销售预测的方法与模型(三)丨安全库存与再订货(补货)

184 阅读6分钟

前面几篇分析了如何设计商品分类,有了不同的物料分类可以有效分析不同物料的波动性,有助于精细化管理。另外,在库存管理中,优化库存水平以平衡成本与客户服务水平是企业运营的关键。合理的库存管理不仅能够有效降低运营成本,还能确保在需求波动或供应链不确定性的情况下,维持稳定的商品供应。为了实现这一目标,常用的库存管理概念包括安全库存经济订货量(EOQ)  和 再订货点(ROP) 。这些概念相辅相成,帮助企业在保持合理库存的同时,避免缺货和过量库存的风险。下面介绍几种核心的模型与公式。

一、安全库存

安全库存的计算公式是用于在库存管理中应对需求或供货不确定性的情况,以确保在供应周期内不会发生缺货。它的主要作用是降低供应链中的风险,确保企业能够在交货期内满足客户需求。安全库存的公式主要根据需求的波动性和供应周期的长短来计算。

安全库存的主要计算公司有三种:

1.需求变化,交期固定

最常用的安全库存公式如下: 

图片

Z: Z 值,表示服务水平对应的正态分布中的 Z 分数。常见的服务水平 90% 对应的 Z 值为 1.28,95% 对应的 Z 值为 1.65,99% 对应的 Z 值为 2.33。较高的 Z 值对应较高的服务水平(例如,服务水平 99% 对应 Z 值 2.33),意味着企业希望更低的缺货风险,因此需要更高的安全库存。

σ(d): 需求的标准差,表示在某一周期内(通常是每天)的需求波动性。可以根据历史销售数据来计算。需求波动越大,安全库存就越高,以应对不确定的市场需求。

L: 供应周期(Lead Time),即从下单到货品送达所需的时间(通常是天数)。要对L开根号,根号L表示交货周期越长,企业需要的安全库存越多,因为在较长的供应期内,需求波动的累积效应更明显。

举例:假设某超市商品的平均日需求量为 2000 件,标准差为 50 件/天,供应商的交货期为 7 天,超市希望客户服务水平达到 90%。安全库存量应该是多少?

已知:

 服务水平 90% 对应的 Z 值为 1.28(查看标准正态分布表)。

 需求的标准差 σ(d)=50件。

 供应周期 L=7 天。

代入公式:

图片 

因此,超市需要准备约 169 件的安全库存来应对需求波动,确保客户服务水平达到 90%。

2.需求固定,交期变化

在供应商交期存在波动的情况下,安全库存的计算公式为:

图片 

 Z 是服务水平对应的标准正态分布的值。

 σ(lt)是交期的标准差。

 D 是日均需求量(假设为常数)。

举例:供应商的交期服从标准差为2件/天的正态分布,顾客需求为常数,若要客户服务水平达到 90%,安全库存量应该是多少?

带入公式:

 服务水平 90% 对应的 Z 值为 1.28(查看标准正态分布表)。

 交期标准差 σ(lt)=2件/天。

 D假设40件。

图片 

取整,安全库存为 102 件。

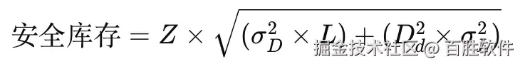
3.需求变化,交期变化

当顾客需求和供应商交期都存在不确定性时,安全库存的计算公式为:

图片 

举例:供应商的交期服从标准差为2件/天的正态分布,顾客需求为50件/天的正态分布,若要客户服务水平达到 90%,安全库存量应该是多少?

其中:

 Z=1.28:代表 90% 服务水平的 Z 值。

 σ(d)=10:顾客日需求量的标准差。

 L=7:供应商的平均交货期。

 D=50:日均需求量。

 σ(2)=2:供应商交期的标准差。

代入公式:

图片 

图片 

取整,安全库存量为 132 件

二、再订货(补货)

举例直接上干货,某超市销售一款牛奶,年需求量为 12,000 箱,每次下订单的固定成本为 500 元,每箱牛奶的持有成本为 2 元/年。供应商的交货期为 7 天,日均需求量为 40 箱,顾客需求服从正态分布,且供应商交货时间稳定,超市期望的客户服务水平为 90%

1.EOQ(Economic Order Quantity)

经济订货量是一种经典的库存管理模型,用于确定每次订货的最佳数量,以使总成本(包括订货成本和持有成本)最小化。EOQ 的计算考虑了企业每次订货的固定成本和持有库存的成本,通过数学模型找到两者的平衡点。在实践中,EOQ 可以帮助企业以最低的库存成本满足需求,尤其在需求稳定且订货成本和持有成本已知的情况下。

公式为:

图片 

其中:

 D:年需求量(12,000 箱/年)。

 S:每次订货成本(500 元/次)。

 H:单位持有成本(2 元/箱/年)。

代入数据:

图片 

四舍五入后,最佳订货量为 2,450 箱。这意味着超市每次下订单时,应该订购 2,450 箱牛奶,以便将库存管理中的总成本最小化。

2.再订货点(补货点,Reorder Point)

再订货点是指库存量下降到某一临界水平时,企业需要向供应商发出新的订单,以确保在供应商交货期内不会出现缺货。ROP 的计算不仅取决于日均需求量,还与供应商的交货期和需求的波动有关。在再订货点的管理中,考虑到供应商交货的不确定性,通常需要结合安全库存,以防止在交货期间库存用尽。

公式为:

图片 

其中:

 D:日需求量(40 箱/天)。

 L:交货期(7 天)。

 安全库存:用于应对需求波动或交货延迟。假设需求标准差 σ(d)=10,并希望达到 90% 的服务水平,查标准正态分布表得 Z≈1.28。

安全库存公式为:

图片 

取整,安全库存为 34 箱

再订货点为:

图片 

这意味着,当库存降到 314 箱 时,超市应该发出新的订单,以确保在供应商交货的 7 天内,库存不会耗尽。

总结

安全库存是企业面对需求或供应不确定性时的缓冲库存,确保企业能够维持高客户服务水平。

经济订货量(EOQ帮助企业确定每次采购的最佳数量,以平衡订货成本和持有成本,达到成本最小化。

再订货点(ROP)是企业发出新订单的触发点,结合日均需求、供应商交货期以及安全库存来避免缺货风险。

通过合理运用这三种概念,企业可以在成本控制和客户服务水平之间取得最佳平衡,有效提升库存管理的效率和精确性。