Chapter 10 Inductive DC–DC Converters II

134 阅读12分钟

Chapter 10 Inductive DC–DC Converters II

Design of Power Management Integrated Circuits - Bernhard Wicht

电感型DC-DC用电感做功率转换, 因为有开关, 也被称为开关型DC-DC. 电感型DC-DC相比LDO, 效率更高, 但是不那么"干净". 相比于电容型DC-DC (switched capacitor converter), 电感DC-DC理论能实现在任意转换比都效率高, 关键在于pulse-width modulation (PWM). 在轻载下会用pulse-frequency modulation (PFM) 来提高效率. 感谢电感的存在, converter不仅能实现降压, 也能实现升压. 下面介绍Section 7-Section 9.

10.7 Constant On-Time Control

COT控制类似电流模控制, 无需斜坡补偿. 通过电压前馈, 在广泛工作点能保持恒定频率. COT的load transient好, 因为COT环路能通过改变周期长度, 在一个周期内响应, 无需像电流模/电压模一样等下一拍CLK. COT有hysteretic control的响应速度, 但又实现类似电流模和电压模的恒定频率. COT在轻载下效率高, 因为COT在DCM下能减小开关频率.

如图 Fig. 10.25a), 当电感电流采样Vsense低于EA输出电压Vc时, 开关周期开始, 上管开启ton时间 (PWM=1). 这个ton时间为Vin和Vout的函数.

Fig. 10.25b), 展示了电路实现. 整体电路和电流模环路类似. 外环电压环相同, 也需要type II补偿. 内环电流环采样谷值Valley电感电流和Vc进行比较, 因此可用下管采样, 节省成本.

on-time为Vin和Vout的函数.

Fig. 10.25b)电路通过电压前馈方法, 使得频率几乎与Vin和Vout无关. 比较器翻转点Vtrip和Vout相关实现电压前馈.

由于Vin>>Vtrip, 我们能认为电容C的充电电流Ic = Vin/R. 因此电容电压为

比较器翻转点, t = ton, V(ton)=Vtrip

Eqns. (10.64) and (10.67)显示, 开关频率为恒定.

fs为 RC和𝛼R的函数. 二阶效应例如比较器offset, R, C值会影响fs. 因此需要对R或者C进行校准.

Figure 10.26a) 展示了在不同Vin,Vout下 Vc和Vsense电压的变化, 注意周期fs是没有变化. 电流ripple变化了, 为了提供相同iLoad, outloop会相应调整Vc.

Eg 10.7, 设计COT控制, Vin1 = 5.0V, Vin2 = 8.0V. Vout = 3.0V, Vtrip = 0.75 V, Iload = 200 mA and L = 10 μH. fsw = 2.5MHz.

𝛼R = Vtrip/Vout = 0.25. 因此可得RC time constant

For case 1 (Vin1 = 5.0V), 可得ton1为

电感电流纹波

off time, toff1为

可得 case 2 Vin2=8V, ton2 = 150 ns, ΔIL2 = 75 mA, and toff2 = 250 ns.

由图Fig. 10.26b)所示, 当负载变大时, 开关频率增加, 因为off-time减小. 这比固定频率响应要快. transient结束后, 频率fs又回到Eqn. (10.68)定义的RC时间常数. 由于这个机制, COT无需斜坡补偿, 频率根据扰动, 自动调整周期, 如图Fig. 10.26c)所示.

COT通常限制最小的off-time, 来保证占空比的resolution, 尤其是Vin小, Vout大的场景, 占空比接近上限. 通常做法时减小开关频率fs 10~20%. 可通过当Vin接近Vout时, 增加比较器trip电压 Vtrip或者减小C的充电电流实现, .

在轻载时, COT可进入DCM或者PFM, 进一步减小loss. 在DCM时, 电感电流为0, 没有电流采样信息了, 可通过maximum off-timer来解决.

存在constant off-time控制, 包括峰值电流检测来set on time (constant on-time是检测谷值Valley), constant off time为Vin和Vout函数. constant off-time的缺点是当负载变化时, 频率变小. 因此load transient response和轻载效率比constant on-time差. 同时在high Vin下on-time可能太小, 限制了最小占空比.

