【Cursor实战】Cursor+两个MCP复刻一个简单的Manus

714 阅读6分钟

前言

前段时间Manus一夜爆火,内测邀请码一度被炒到10万着实令人震惊。对Manus还不了解的小伙伴可以看下面的Manus简介。

对以往实战案例感兴趣的小伙伴也可以看往期:

Cursor版本

当前Cursor版本:0.48.9

Manus简介

Manus是一款由Monica.im团队开发的全球首款通用型AI助手,其核心功能是将用户的思维转化为实际行动,通过多智能体架构和自然语言处理技术实现复杂任务的自动化处理。这款产品于2025年3月正式发布,目前仍处于内测阶段。

官网地址:manus.im/

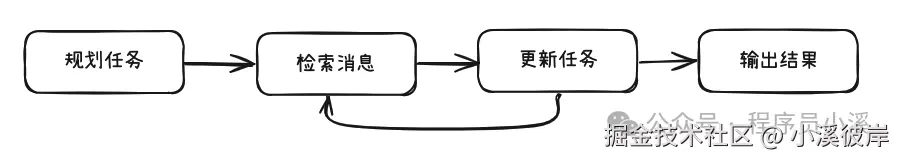
Manus工作流程

官网示例链接:manus.im/share/brWKU…

Manus的工作流程会先分析拆解任务并存入到 todo.md 保存为清单,根据任务清单依次检索信息和更新任务状态,所有任务完都成后输出最终结果

任务流程图大致如下:

借鉴这个思路,我们完全可以通过一个 AI模型+思考规划工具+检索消息工具 工作流程来完成类似任务。

前期准备

这次主要会用到两个MCP,Playwright MCPSequential Thinking MCP

  • Playwright MCP

  • Playwright MCP是微软提供的,Playwright 提供了浏览器自动化功能,让大模型可以像我们一样正常的打开和浏览网页。

  • 这个MCP主要让模型具有浏览器自动化能力

  • Sequential Thinking MCP

  • Sequential Thinking MCP是MCP官方提供的,可以拆解复杂任务,而且随着对任务理解的加深,会修订和精炼内容

  • 这个MCP主要让模型具有任务拆解以及阶段性反思总结的能力

配置Playwright MCP

Playwright MCP默认调用的是Chrome浏览器,如需使用其他浏览器,可以根据Playwright MCP文档配置

Github地址:github.com/microsoft/p…

进入Cursor设置页面找到 MCP,点击【Add new global MCP Server】,打开mcp.json文件配置MCP

{  "mcpServers": {    "playwright": {      "command""npx",      "args": [        "@playwright/mcp@latest"      ]    }  }}

配置完成后等待MCP状态变为绿色即可

配置. MCP

Github地址:github.com/modelcontex…

在Cursor mcp.json 中配置如下:

{  "mcpServers": {    "sequential-thinking": {      "command""npx",      "args": [        "-y",        "@modelcontextprotocol/server-sequential-thinking"      ]    }  }}

配置完成后等待MCP状态变为绿色即可

Cursor开启Auto-Run

在Cursor配置【Features】中找到【Enable auto-run mode】勾选配置,auto-run 配置允许Cursor自动调用工具或执行命令时无需请求权限确认

如果担心全自动模式会出问题 ,可以对一些Command命令进行限制,添加为需要二次确认

使用流程

调研报告

我们可以让Cursor借助 Sequential Thinking MCP 和 Playwright MCP 帮我们做调研工作,规划任务、搜集信息、做总结及报告输出。比如我们让Cursor做一个“MCP的调研报告”,我们可以这样写提示词:

帮我查找mcp相关资料并整理成一份让外行小白也能快速看懂的mcp调研报告,注意遵循以下工作流程:
- 先用`sequential-thinking mcp`进行思考,制定任务规划
- 然后调用`playwright mcp`进行信息查找
- 最后再用`sequential-thinking mcp`检查、总结和输出
- 输出报告使用HTML、TailWindCSS格式输出到`report`文件目录,风格简约,大厂审美

输入提示词后,Cursor调用Sequential Thinking MCP思考、规划任务,接着调用Playwright MCP打开Chrome浏览器进行信息检索

可以看到此时Playwright MCP正在操纵Chrome浏览器查询MCP相关信息

信息收集完成后会再次调用Sequential Thinking MCP进行检查、总结

Cursor限制了工具调用次数,如果提示如下内容,直接继续任务即可

等待Cursor完成任务后,最终输出预览效果如下:

出行规划

使用这个工作流同样可以用来做旅游出行规划,只需对提示词稍做修改

我准备从北京到大理游玩,帮我制定一个3天2晚的旅行计划,过程中不要询问我任何问题,注意遵循以下工作流程:
- 先用`sequential-thinking mcp`进行思考,制定任务规划
- 然后调用`playwright mcp`进行信息查找
- 最后再用`sequential-thinking mcp`检查、总结和输出
- 旅行计划使用HTML、TailWindCSS格式输出到`travel`文件目录,风格简约,大厂审美

输入提示词后,Cursor便会根据提示词要求执行工作流调用

sequential-thinking mcp会对需要进行分析、拆解和执行

在需要收集信息的地方使用Playwright MCP调用Chrome浏览器检索相关消息

工作流执行过程中经常提示如下问题,目前不清楚是不是升级版本的问题

遇到该问题直接输入“继续任务”,让Cursor继续执行

旅行规划输出完成后,双击HTML入口文件在浏览器中打开,最终预览效果如下:

总结

Cursor与MCP的结合无疑可以做更多事情,但一直令人担心的上下文长度问题可能也会如期而至,在使用 Sequential Thinking + Playwright MCP 构建思维链获取信息总结的场景更是会频繁触发,在Cursor中这种MCP强强联合的使用方式是可行的,但是需要更多支持。

常见问题

配置Playwright MCP失败

有时Cursor配置Playwright MCP会出现失败的情况,可以将命令在终端命令行执行看是否有错误

这个问题是由于 @playwright/mcp@latest依赖的zod-to-json-schema版本不对造成的,直接到提示的路径/Applications/MxSrvs/cache/nodejs/_npx/9833c18b2d85bc59/node_modules/ 下将 zod-to-json-schema 删除,再次执行 npx -y @playwright/mcp@latest 尝试

项目地址

项目放到Github了,感兴趣的小伙伴可以自行玩耍

Github地址:github.com/MisterZhouZ…

友情提示

见原文:【Cursor实战】Cursor+两个MCP复刻一个简单的Manus

本文同步自微信公众号 "程序员小溪" ,这里只是同步,想看及时消息请移步我的公众号,不定时更新我的学习经验。