基于混沌序列和小波变换层次化编码的遥感图像加密算法matlab仿真

57 阅读1分钟

1.程序功能描述 基于小波变换层次化编码的遥感图像加密算法matlab仿真。分析加解密处理后图像的直方图,相关性,熵,解密后图像质量等。

2.测试软件版本以及运行结果展示 MATLAB2022A版本运行

1.jpeg

2.jpeg

3.jpeg

4.jpg

3.核心程序

`im=imread('images\1.jpg'); im1=rgb2gray(im);%图像灰度化

Image_RGB = im1;

figure; subplot(221); imshow(Image_RGB);title('原图'); subplot(222); imhist(Image_RGB);title('原图直方图'); %Encryption N = 7; X0_dwt = func_wavelet1(Image_RGB,N,1);

%Decryption %Decryption

% X0_idwt = func_wavelet2(X0_dwt,N,1);

subplot(223); imshow(X0_dwt);title('加密图');

subplot(224); imhist(X0_dwt);title('加密图直方图'); `

4.本算法原理 基于小波变换层次化编码的遥感图像加密算法,其主要结构如下图所示:

31d1ff5bf8efe0738716c1cbc2f3101e_watermark,size_14,text_QDUxQ1RP5Y2a5a6i,color_FFFFFF,t_100,g_se,x_10,y_10,shadow_20,type_ZmFuZ3poZW5naGVpdGk=.png