10.8 Frequency Compensation

通过电压模和电流模的control-to-output transfer function G(s) 分析, 我们通过补偿电路在crossover frequency fc处提高phase, 有足够高的phase margin. 补偿包括proportional (P), integral (I), and differential (D). integrating很重要, 能提供高的低频增益, 好的regulation, 抑制Vin的低频噪声. 积分器在DC引入了极点, 再加上G(s), 环路有多个极点了, 因此需要添加一两个零点.

根据传输函数G(s), 有三种补偿,type I, type II 和type III. Type I 是积分器. Type II 是 PI controller, type III是PID controller. 一般来说G(s)极点越多, 需要更高级的补偿. FIg 10.27 (a),(b)中用的OTA, 如果换成op-amp需要接成RC负反馈形式, (c)为op-amp.

10.8.2 Type I Compensator

type I 如图Fig. 10.27a), 补偿传函为

小信号输出阻抗routa = rds6 ∥ rds7, 和C1并联. 低频增益 Ho = Ao = −gm * routa . Type I补偿不提供phase提升, 不太适用于DC-DC, 除非把fc做的极低.

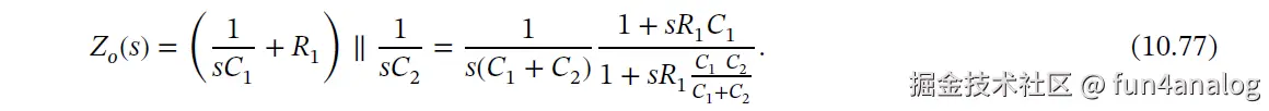
10.8.3 Type II Compensator

type II 如图Fig. 10.27b), 补偿传函为

零点fz需要低于极点fp, 因此需要 C1 ≫ C2

type II在DC处有一极点, 在fz处零点:

在fp处极点:

type II有一个零点可做phase boost, 适用于1个pole的传函, 例如buck电流模, 和工作在DCM的buck电压模,

10.8.4 Type III Compensator

如图Fig. 10.27c) 所示, PID 提供2个零点和两个极点, 带积分(一个极点在DC).

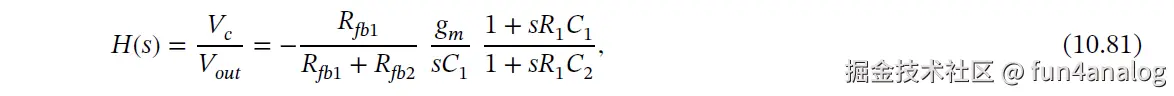
一般把op-amp做成负反馈形式如(c), OTA做成load形式如(b). Fig. 10.27c) 用OTA结构也可以, 只要gm >> 1/Rfb2. OTA的type III补偿传函为

gm >> 1/Rfb2, Eq 10.85简化为Eq 10.84.

Zo提供零极点fz1和fp1

Zi提供另外一对零极点fz2和fp2

DC处的pole

两个零点能提供最大180∘ phase boost, 适合双极点传函系统例如buck电压模 CCM.

10.8.5 The K-Factor Method

可以用k-factor来设计零极点, 和crossover frequency fc. k-factor的目标是让fc在零极点乘积开方处(几何平局), 这样能有最大phase提升. 在fc处

10.8.6 The K-Factor for Type II Compensation

Figure 10.28展示了G(s)和H(s). H(s)的积分行为在低频极点产生-90 deg. fc放在fz和fp中间, 提高phase margin.

H(s), G(s)和H(s)*G(s) 的bode plot如下图所示.

Example 10.8 基于K-factor, 设计Type II补偿, fsw=1MHz, G(fc)|dB = −8dB, 𝜑c = −85∘, gm = 275 μA/V, Vin = 3.3V, Vout = 1.2V, Vref = 800 mV.

(a) 取cross频率10% of fsw. fc=100KHz.

(b) 目标phase margin = 60°.

(c) feedback divider ratio 𝛼

(d) linear plant gain:

(e) 需要提升的phase, phase boost 𝜑b

(f) 可以计算出K factor

(g) 可计算出零点和极点

(h) 根据Eqn. (10.100), 可计算出R1, C1和C2.

