经典ReLU回归!重大缺陷「死亡ReLU问题」已被解决

102 阅读7分钟

前言 本文让 ReLU 在保持原始前向行为的同时,避免梯度为零的问题,从而复活死神经元。

欢迎关注公众号CV技术指南,专注于计算机视觉的技术总结、最新技术跟踪、经典论文解读、CV招聘信息。

本文转载自机器之心

仅用于学术分享,若侵权请联系删除

CV方向的准研究生们,未来三年如何度过?

招聘高光谱图像、语义分割、diffusion等方向论文指导老师

在深度学习领域中,对激活函数的探讨已成为一个独立的研究方向。例如 GELU、SELU 和 SiLU 等函数凭借其平滑梯度与卓越的收敛特性,已成为热门选择。

尽管这一趋势盛行,经典 ReLU 函数仍因其简洁性、固有稀疏性及其他优势拓扑特性而广受青睐。

然而 ReLU 单元易陷入所谓的「死亡 ReLU 问题」, 一旦某个神经元在训练中输出恒为 0,其梯度也为 0,无法再恢复。 这一现象最终制约了其整体效能,也是 ReLU 网络的重大缺陷

正是死亡 ReLU 问题催生了大量改进的线性单元函数,包括但不限于:LeakyReLU、PReLU、GELU、SELU、SiLU/Swish 以及 ELU。这些函数通过为负预激活值引入非零激活,提供了不同的权衡。

本文,来自德国吕贝克大学等机构的研究者引入了一种新颖的方法:SUGAR(Surrogate Gradient for ReLU),在不牺牲 ReLU 优势的情况下解决了 ReLU 的局限性。即前向传播仍使用标准 ReLU(保持其稀疏性和简单性),反向传播时替换 ReLU 的导数为一个非零、连续的替代梯度函数(surrogate gradient)。

这样可以让 ReLU 在保持原始前向行为的同时,避免梯度为零的问题,从而复活死神经元。

基于此,本文还设计了两种新型替代梯度函数:B-SiLU(Bounded SiLU)、 NeLU(Negative slope Linear Unit),可以无缝集成到各种模型中。

本研究的进一步贡献如下:

  • 本文对 VGG-16 和 ResNet-18 进行了全面的实验,表明 SUGAR 显著增强了这两种架构的泛化能力。
  • 本文在 Swin Transformer 和 Conv2NeXt 等现代架构上对 SUGAR 进行了评估,展示了其适应性和有效性。
  • 对 VGG-16 层激活的深入分析表明,当应用 SUGAR 时,激活分布发生了明显的变化,为其在缓解消亡 ReLU 问题中的作用提供了直观证据,同时促进了更稀疏的表示。

SUGAR 方法易于实现,并在前向传播中始终采用 ReLU 激活函数。与所提出的 B-SiLU 替代函数结合使用时,VGG-16 在 CIFAR-10 和 CIFAR-100 数据集上的测试准确率分别提升了 10 个百分点和 16 个百分点,而 ResNet-18 与未使用 SUGAR 的最佳模型相比,分别提升了 9 个百分点和 7 个百分点。

SUGAR 介绍

本文提出的方法将 FGI ( Forward gradient injection )应用于具有平滑替代函数的 ReLU 网络中。在 SUGAR 框架下, FGI 可以表示为:

该公式实现了梯度注入,并确保即使对于负激活也能进行梯度传播。具体来说,利用 [34] 中的乘法技巧,替代梯度函数的直接注入如下:

替代函数的选择具有灵活性,可兼容当前最先进的各类激活函数,例如 ELU、GELU、SiLU、SELU 以及 Leaky ReLU(见图 8)。

关键区别在于,与 ReLU 不同,这些候选替代函数均具有一个共同特征:对负输入(x < 0)能产生非零梯度。虽然这些函数为负激活提供了梯度流通路径,但前向传播及后续损失计算仍严格依赖 x > 0 时的激活输出。

