开发也能看懂的大模型:计算学习理论

301 阅读4分钟

计算学习理论(Computational Learning Theory,CLT) 是机器学习的理论基础之一,旨在通过数学模型分析学习算法的性能和可行性。其核心在于研究:机器学习算法如何高效地从有限的数据中归纳出一般规律,并在未知数据上做出良好的预测。


1. 计算学习理论的基本问题

计算学习理论试图回答以下核心问题:

(1) 可学性问题

  • 什么样的问题是“可学习”的?
  • 学习算法是否能够在有限样本内,找到近似正确的模型?

(2) 样本复杂度

  • 需要多少训练样本才能学到一个“足够好”的模型?
  • 如何在有限的数据量下,平衡模型的复杂度和预测性能?

(3) 算法复杂度

  • 学习问题是否可以用有效的算法解决?
  • 学习算法的时间复杂度和空间复杂度如何影响其实际可用性?

(4) 泛化性能

  • 模型在训练数据之外的表现如何?
  • 如何定义和分析算法的泛化误差?

2. 核心理论与概念

(1) 假设空间

  • 定义: 假设空间 H 是所有可能的学习模型集合。
  • 关键问题: 真正的目标函数 f 是否包含在假设空间H 内?

假设空间的大小和表达能力直接影响算法的性能。假设空间过大容易过拟合,过小则可能欠拟合。

(2) PAC 可学习性

PAC(Probably Approximately Correct)是计算学习理论中的核心框架,用于定义“可学习”的数学标准。

  • 目标: 学习器在有限样本内,找到一个近似正确的模型,且错误率 ϵ 在一定概率 1−δ 内可接受。
  • 形式化: 如果存在一个算法 A,对任意的分布 D、任意的 ϵ>0 和 δ>0,能够在多项式时间内找到假设 h∈H,使得:

image.png

  • 则称问题是 PAC 可学习的。

(3) VC 维度(Vapnik-Chervonenkis Dimension)

  • 定义: VC 维度是衡量假设空间复杂度的重要指标,表示假设空间能够“完全分类”的点集最大大小。
  • 作用: VC 维度用于量化模型的表达能力。假设空间的 VC 维度越大,需要的训练样本数量也越多,以避免过拟合。

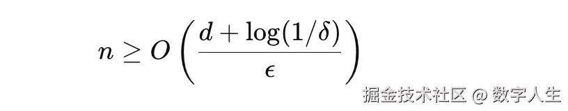
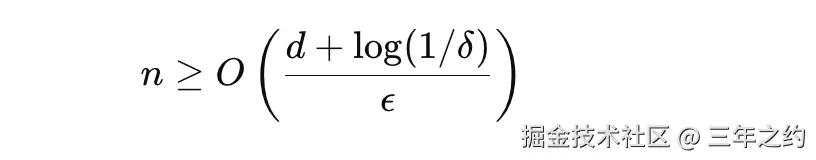
公式: 如果假设空间的 VC 维度为 d,则为了保证泛化误差不超过 ϵ,需要样本数量 n 满足:

image.png

(4) 泛化误差

  • 训练误差: 模型在训练集上的平均损失。
  • 泛化误差: 模型在测试集上的平均损失,反映模型对未见数据的预测能力。

泛化误差分解:

泛化误差=训练误差+过拟合项

过拟合项由模型复杂度和样本数量共同决定。


3. 计算学习理论的重要结果

(1) 无自由午餐定理(No Free Lunch Theorem)

  • 内容: 对所有可能的学习问题,没有一种学习算法能够在所有问题上都表现优异。
  • 意义: 学习算法的选择需要结合具体问题的假设和数据分布。

(2) PAC 学习的充要条件

  • 如果假设空间的 VC 维度有限,且学习算法能够有效搜索假设空间,则问题是 PAC 可学习的。

(3) 样本复杂度下界

  • 学习器需要的最小样本数由假设空间的 VC 维度和泛化误差约束决定。过少的样本会导致欠拟合,而过多样本会增加计算开销。

4. 示例与应用场景

(1) 二分类问题的 PAC 学习

假设二分类问题中,假设空间是所有线性分离器,训练样本是二维平面上的点。

  • VC 维度: 平面上的线性分离器的 VC 维度为 3。

image.png

(2) 支持向量机(SVM)

SVM 的理论基础直接源于计算学习理论,特别是 VC 维度的分析。通过构造一个最大间隔分类器,SVM 优化了泛化误差。

(3) 深度学习中的应用

虽然传统的 VC 维度难以直接用于分析深度学习模型,但类似的复杂度分析(如 Rademacher 复杂度)仍然受到计算学习理论的影响。


5. 总结

计算学习理论为机器学习算法的设计和分析提供了数学工具和理论指导。它明确了算法性能的关键因素(假设空间、样本复杂度、泛化误差),帮助我们在实际应用中平衡模型的复杂性与数据量需求。