【85.移除链表元素】

79 阅读1分钟

题目

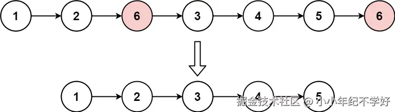
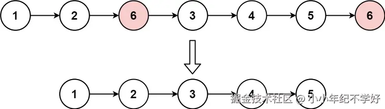
给你一个链表的头节点 head 和一个整数 val ,请你删除链表中所有满足 Node.val == val 的节点,并返回 新的头节点 。

 

示例 1:

输入: head = [1,2,6,3,4,5,6], val = 6
输出: [1,2,3,4,5]

题解

方式一:迭代

public ListNode removeElements(ListNode head, int val) {
    ListNode dummy = new ListNode(0, head);
    ListNode cur = dummy;
    while (cur.next != null) {
        if (cur.next.val == val) {
            cur.next = cur.next.next;
        } else {
            cur = cur.next;
        }
    }
    return dummy.next;
}

方式二:递归

public ListNode removeElements(ListNode head, int val) {
    if (head == null) {
        return null;
    }
    head.next = removeElements(head.next, val);
    return head.val == val ? head.next : head;
}

总结

算法:迭代递归