在初步研究中,本文意识到需要调整当前的激活函数以适应 SUGAR 的特定用途。因此,接下来本文提出了两个与这些设置良好匹配的新替代函数。

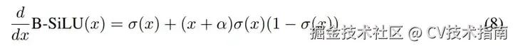
B-SiLU:引入了一种名为 B-SiLU(Bounded Sigmoid Linear Unit) 的新型激活函数,它结合了自门控特性和可调下限参数。从数学上讲,该函数可以表示为:

B-SiLU 激活函数的导数为:

图 8 中可视化了 B-SiLU 及其导数。

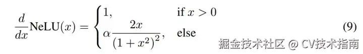
NeLU:本文进一步引入了 NeLU(Negative slope Linear Unit),作为 ReLU 的平滑导数替代品。

最终的梯度如图 1 所示。

实验

总体而言,与 ReLU 基线相比,SUGAR 结合 ELU、SELU 以及特别是 B-SiLU 获得了最大的提升,而 LeakyReLU 和 NeLU 则始终表现不佳(见图 2)。在 CIFAR-10 数据集上使用 ResNet-18 作为骨干网络时,B-SiLU 的性能从 76.76% 提升到 86.42%,得益于 SUGAR。VGG-16 也表现出类似的效果:B-SiLU 将测试精度提高了近 10 个百分点(从 78.50% 提升到 88.35%)。

在 CIFAR-100 数据集上,SUGAR 结合 B-SiLU 的优势更加明显:ResNet-18 的准确率从 48.99% 跃升至 56.51%,VGG-16 的准确率从 48.73% 提升至 64.47%(见图 3)。同样,Leaky ReLU 和 NeLU 仅显示出微小的甚至是负的提升(例如 ResNet-18 上的 43.67% → 43.41%)。

总的来说,B-SiLU 在不同架构和数据集上均优于其他替代激活函数,ELU 和 SELU 能够提供可靠的改进,而在这种设置下,SUGAR 从 Leaky ReLU 和 NeLU 中并未获得有意义的益处。

当应用于 Conv2NeXt 时,如表 1 所示,SUGAR 在前向和反向传播过程中均始终优于使用 GELU 的基础模型。

了解更多内容,请参考原论文。

欢迎关注公众号CV技术指南,专注于计算机视觉的技术总结、最新技术跟踪、经典论文解读、CV招聘信息。

计算机视觉入门1v3辅导班

【技术文档】《从零搭建pytorch模型教程》122页PDF下载

QQ交流群:470899183。群内有大佬负责解答大家的日常学习、科研、代码问题。

其它文章

分享一个CV知识库,上千篇文章、专栏,CV所有资料都在这了

明年毕业,还不知道怎么做毕设的请抓紧机会了

LSKA注意力 | 重新思考和设计大卷积核注意力,性能优于ConvNeXt、SWin、RepLKNet以及VAN

CVPR 2023 | TinyMIM:微软亚洲研究院用知识蒸馏改进小型ViT

ICCV2023|涨点神器!目标检测蒸馏学习新方法,浙大、海康威视等提出

ICCV 2023 Oral | 突破性图像融合与分割研究:全时多模态基准与多交互特征学习

听我说,Transformer它就是个支持向量机

HDRUNet | 深圳先进院董超团队提出带降噪与反量化功能的单帧HDR重建算法

南科大提出ORCTrack | 解决DeepSORT等跟踪方法的遮挡问题,即插即用真的很香

1800亿参数,世界顶级开源大模型Falcon官宣!碾压LLaMA 2,性能直逼GPT-4

SAM-Med2D:打破自然图像与医学图像的领域鸿沟,医疗版 SAM 开源了!

GhostSR|针对图像超分的特征冗余,华为诺亚&北大联合提出GhostSR

Meta推出像素级动作追踪模型,简易版在线可玩 | GitHub 1.4K星

CSUNet | 完美缝合Transformer和CNN,性能达到UNet家族的巅峰!

AI最全资料汇总 | 基础入门、技术前沿、工业应用、部署框架、实战教程学习

计算机视觉入门1v3辅导班

计算机视觉交流群