计算R1, H(s)的表达式为

fz ≫ fc ≫ fp, j*f/fz ≫ 1=sR1C1, j * f/fp≪1, 忽略

Eqn. (10.81) 在fc处为固定plateau平台值, 因此H的值为

10.8.7 The K-Factor for Type III Compensation

对于Type III补偿, 有两个零点和两个极点. 设计两个零点相同, 两个极点相同, fc在零点和极点中间.

fz = fz1 = fz2, fp = fp1 = fp2, 补偿传函为

K factor为

Example 10.9 基于K-factor, 设计Type III补偿, fsw=1MHz, G(fc)|dB = −8dB, 𝜑c = −130∘, Vin = 3.3V, Vout = 1.2V, Vref = 800 mV.

(a) 如同Eg 10.8, fc = 100 kHz, PM = 60∘, 𝛼 = 0.667, and Gc = 0.3981. 设计Rfb1= 70 kΩ, Rfb2 = 140 kΩ.

(b) 计算phase boost为

(c) 可计算出K factor为

(d) 根据fc和k, 可算得零点和极点位置为

(e) 可算的C2, C1, R1, R2 和C3的值为

注意到C3=409pF 很大, 很难集成到芯片里. 可以把带宽扩展到 fc = 0.3 fsw = 300 kHz, 这样C3降低为1/3即 136 pF. C1和C2的值同样会减小.

10.8.8 Capacitance Multiplier

更高的fs能用更小的RC器件值, 但可能还是难以集成. 而DC-DC通常避免片外补偿RC网络. 因此电容倍增技术很吸引人, 采用active circuit和电容实现电容扩充10倍甚至更高的效果.

Fig 10.29 展示了电压模, 电流模和用运放实现电流模

Fig 10.29(a)为 voltage-mode multiplier, 即米勒效应. 在Cc之间放一个增益为-Av的amplifier, 在输入端的电容会增大为AvCc倍.

Fig 10.29(b)为 current-mode multiplier. 电容并联current-controlled current source (CCCS). 等效电容定义为

Veq/Ieq = 1/j𝜔Ceq. CCCS提供K*Ic电流, 因此Ieq=Ic + KIc ∼ KIc=K Veq j𝜔 Cc -> Veq/Ieq = 1/j𝜔KCc

因此等效电容为 K Cc

Fig 10.29(c)展示了电路实现. voltage follower钳位Rx和Ry的电压相同. R下=KRy, 因此Ry的电流为Rx的K倍. Ceq = C1 = K ⋅ Cc. 电路挑战是Voltage follower, 需要class A-B结构来"吸收"KIc的大电流. 同时这个运放的GBW要高,确保在fc频率内呈现出良好的multiplier表现.

在load transient时, 可通过降低Cc, 减少phase margin, 从而提高瞬态响应速度. converter在短时间unstable, 一段时间后, 补偿调回到足够的phase margin, 从而保持环路稳定. 可通过改变Rx和Ry的on resistance, 从而改变K值.

参考 [14] Chen, K.H., Chang, C.J., and Liu, T.H. (2008) Bidirectional current-mode capacitor multipliers for on-chip compensation. IEEE Transactions on Power Electronics, 23 (1), 180–188, doi: 10.1109/TPEL.2007.911776

10.9 Discontinuous Conduction Mode (DCM)

上面介绍了连续电流模式continuous conduction mode (CCM). 随着负载iLoad降低, 电感电流可为负值. 负的电感电流discharge Cout增加loss. zero-crossing detection (ZCD)检测到电感电流为零, 下管需要立刻关闭来防止loss. 这项技术称为 diode emulation. 下管类似freewheeling二极管. 当电感电流为零, 不能为负, converter进入discontinuous conduction mode (DCM). 一般我们在重载和中载为CCM, 轻载下在DCM.

10.9.1 General Constant-Frequency Behavior

Figure 10.30b) 展示DCM周期包括三部分: 1) on-time ton=DT (上管导通). 2) off time toff=D2T (下管导通). 3) (T − (ton + toff)) = D3 T, 当电感电流为0A (上下管都关闭, Vsw=Vout).

在DCM中set 电感ripple ΔIL为 Ipeak. D为占空比, 和CCM一样, 为上管导通比例.

D2代表下管的占空比.

Ringing at the Switching Node

如图Fig 10.30(b)所示, 当电感电流=0A, Vsw易受ringing. 电感和功率管寄生电容形成resonant tank, ringing几个周期后消失, 最终Vout=Vsw. ringring轻微改变了转换比, 而且带来干扰. 可以在Vsw和地之间添加A series damping R–C network (snubber network) 来消除ringing. 一些design放一个管子和电感并联. 这个管子开启提供freewheeling path, 在检测到电感电流过零, 而且功率管关闭.

