红黑树(RB Tree)的设计哲学和实现

320 阅读4分钟

将结合底层原理、工程实践与可视化演示,深度解析红黑树(RB Tree)的设计哲学和实现细节。全文分六个模块,逐步揭示这种“变色龙数据结构”的奥秘。


🌳 ​​一、红黑树的本质:用颜色规则模拟2-3-4树​

红黑树并非普通二叉树,而是​​用红黑着色模拟2-3-4树(多叉树)的平衡结构​​。

  • ​红色节点 = 与父节点组成3/4节点​​(如节点20和30合并为[20,30])

  • ​黑色节点 = 独立2节点​
    通过这种方式,红黑树在保持二叉结构的同时,获得类似B树的分裂合并能力

​五大铁律​​(任何破坏都会触发自平衡):

  1. ​根必黑​​:确保全局起点一致

  2. ​红子必黑​​:禁止连续红节点(防止局部过密)

  3. ​黑高同路​​:从任意节点到所有叶子的路径,黑色节点数相同(核心平衡约束)

  4. ​叶(NIL)为黑​​:统一路径终点

  5. ​非黑即红​​:所有节点都是非黑即红的

🌰 ​​平衡性证明​​:设树高为h,最短路径全黑(黑高bh),最长路径红黑交替(长度≤2bh)。由性质5得:h ≤ 2log(n+1)


⚖️ ​​二、与AVL树的本质区别:容忍度 vs 精确度​

​维度​​AVL树​​红黑树​
​平衡标准​高度差≤1(绝对平衡)最长路径≤2倍最短路径(相对平衡)
​旋转频率​插入删除后必旋转(O(1)次)平均0.6次旋转/操作36
​查询效率​O(log n) 常数更小O(2log n) 但实际差距<20%
​适用场景​读密集型(如数据库索引)写密集型(如OS调度、Java HashMap)610

📌 ​​工程选择原则​​:

  • ​选AVL​​:若查询频率 > 插入删除频率的10倍

  • ​选红黑​​:高并发写入场景(如Linux进程调度队列)


🔴 ​​三、红黑树核心操作:旋转与变色的协同​

​1. 插入操作:新节点必红,向上递归修复​

java
Copy
// Java伪代码:红黑树插入修复
private void fixInsert(Node z) {
    while (z.parent.isRed) {  // 父红则需修复
        Node uncle = z.getUncle();
        if (uncle != null && uncle.isRed) { 
            // Case 1:叔红 → 父叔变黑,祖父变红
            z.parent.color = BLACK;
            uncle.color = BLACK;
            z.grandparent.color = RED;
            z = z.grandparent; // 递归向上
        } else {
            if (z.parent == z.grandparent.left) {
                if (z == z.parent.right) { 
                    // Case 2:LR型 → 先左旋父
                    z = z.parent;
                    rotateLeft(z);
                }
                // Case 3:LL型 → 父变黑、祖父变红 + 右旋祖父
                z.parent.color = BLACK;
                z.grandparent.color = RED;
                rotateRight(z.grandparent);
            } 
            // 对称操作(省略)
        }
    }
    root.color = BLACK; // 根强制黑
}

​关键逻辑​​:

  • ​叔红则上浮黑色​​:将冲突向上转移(减少旋转)

  • ​叔黑则旋转调平​​:通过旋转拉平深度

​2. 删除操作:双黑缺陷的传播与消除​

删除黑色节点会引发“双黑缺陷”(路径黑高-1)。修复策略:

image.png

注:实际需区分8种情况(详见 ),核心是通过​​旋转将红色节点转移到缺陷路径​


🛠️ ​​四、红黑树在Java中的应用:HashMap的树化​

当HashMap链表长度>8,自动转为红黑树(代码简化版):

java
Copy
// HashMap.TreeNode 源码片段
final void treeify(Node<K,V>[] tab) {
    TreeNode<K,V> root = this;
    // 1. 构建红黑树
    for (TreeNode<K,V> x = this, next; x != null; x = next) {
        next = (TreeNode<K,V>)x.next;
        x.left = x.right = null;
        if (root == null) {
            root = x;
            x.red = false; // 根染黑
        } else {
            // 2. 插入并平衡(调用balanceInsertion)
            root = balanceInsertion(root, x);
        }
    }
    // 3. 确保根在桶首位
    moveRootToFront(tab, root);
}

​设计意图​​:

  • 链表短时用O(1)插入,长链转树保证O(log n)查询

  • 选择红黑树而非AVL:HashMap写频繁(put后可能触发resize+rehash)


🎨 ​​五、红黑树构建全流程演示​

以插入序列[3,1,5,7,6]为例:

  1. ​插入3​​:根节点 → 染黑

image.png

  1. ​插入1​​:作为3左子 → 红色(不破坏规则)

image.png

  1. ​插入5​​:作为3右子 → 红色(需修复)

image.png

  1. ​插入7​​:作为5右子 → 红色

image.png

  • 对5左旋 → 7上升,5变左子

image.png

  • 对3右旋 + 重染色

image.png

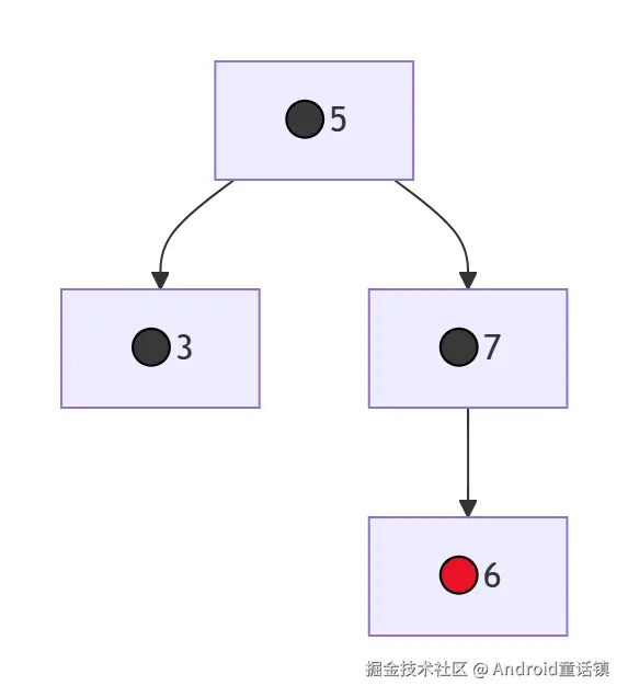
  1. ​插入6​​:作为7左子 → 红

    • 父(7)红,叔(3)黑 → RR型旋转

image.png

  • 对5右旋无意义 → 改染色:7染黑,6染红

image.png


💎 ​​终极总结:红黑树设计哲学​

  1. ​用颜色换平衡​​:通过红黑约束,将严格高度差转化为路径长度比(≤2)

  2. ​局部修复思想​​:80%的失衡可通过变色解决,仅20%需旋转

  3. ​工程最优解​​:在查询效率(AVL)和写入成本(普通BST)间取得平衡

⚡ ​​面试重点​​:

  • 背诵五大性质及推论
  • 能画图演示插入时的三种case(叔红/LL/RR)
  • 解释HashMap为何选红黑树而非AVL

理解红黑树需动手实现旋转算法。建议参考OpenJDK的TreeMap源码(约300行核心逻辑)