_UPDATE',
          data: data,
          timestamp: Date.now(),
        }).catch((error) => {
          console.log(`标签页 ${tab.id} 消息发送失败:`, error.message);
          return null; // 返回 null 表示发送失败,但不影响其他标签页
        })
      );

      const results = await Promise.all(sendPromises);
      const successCount = results.filter((result) => result !== null).length;

      console.log(`数据分发完成: ${successCount}/${targetTabs.length} 成功`);
    } catch (error) {
      console.error("分发数据失败:", error);
    }
  }

  // 判断是否为目标标签页
  isTargetTab(url) {
    return url && (
      (url.includes('chrome-extension://') && url.includes('newtab.html')) ||
      url === 'chrome://newtab/' ||
      url === 'about:newtab'
    );
  }
}

// 创建轮询实例
const pollingDataSync = new PollingDataSync();

// 监听插件安装或更新事件
chrome.runtime.onInstalled.addListener(() => {
  console.log("插件已安装或更新");
  pollingDataSync.init();
});

// 监听浏览器启动事件
chrome.runtime.onStartup.addListener(() => {
  console.log("浏览器已启动");
  pollingDataSync.init();
});

// 监听浏览器关闭事件,停止轮询
chrome.runtime.onSuspend.addListener(() => {
  console.log("浏览器即将关闭");
  pollingDataSync.stopPolling();
});