1. 题目
描述
给定一棵二叉树,判断其是否是自身的镜像(即:是否对称) 例如: 下面这棵二叉树是对称的
下面这棵二叉树不对称。
数据范围:节点数满足 0≤n≤1000,节点上的值满足∣val∣≤1000
要求:空间复杂度 O(n),时间复杂度 O(n)
备注:
你可以用递归和迭代两种方法解决这个问题
示例1
输入:
{1,2,2,3,4,4,3}
返回值:
true
示例2
输入:
{1,2,2,#,3,#,3}
返回值:
false
示例3
输入:
{8,6,9,5,7,7,5}
返回值:
false
2. 解题思路
判断一颗二叉树是否对称可以采用以下方法:
-
将二叉树复制一份
-
对2颗二叉树进行比较(采用递归方法)
树1的左子树与树2的右子树进行比较;
树1的右子树与树1的左子树进行比较;
当比较结果都为true时,二叉树为对称的二叉树。
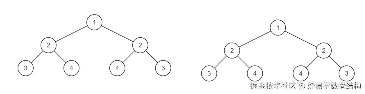
假如要判断的二叉树结构如下图所示:
这样一颗二叉树进行复制,会变成两颗完全一样的二叉树:
先来看看该二叉树是否可以通过递归来判断对称性。
递归的两个条件满足,因此可以通过递归来判断二叉树是否为对称。
对于这两颗二叉树来说,先判断两颗二叉树的节点值是否相等(root1.val是否等于root2.val);再用树1的左子树与树2的右子树进行比较,用树1的右子树与树1的左子树进行比较。因此对应的递推公式如下所示:
有了递推公式,就可以方便的写出对应的代码了。
如果文字描述的不太清楚,你可以参考视频的详细讲解。
- Python版本:www.bilibili.com/cheese/play…
- Java版本:www.bilibili.com/cheese/play…
- Golang版本:www.bilibili.com/cheese/play…
3. 编码实现
核心代码如下:
/**
* 代码中的类名、方法名、参数名已经指定,请勿修改,直接返回方法规定的值即可
*
* @param pRoot TreeNode类
* @return bool布尔型
*/
func isSymmetrical(pRoot *TreeNode) bool {
// write code here
return recursion(pRoot, pRoot)
}
func recursion(root1 *TreeNode, root2 *TreeNode) bool {
// 2. 递归终止条件
// 2.1 递归条件:两个节点都为空,为true
if root1 == nil && root2 == nil {
return true
}
// 2.2 只有一个节点为空,必定不对称
if (root1 == nil && root2 != nil) || (root1 != nil && root2 == nil) {
return false
}
// 1. 问题分解(递推公式)
return (root1.Val == root2.Val) && recursion(root1.Left, root2.Right) && recursion(root1.Right, root2.Left)
}
具体完整代码你可以参考下面视频的详细讲解。
- Python版本:www.bilibili.com/cheese/play…
- Java版本:www.bilibili.com/cheese/play…
- Golang版本:www.bilibili.com/cheese/play…
4.小结
判断二叉树是否为对称,可以采用以下方法:将二叉树复制一份;对2颗二叉树进行比较(采用递归方法),树1的左子树与树2的右子树进行比较,树1的右子树与树1的左子树进行比较,当比较结果都为true时,二叉树为对称的二叉树。
《数据结构与算法》深度精讲课程正式上线啦!七大核心算法模块全解析:
✅ 链表 ✅ 二叉树 ✅二分查找、排序 ✅ 堆、栈、队列 ✅回溯算法 ✅ 哈希算法 ✅ 动态规划
无论你是备战笔试面试、提升代码效率,还是突破技术瓶颈,这套课程都将为你构建扎实的算法思维底座。🔥立即加入学习打卡,与千名开发者共同进阶!
- Python编码实现:www.bilibili.com/cheese/play…
- Java编码实现:www.bilibili.com/cheese/play…
- Golang编码实现:www.bilibili.com/cheese/play…
对于二叉树的相关算法,我们总结了一套【可视化+图解】方法,依据此方法来解决相关问题,算法变得易于理解,写出来的代码可读性高也不容易出错。具体也可以参考视频详细讲解。
今日佳句:不似春光,胜似春光,寥廓江天万里霜。