比Gemini Diffusion更全能!首个多模态扩散大语言模型MMaDA发布,同时实现强推理与高可控性

365 阅读5分钟

近年来,大型语言模型(LLM)在多模态任务中展现出强大潜力,但现有模型在架构统一性与后训练(Post-Training)方法上仍面临显著挑战。

传统多模态大模型多基于自回归(Autoregressive)架构,其文本与图像生成过程的分离导致跨模态协同效率低下,且在后训练阶段难以有效优化复杂推理任务。

DeepMind 近期推出的 Gemini Diffusion 首次将扩散模型(Diffusion Model)作为文本建模基座,在通用推理与生成任务中取得突破性表现,验证了扩散模型在文本建模领域的潜力。

在此背景下,普林斯顿大学与字节 Seed、北大、清华等研究团队合作提出了 MMaDA(Multimodal Large Diffusion Language Models),作为首个系统性探索扩散架构的多模态基础模型,MMaDA 通过三项核心技术突破,成功实现了文本推理、多模态理解与图像生成的统一建模。

团队已经开源训练、推理、MMaDA-8B-Base 权重和线上 Demo,后续还将开源 MMaDA-8B-MixCoT 和 MMaDA-8B-Max 权重。

性能表现与跨任务协同

MMaDA 在三大任务中实现 SOTA 性能:

  • 文本推理:MMLU 准确率 68.4%,超越 LLaMA-3-8B、Qwen2-7B、LLaDA-8B;目前所有的统一理解与生成模型都不支持文本的强推理,MMaDA 首次在多模态任务中保持了文本的建模能力,实现真正意义上的统一基座模型。

  • 多模态理解:在 POPE(86.1 vs 85.9)、VQAv2(76.7 vs 78.5)等基准上与 LLaVA、Qwen-VL 等专用模型持平;

  • 图像生成:CLIP Score 达 32.46,较 SDXL、Janus 等模型提升显著,在文化知识生成任务(WISE)中准确率提升 56%。图像生成任务里,首次对比了统一多模态大模型在含有世界知识(World Knowledge)的文生图任务上的表现,如下图所示:

跨任务协同效应

如下图所示,在混合训练阶段(130K-200K 步),文本推理与图像生成指标同步上升。例如,模型在解决复杂几何问题和生成图像的语义准确性上显著提高,证明了以扩散模型作为统一架构的多任务协同效应。

任务泛化

扩散模型的一个显著优势在于其无需额外微调即可泛化到补全(Inpainting)与外推(Extrapolation)任务上。MMaDA 支持三类跨模态的补全任务:

  • 文本补全:预测文本序列中的缺失片段。

  • 视觉问答补全:基于不完整图文输入生成完整答案。

  • 图像补全:根据局部视觉提示重建完整图像。

这些案例充分展现了统一扩散架构在复杂生成与推理任务中的灵活性与泛化能力。

关键技术解析

训练与测试框架如下:

  • 统一扩散架构(Unified Diffusion Architecture)

MMaDA 的核心架构突破在于将文本与图像的生成过程统一到扩散框架中:

  • 数据表征:文本使用 LLaMA 的 Tokenizer,图像采用 MAGVIT-v2 的 Tokenizer,将 512×512 图像转化为 1024 个离散 Token;

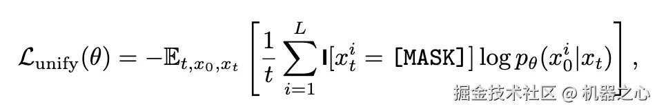
  • 扩散目标:定义统一掩码预测损失函数,通过随机掩码同步优化文本与图像的语义恢复能力。例如,在预训练阶段,模型需根据部分掩码的 Token 序列预测缺失内容,无论输入是文本段落还是图像块。

这种设计消除了传统混合架构(如 AR+Diffusion)的复杂性,使模型在底层实现跨模态信息交互。

  • 混合长链思维微调(Mixed Long-CoT Finetuning)

为解决复杂任务中的冷启动问题,MMaDA 提出跨模态混合 CoT 的微调策略:

  • 统一推理格式:定义特殊标记结构 <think>推理过程</think>,强制模型在生成答案前输出跨模态推理步骤。例如,在处理几何问题时,模型需先解析图形关系,再进行数值计算;

  • 数据增强:利用 LLM/VLM 生成高质量推理轨迹,并通过验证器筛选逻辑严谨的样本。文本数学推理能力的提升可直接改善图像生成的事实一致性(如正确生成「北极最大陆生食肉动物——北极熊」)。

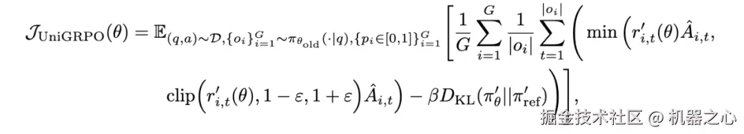
  • 统一策略梯度优化(UniGRPO 算法)

针对扩散模型强化学习的三大难点——局部掩码依赖、掩码比例敏感性与非自回归特性,MMaDA 提出创新解决方案:

  • 结构化噪声策略:对答案部分随机采样掩码比例(如 30%-70%),保留问题部分完整。这种设计模拟多步去噪过程,避免之前方法(如 d1)的全掩码导致的单步预测偏差;

  • 多样化奖励建模:针对不同任务设计复合奖励函数。例如在图像生成中,CLIP Reward 衡量图文对齐度,Image Reward 反映人类审美偏好,二者以 0.1 系数加权融合。

如下图所示,UniGRPO 在 GSM8K 训练中使奖励值稳定上升,相较基线方法收敛速度提升 40%。这得益于 UniGRPO 对扩散模型多步生成特性的充分适配。

主要作者介绍

杨灵:普林斯顿大学 Research Fellow,北京大学博士,研究方向为大语言模型、扩散模型和强化学习。

田野:北京大学智能学院博士生,研究方向为扩散模型、统一模型及强化学习。

沈科:字节跳动 Seed 大模型团队的 AI 研究员,研究方向为大语言模型预训练和统一学习范式。

童云海:北京大学智能学院教授,研究领域涵盖多模态大模型、图像 / 视频的生成与编辑。

王梦迪:现任普林斯顿大学电子与计算机工程系终身教授,并创立并担任普林斯顿大学「AI for Accelerated Invention」中心的首任主任。她的研究领域涵盖强化学习、可控大模型、优化学习理论以及 AI for Science 等多个方向。