【84.删除排序链表中的重复元素】

47 阅读1分钟

题目

给定一个已排序的链表的头 head , 删除所有重复的元素,使每个元素只出现一次 。返回 已排序的链表 。

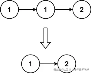
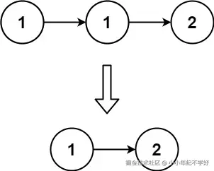
示例 1:

输入: head = [1,1,2]
输出: [1,2]

题解

方式一:双指针

public ListNode deleteDuplicates(ListNode head) {
    if (head == null || head.next == null) return head;
    ListNode dummy = new ListNode(-1, head);
    ListNode pre = head;
    ListNode cur = head;
    while (cur != null) {
        if (cur.val != pre.val) {
            pre.next = cur;
            pre = pre.next;
        }
        cur = cur.next;
    }
    pre.next = cur;
    return dummy.next;
}

方式二:迭代

public ListNode deleteDuplicates(ListNode head) {
    if (head == null || head.next == null) return head;
    ListNode cur = head;
    while (cur.next != null) {
        if (cur.val == cur.next.val) {
            cur.next = cur.next.next;
        } else {
            cur = cur.next;
        }
    }
    return head;
}

总结

算法:双指针迭代