华人数学家反击AI!一场关于和差集问题的突破接力赛

168 阅读8分钟

数学的世界里,总有一些难题如同璀璨星辰,吸引着无数智者仰望与追逐。

在今年5月,DeepMind的AlphaEvolve发布白皮书,宣布在公开数学难题上取得突破,一时引发学界轰动。

然而,就在人们还在惊叹AI的力量时,华人数学家携最新研究成果强势反超,将这一难题的解决推向了新的高度。

这不是一场AI与人类智慧的对决,而是一场跨越领域的接力赛,一次关于数学之美与科学探索的精彩演绎。

让我们走进这场智力角逐的现场,揭开和差集问题的神秘面纱。看看AlphaEvolve如何叩开突破之门,又为何说华人数学家的成果让这扇门开得更大。

和差集问题:数学花园中的“隐秘角落”

5月14日,DeepMind的AlphaEvolve发布白皮书, 宣布在50多个公开难题上刷新纪录,其中就包括将和差集的θ从1.14465提升到1.1584。

图片 来源:全球科技情报服务平台AMiner: www.aminer.cn/pub/619b9d0…

在数学的浩瀚版图中,和差集问题如同一个藏在深谷中的秘境,虽不似哥德巴赫猜想那般广为人知,却在数论与组合数学的交界处散发着独特魅力。

简单来说,这个问题关注的是整数集合通过加法和减法运算后的“生长”规律。

给定两个有限整数集合A和B,当它们的和集|A+B|被一个常数K限制时,差集|A-B|能有多大的“规模”?

这里的关键,在于找到那个决定差集增长速度的最大指数θ, 它就像一把尺子,丈量着集合在加减运算下的神秘边界。

或许你会好奇,研究几个数加加减减有什么意义?

但别小看这个问题,它就像数学中的 “基础零件”,其结论能在密码学、编码理论等多个领域发挥作用。

想象一下,当我们需要设计更高效的编码方式时,对集合运算规律的深刻理解可能就是那把关键的钥匙。

而数学家们对θ的追逐,本质上是在探索数学结构内在的增长极限,是对数字世界底层规律的不懈追问。

历史上,数学家们为了这个θ值可谓煞费苦心。

从最初的朴素构造到引入复杂的组合方法,每一次微小的提升都凝聚着智慧的光芒。

直到2007年,Gyarmati、Hennecart和Ruzsa三位数学家提出了一个重要框架,他们发现可以通过构造特殊集合U,利用其和集与差集的大小关系来推导θ的下界,这就像为探索者指明了一条可能的路径。

而这条路径的尽头,正是华人数学家Fan Zheng与AlphaEvolve先后抵达的新高度。

AlphaEvolve:AI叩开数学突破之门

当DeepMind的AlphaEvolve带着白皮书走进公众视野时,它带来的不仅是一个数字的更新,更是一种跨学科思维的震撼。

这个曾在围棋、蛋白质结构预测等领域掀起风暴的AI系统,如今将触角伸向了纯数学的硬核地带——和差集问题

AlphaEvolve的突破并非偶然,它依托的是DeepMind在大语言模型与算法优化方面的深厚积累。

图片 来源:全球科技情报服务平台AMiner:www.aminer.cn/pub/6064571…

与传统数学家手工构造集合的方式不同,这个AI系统像一个不知疲倦的“数学建筑师”,通过大规模搜索和进化算法,在浩瀚的整数空间中寻找那些“恰到好处”的集合结构。

它的核心思路是:既然θ的下界与集合U的和差集大小密切相关,那为何不通过算法自动生成并优化这样的集合呢?

图片 AlphaEvolve的结构总览

在实际操作中,AlphaEvolve采用了类似“数学达尔文主义”的策略:先随机生成大量候选集合,然后根据和差集大小的评估标准进行筛选,让“好”的集合通过“变异”和“组合产生下一代,如此迭代进化。

图片 AlphaEvolve运行中的演化与评估过程

这种方法看似“暴力”,却在计算能力的支撑下展现出惊人的效率。

最终,它用一个包含54,265个整数的集合,将θ值提升到了1.1584。 这个数字不仅超越了此前的手工构造结果,更标志着AI在纯数学问题上已具备独特的“创造力”。

