使用jsPDF.js生成报告

2,071 阅读2分钟
  1. jsPDF.js概述

  1. 什么是jsPDF?

      网页端生成PDF的开源库:jsPDF是一款基于JavaScript的轻量级库,支持在浏览器端直接生成PDF文档,无需依赖服务器端处理。其核心优势包括跨平台兼容性(支持Chrome、Firefox、Safari等主流浏览器及移动端)、灵活的API设计,以及通过纯前端技术实现PDF的动态创建

      核心功能:支持文本、图像、表格、链接、水印等元素的添加,支持自定义字体、页面尺寸、边距等属性,并可通过插件扩展功能(如自动表格生成插件autoTable)

  1. 应用场景

      报告与数据可视化: 结合数据库或用户输入数据,自动生成包含图表、表格的财务报告、销售统计或数据分析报告

      电子发票与收据: 电商平台、在线服务等可一键生成带品牌 Logo、商品明细和金额的 PDF 发票或交易凭证

      合同协议签署: 在线合同管理系统可生成包含条款、签名区域的 PDF 文件,支持密码保护和权限设置(如禁止复制或打印),确保法律文件的安全性

      电子书制作: 将网页内容或原创文本、图片整合为多页 PDF 电子书,支持自定义字体、章节布局和目录

  1. 安装

  1. CDN:

cdnjs.cloudflare.com/ajax/libs/j…

  1. 包管理器:

  1. 简单使用jsPDF

  1. 生成第一个PDF文档

  1. 绘制Image

  1. 生成Table

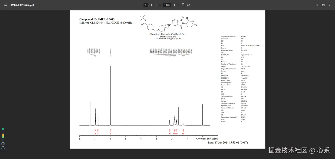
  1. 报告效果预览

image.png

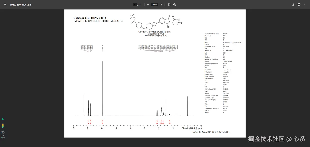
  1. 使用html2canvas生成PDF

image.png

  1. 使用jsPDF生成报告

  2. 绘制xAxis

  1. 绘制折线

  1. 绘制峰的顶点坐标

  1. 绘制峰的范围

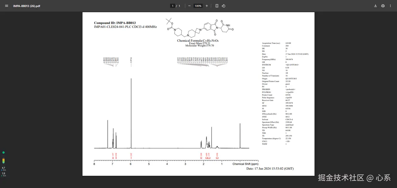
  1. 绘制参数和Logo

image.png

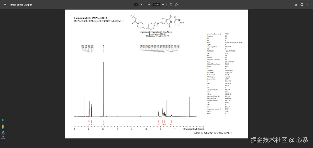
  1. 绘制分子图和基本信息

image.png

小结

通过具体的项目案例,给大家讲解了jsPDF.js的使用。还有一些没有接触、使用到的地方,希望以后有机会再次深入的学习、了解。