广东财经大学考研初试数据结构历年真题分类参考答案:树

66 阅读3分钟

选择题

[2024年第3题]. C

[2023年第6题]. D

[2022年第7题]. A

[2022年第8题]. C

[2022年第9题]. C

[2021年第7题]. D

[2021年第8题]. D

[2021年第9题]. C

[2021年第10题]. B

[2021年第15题]. C

[2020年第7题]. C

[2019年第7题]. C

[2019年第8题]. C

填空题

[2021年第3题]. 前序、中序或者中序、后序

[2021年第6题]. 16 31

[2021年第7题]. 链式 顺序

[2021年第8题]. 384 12

[2019年第4题]. 107

[2019年第5题]. return NodeCount(T->lchild) + NodeCount(T->rchild)+1

名词解释

[2022年第8题]. 平衡树是一颗空树或者是一颗任意节点的左右子树的最大高度差为1的二叉排序树。

[2020年第9题]. 将二叉树的左右空链域指向某种遍历方式(例如:前序,中序,后序遍历)得到的前驱节点和后驱节点的过程。

简答题

[2023年第1题].

(1)、终止条件 递归部分

(2)、遍历二叉树,并且在遍历过程中,得到所有data为偶数的顶点的data字段总和;如果顶点的data字段为单数,顶点的data加10后再打印该值。

递归终止条件:T为NULL。

(3)、

27	33	25	29	31
60

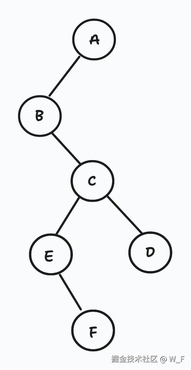
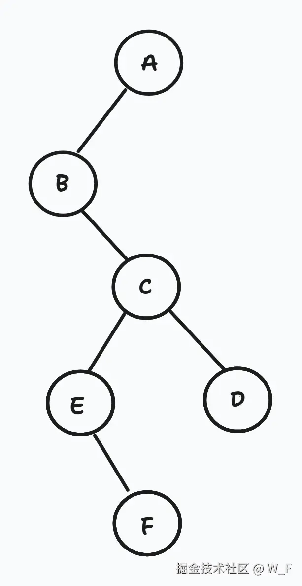
[2023年第2题].

(1)、DGEBHKFCA

(2)、

DataStructure-GDEF_PostGraduate_Exam_2023_2_2 .png (3)、

DataStructure-GDEF_PostGraduate_Exam_2023_2_3.png [2022年第1题]

(1)、

DataStructure-GDEF_PostGraduate_Exam_2022_3_1_1 .png

(2)、

DataStructure-GDEF_PostGraduate_Exam_2022_3_1_2.png

[2022年第4题].

(1)、

DataStructure-GDEF_PostGraduate_Exam_2022_3_4_1.png

(2)、

DataStructure-GDEF_PostGraduate_Exam_2022_3_4_2.png

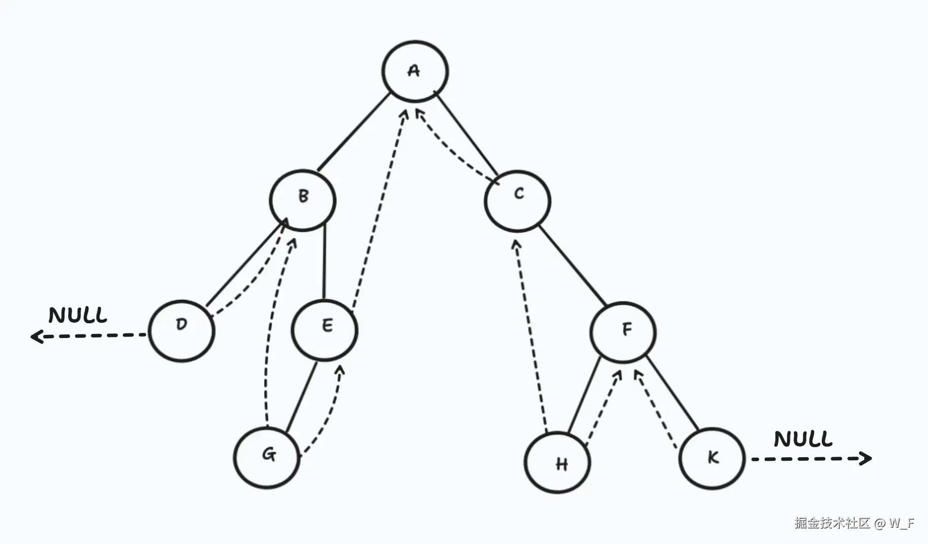
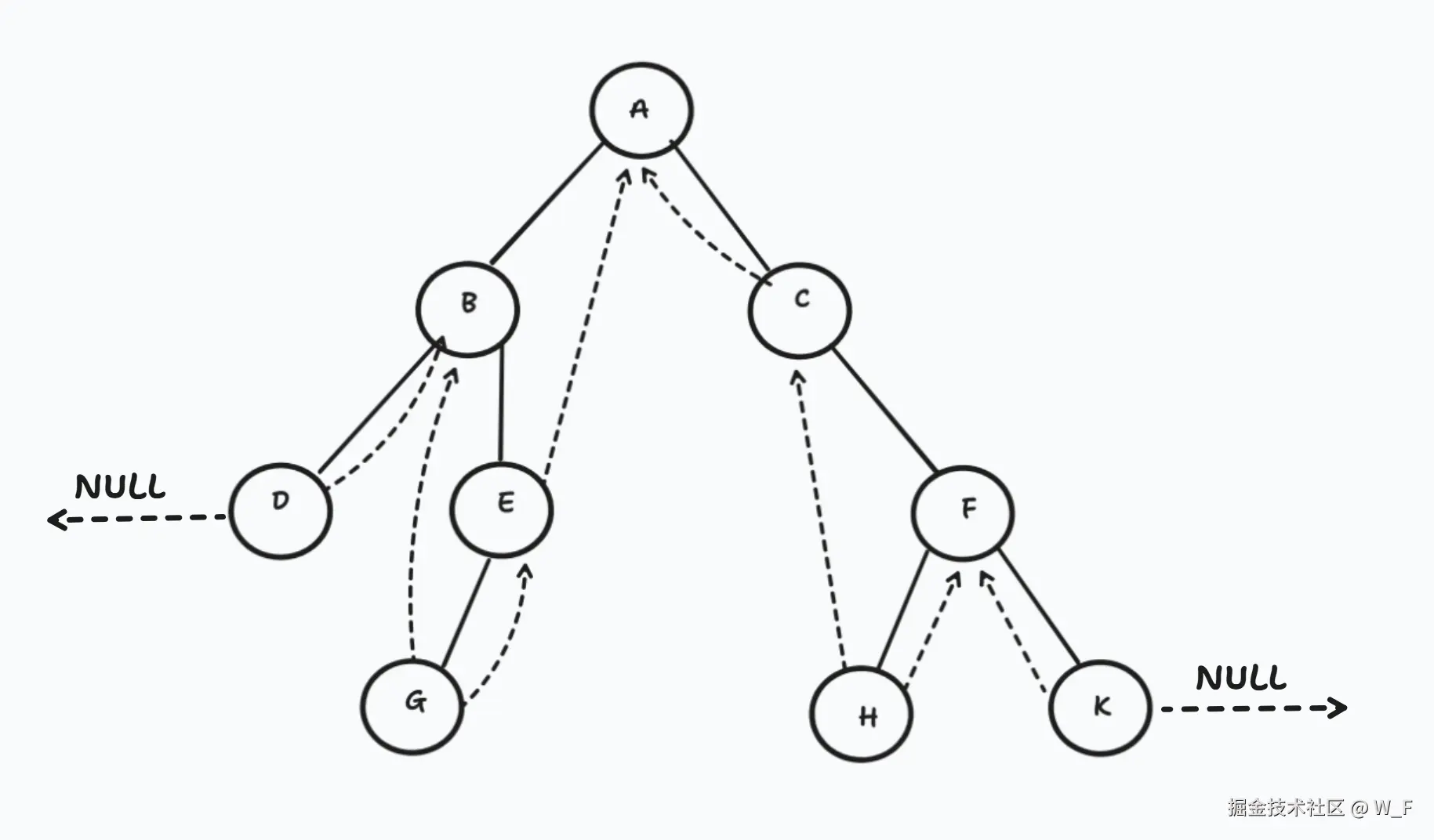
[2021年分析计算题第1题].