图片 DeepMind将AlphaEvolve投放到多个开放问题

消息传出,学界一片哗然。有人惊叹于AI探索数学的潜力,也有人担忧传统数学研究的模式是否会被颠覆。

但DeepMind的研究者们更愿意将这视为一次合作的开始。

AI负责在数据海洋中打捞可能的结构,人类数学家则负责理解背后的原理,这种人机协同或许正是破解复杂数学难题的未来之路。

然而,就在人们还在热议AI的这一成就时,一位华人数学家的名字悄然出现在学术预印本平台上,带来了更令人振奋的消息。

华人数学家Fan Zheng:从追随到超越的智慧飞跃

当Fan Zheng的论文出现时,数学界意识到,和差集问题的突破接力棒,已经传到了华人数学家手中。

图片 来源:全球科技情报服务平台AMiner:www.aminer.cn/pub/683e64a…

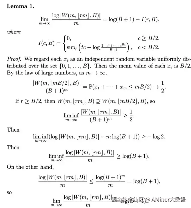
这位研究者没有依赖复杂的AI系统,而是通过纯粹的数学智慧,将θ的下界进一步提升至1.173077,再次刷新了人类对这个问题的认知极限。

此次的突破建立在前人研究的基础之上,但他巧妙地引入了新的数学工具——大偏差估计。

这个听起来有些晦涩的概念,本质上是用来描述随机变量偏离均值的极端情况概率。

在和差集问题中,他将集合构造转化为对整数划分的约束问题,每个坐标的取值就像独立的随机变量,而大偏差估计则帮助他精准计算出满足特定条件的集合数量,从而更精确地评估和差集的大小。

具体来说,他构造了一系列特殊集合W (m, L, B),每个坐标的取值都被限制在0到B之间,同时满足坐标和不超过L。

通过分析这类集合在m和L趋于无穷大时的渐近行为,结合大偏差理论,他得到了比AlphaEvolve更优的θ下界。

图片

大偏差理论的部分展示

值得一提的是,AlphaEvolve使用的集合包含数万个元素,而Fan Zheng的方法在理论上可以构造任意大的集合,这意味着他的结论具有更普遍的数学意义。

论文中的表格数据清晰展现了这一突破的说服力:当B=5且精度达到10^-8 时,计算得到的θ-1值稳定在0.173077左右,加上1后得到的新下界远超AlphaEvolve的1.1584,甚至比此前另一位研究者的显式构造结果1.173050还要高出一丝。

图片 数值数据表

这并非简单的数字游戏,而是对数学结构理解的深化。

Fan Zheng通过理论分析 ,找到了比AI搜索更优的集合构造范式,证明了人类数学家在洞察问题本质方面的独特优势。

在AI与人类智慧的交汇处,数学之光照得更远

从DeepMind的AlphaEvolve到华人数学家Fan Zheng,和差集问题的突破历程就像一场精彩的接力赛。

AI凭借其强大的搜索能力和算法创新叩开了新的大门,而人类数学家则凭借深厚的理论功底和洞察力,将这扇门开得更大,看到了更远处的风景。

这不是一次非此即彼的竞争,而是一次完美的互补——AI为数学研究提供了强大的探索工具,人类则为这些工具注入了理解和创新的灵魂。

在这个AI与人类智慧交织的时代,数学研究的范式正在悄然改变。

我们既看到了算法在海量搜索中展现的潜力,也见证了人类思维在抽象理论构建中的不可替代性。

华人数学家的成果告诉我们:即使在AI日益精进的今天,人类数学家的创造性思维依然具有不可替代的价值,他们能从算法的结果中提炼规律,从数据的海洋中发现本质,将具体的案例升华为普遍的理论。

而这一切,都指向一个更宏大的命题:科学的进步从来不是单一力量的独角戏,而是不同领域、不同思维方式的碰撞与融合。

当AlphaEvolve的“蛮力” 遇上人类的“巧思”,当算法的效率邂逅数学的深邃,我们有理由相信,更多像和差集问题这样的数学秘境将被揭开面纱,人类对宇宙规律的认知也将在这场智慧的接力中不断抵达新的高度。

数学的星辰大海,正等待着更多这样的携手探索,让真理的光芒照亮更远的未知!


这里是AMiner数据平台——全球领先的学术数据挖掘与分析平台,您身边的科研助手,有关学术趋势洞察、学者网络分析问题都可以与我们探讨!

网站链接:www.aminer.cn/?fr=fwh_am_…

image.png

或直接关注【AMiner Research】公众号,获取最新的AI前沿研究、行业动态和学者信息!