Peak Current in DCM

电感平均电流为iLoad

可算得电感peak电流

根据Ipeak可算得ton, toff, D和D2.

Conversion Ratio

DCM的转换比定义为M, R为输出电阻 R = Vout/load.

在DCM下, AC传输函数为一阶系统(一个零点, 一个极点), 更容易补偿 (可采用type II而不是type III).

可根据M, 算得需要D, 然后计算出ton和Ipeak, 根据Ipeak可算得D2和toff.

10.9.2 Pulse-Frequency Modulation (Burst Mode)

Figure 10.31 所示, 在轻载下, switching loss占主要贡献. 因此在轻载进入DCM下, 更倾向 PFM 而不是 PWM. PFM也称为 pulse-skipping mode or burst mode. 在PFM下, control loop和power stage的Ibias都可以关闭, 从而提高效率.

Figure 10.32 展示了电流模DC-DC的PFM控制图.

(1) 电感断流检测. 可通过检测在deadtime时, Vsw的电压, 如果电感电流大于零, Vsw=PGND-Vdiode. 计数ZCD连续触发N个周期(例如5个), 才进入PFM. Fig. 6.22b)展示了ZCD检测电路. 也可通过当error signal Vc低于最小值, 即Vout高于最大值, 判断进入DCM.

(2) 进入PFM后, 主环路关闭. 检测Vout的迟滞比较器开启 (rise threshold: Vtpu, fall threshold: Vtpl). 包括两phase:

(a) 当Vfb>Vtpu 进入Passive phase or skipping interval, 没有switching动作. iLoad会逐渐discharge Vout.

(b) Vfb<Vtpl 进入active phase: 打一个或者多个pulse来charge Vout, 直到Vfb>Vtpu. 有多种方法产生pulse, constant ton (COT, Section 10.7, ton为Vin和Vout函数) 可用于DCM, 轻载适合COT. 对于电流模控制, pulse可通过复用峰值电流控制电路. 电感电流检测Vsense和Vlim进行比较, 而不是和error voltage Vc比较. Figure 10.32展示了这种方法, 在PFM中, MUX选择Vlim而不是Vc和Vsense进行比较.

(3)在极轻负载下 (Ultra-light load operation), 当Vfb>Vtpu, 只保留比较器和基准产生器, 其他电路关闭. 当Vfb<Vtpl, 再进入active phase. 这样消耗很少电流(mA级别). 除了检测Vfb, 还可以检测Vc (Vfb的放大版), 代价是开EA多耗一些功耗.

Figure 10.33 展示了[15]中的Vsw和Vout. Vout在比较器翻转阈值以内(55mV). 当Vout< fall threshold_Vtpl, 上管开启, 电感电流和CLK同步, Vout上升. 当Vsense>Vlim, 上管关闭, 下管开启. 下一个CLK的上升沿关闭下管, stop this cycle. 只要Vout没超过rise threshold_Vtpu, 继续打一个pulse, 上管开启, 下管开启, 靠CLK关闭. 直到Vout>rise threshold_Vtpu, converter才退出active phase, 进入passive phase. 50mA的iload需要两个pulse才能让Vout>rise threshold. 随着iLoad负载的增加, 打的pulse越来越多, converter最终进入CCM.

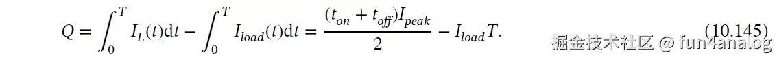
如何估算iLoad下需要连续打多少个pulse?

认为Q为电感注入电流和iLoad discharge电荷之差.

Vout增量为 ΔVout = Q/C, n个周期满足比较器迟滞 Vhyst = n ⋅ ΔVout, T=1/fsw, ton和toff由Ts, Vin, Vout决定. 可算得连续打n个pulse:

对于Ipeak, 为Figure 10.32中的Vlim决定.

Example 10.13, Vin = 5.5V, Vout = 1.63 V, Vhyst = 55 mV, Iload = 50 mA, Ipeak = 440 mA, L = 3.6 μH, C = 10 μF, fsw = 1.6MHz

结果和Figure 10.33 match, 需要两个pulse来让Vout超过Vhyst. iLoad增加到180mA, 需要4个pulse. 如果减小电感值到L=0.82uH, 需要8个pulse.