(1)、ABDECFGHK

(2)、

DataStructure-GDEF_PostGraduate_Exam_2021_3_1_2.png (3)、 DataStructure-GDEF_PostGraduate_Exam_2021_3_1_3.png [2021年分析计算题第3题].

(1)、前序遍历二叉链表并输出结点的值,通过m记录二叉链表中结点的数量,n记录叶子结点的数量。

(2)、

T->A:m=1,n=0
T->B:m=2,n=0
T->D:m=3,n=1
T->C:m=4,n=2
x=4,y=1

(3)、9

[2020年第1题].

(1)、

DataStructure-GDEF_PostGraduate_Exam_2020_3_1_1 .png

(2)、

DataStructure-GDEF_PostGraduate_Exam_2020_3_1_2.png [2020年第2题].

(1) DataStructure-GDEF_PostGraduate_Exam_2020_3_2_1 .png (2)、

C:1110
A: 0
S: 1111
T: 110
E: 10

(3)、EATA

(4)、

8+6*2+5*3+3*4+4*4=28+35=63

[2019年第1题].

(1)、

DataStructure-GDEF_PostGraduate_Exam_2020_3_1_1 .png

(2)、 DataStructure-GDEF_PostGraduate_Exam_2019_3_1_2.png (3)、 DataStructure-GDEF_PostGraduate_Exam_2020_3_1_2.png

[2019年第2题].

(1)、假设这8个字母分别为A,B,C,D,E,F,G,H。

A:111 10
B:110
C:111 110 0
D:111 111
E:0
F:111 110 1
G:10
H:111 0

(2)、

A:5*0.07=0.35
B:3*0.19=0.57
C:7*0.02=0.14
D:6*0.06=0.36
E:1*0.32=0.32
F:7*0.03=0.21
G:2*0.21=0.42
H:4*0.10=0.40
//平均长度=0.35+0.57+0.14+0.36+0.32+0.21+0.42+0.40=2.77
A:3*0.07=0.21
B:3*0.19=0.57
C:3*0.02=0.06
D:3*0.06=0.18
E:3*0.32=0.96
F:3*0.03=0.09
G:3*0.21=0.63
H:3*0.10=0.30
平均长度=3.0

(3)、

特点:

  • 是最优前缀编码。
  • 允许对不同字符用不等长的二进制位表示。
  • 不唯一。

目标:

  • 最小化平均编码长度,从而压缩数据。

编程题

[2022年第4题]

(1)front!=rear
(2)Queue[rear]=b->Left
(3)Queue[rear]=b->Right
(4)ABDGECFH
(5)先序遍历二叉树

[2020年第2题]

void preOrder(BiTree root, int &cnt) {	//按照先序遍历思路,cnt统计叶子结点数
    if(root == NULL) return;
    if(root->lchild == NULL && root->rchild == NULL) {
        cnt++;
        return;
    }
    preOrder(root->lchild, cnt);
    preOrder(root->rchild, cnt);
}