计算机组成之cpu,内存,io等知识点

98 阅读5分钟

cpu的组成

运算器,控制器,寄存器和内部总线等部件组成

运算器

控制器

储存

内存:

DRAM就是内存条,SRAM就是硬盘 EEPROM就是u盘

存取方式有两种,一种是按内容读取,2的是按地址存取

存储例题

内存条 b是磁盘d是u盘

cache

首先寄存器访问cache没有就继续访问主存

如果h是表示的cache访问命中率那么主存的命中率为1-h t2是主存周期时间是t2 t1是缓存时间的话

总的就是t3=h*t1+(1-h)t2

cache

直接相联映像:

所有的主存的0页只能放到cache的0页来,会有冲突

全相联映像:

会等cache放满之后才会有冲突,缺点就是设计困难

组映像相联:

把主存的多个页分成一组,对cache进行直接相联

然后每个组里面的页是进行全相联,就是会等cache一个组里面满了才会冲突

cache总结:

例题:

A

主存编制:

存储单元

存储空间等于(存储地址相减再加上1)* 一行

一般以一个字节为存储空间的话就是,8个bit

例题:

先算出两个地址值的长度为A0000H-CFFFFH=30000H,因为是按照的是字节为单位所以一行等等于8个bit

所以总共有 30000H8=3(16的四次方)8=1024192=192kb

除以64等于3

选D B

IO

IO传输控制方式:

程序控制查询方式(效率低),程序中断方式,DMA方式

中断处理过程:

1.不需要查询io状态。

2.向cpu发送中断信号

3.通过中断向量表保存中断信息

4.后面返回被打断的程序,继续执行

程序首先受到命令中断,就把数据存放到向量表里面,然后执行完别的再从向量表里面执行需要执行的程序

例题

B

BC

总线:

含义

链接各个cpu内存等之间的内部结构

分类

可以分为数据总线,控制总线,地址,指令总线

按照链接对象可以分为外总线(通信总线)和内总线(系统总线)

按照通信方式可以分串行总线和并行总线,并行主线就是说两个之间不只一个通道可能有多个

顾名思义

例题

B内部总线,不用于外面

寻址方式:

指令由操作码字段和地址码字段组成

生命周期:取指,分析和执行

在执行指令的过程中会根据时序部件发出的时钟信号进行操作。

在取指令阶段读取的是指令,在分析和执行阶段如果需要操作数,就读取操作数

寻址方式

立即寻址:

操作数直接在指令当中,优点是速度快,灵活性差

直接寻址:

指令存放的是操作数的地址

间接寻址方式:

指令中存放了一个地址,这个地址对应的内容也是地址

寄存器寻址:

指令存放的是寄存器的地址,优点就是效率高,但是因为是在寄存器中,不能存放太多

寄存器间接寻址:

例题

寄存器寻址速度快与直接寻址,因为直接寻址是在主存,寄存器速度快于主存

cisc/risc 复杂指令系统/精简指令系统

精简指令系统/复杂指令系统

复杂指令系统:

数量多,使用频率差别大,可变长格式,支持多种寻址方式,研制周期长

精简指令系统:

直接操作寄存器,速度快,数量少,使用频率接近,定长

不能直接操作内存,需要使用别人操作内存,寻址方式少

例题

A

流水线技术

一条指令有三步的话,串行处理会导致处理速度很慢

并行就不会了,相当于第1个指令在分析的时候,第二个可以进行取指

几个指令时间等于,第一条运行的时间,加上(指令数-1)*最大指令的时间

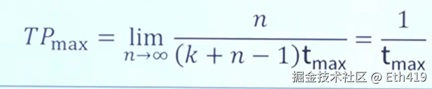
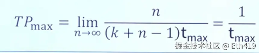
吞吐率:指令个数/流水执行时间

最大吞吐率: 指令个数/流水执行时间

k是指令有多少个步骤 相当于是k*Tmax 就是等于第一步花的时间(因为用最大步骤时间,所以时间稍微会大一点)

总共算出来的就是第一个指令时间加上后面(n-1)*三个步骤中其中一个步骤执行的最大时间=流水执行时间

例题:

90 流水线周期为4t 全部执行完需要45t 吞吐率:10/(9t+(10-1)*4t) =10/45t

最大吞吐率为

1/4t

A

D 405

时间是 第一条指令时间加上步骤最长时间*(指令数-1)=(4+3+2)+4t*(100-1)=405

可靠性(考的少)

简单记忆:靠运维 FB1 就是对应的字母

细节:有b就是用

给出证明是串行

给出是并行

可靠性计算

加入R的可考率为R(串行加并行)

例题

D