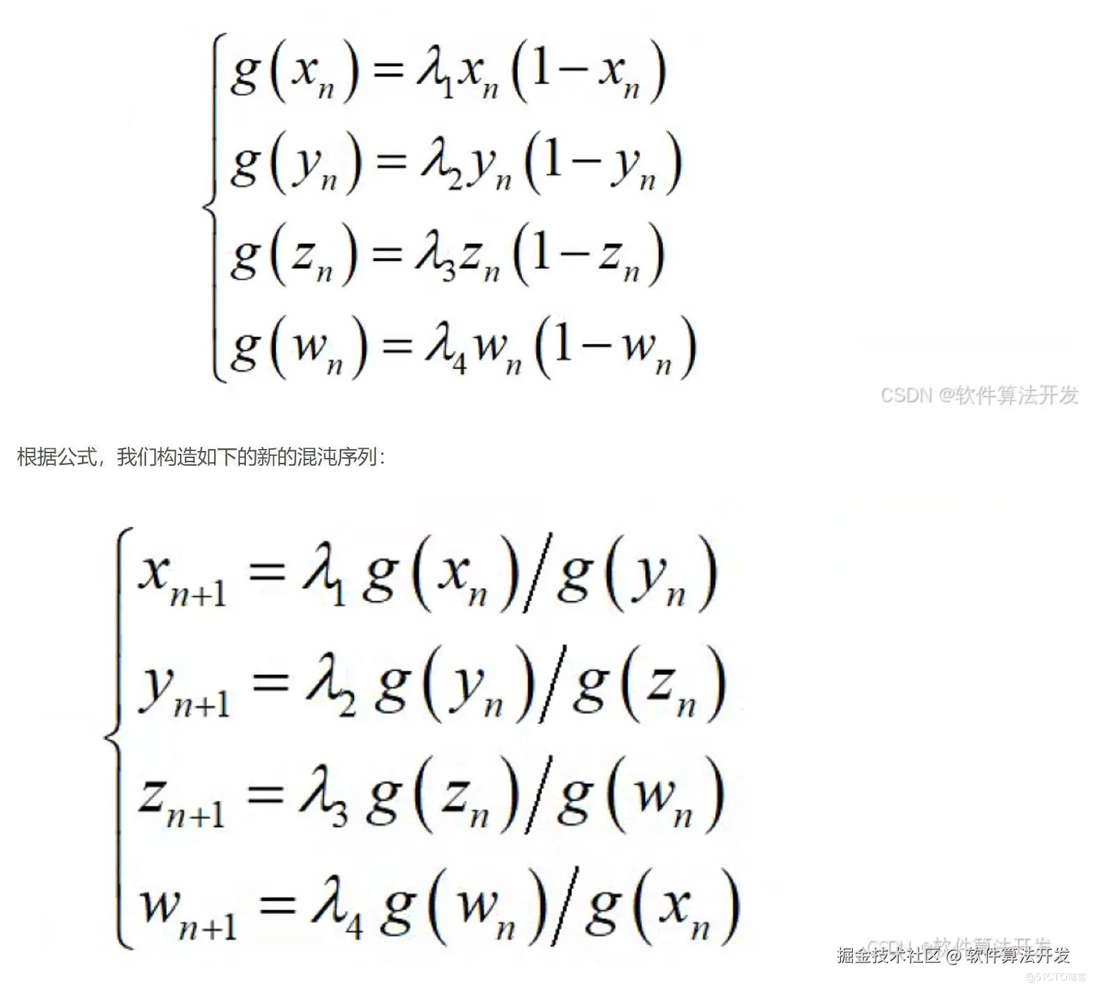
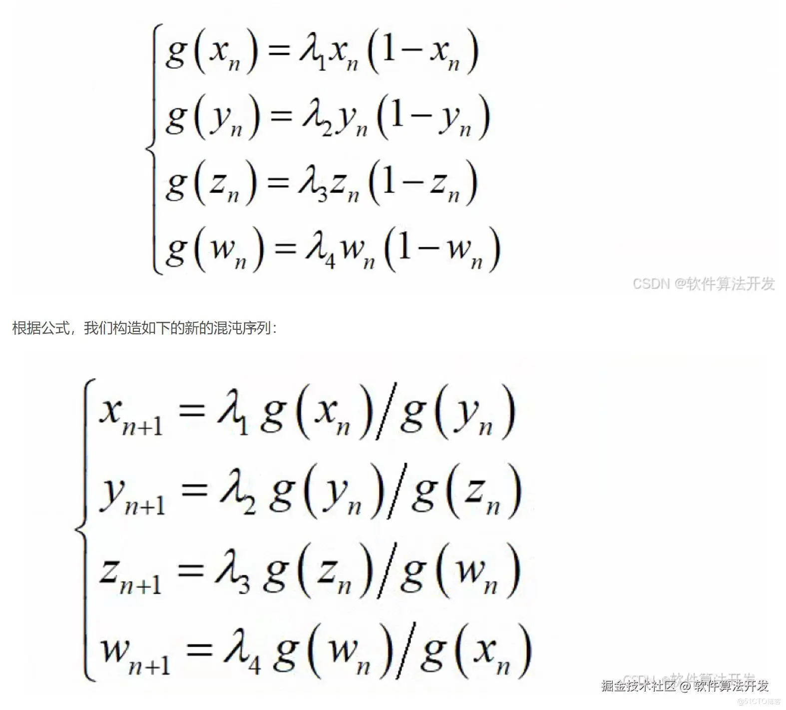
   在完成小波变换之后,我们分别对小波变换后得到的LL,LH,HL以及HH进行混沌加密,这里,我们选择四个不同参数下的Logisitic混沌映射分别对LL,LH,HL以及HH进行加密。四个不同参数下的Logisitic混沌映射可以表示为:

8e869e57919ec194e87ccaf24bcb92e3_watermark,size_14,text_QDUxQ1RP5Y2a5a6i,color_FFFFFF,t_100,g_se,x_10,y_10,shadow_20,type_ZmFuZ3poZW5naGVpdGk=.jpg

    然后,通过上述公式的Logistic混沌系统分别对图像进行置乱和扩散处理。在遥感图像的置乱阶段,我们通过混沌序列对遥感图像的的像素进行置乱处理,我们根据公式,并对其进行离散处理,得到如下计算公式:

image.png

   在对加密遥感图像进行解密时,根据相同的密钥信息 进行反向扩散操作和置乱操作,就可以完成遥感图像的解密操作,从而得到原始的遥感图像数据。