二叉搜索树完全解析:从理论到C++手把手实现

295 阅读6分钟

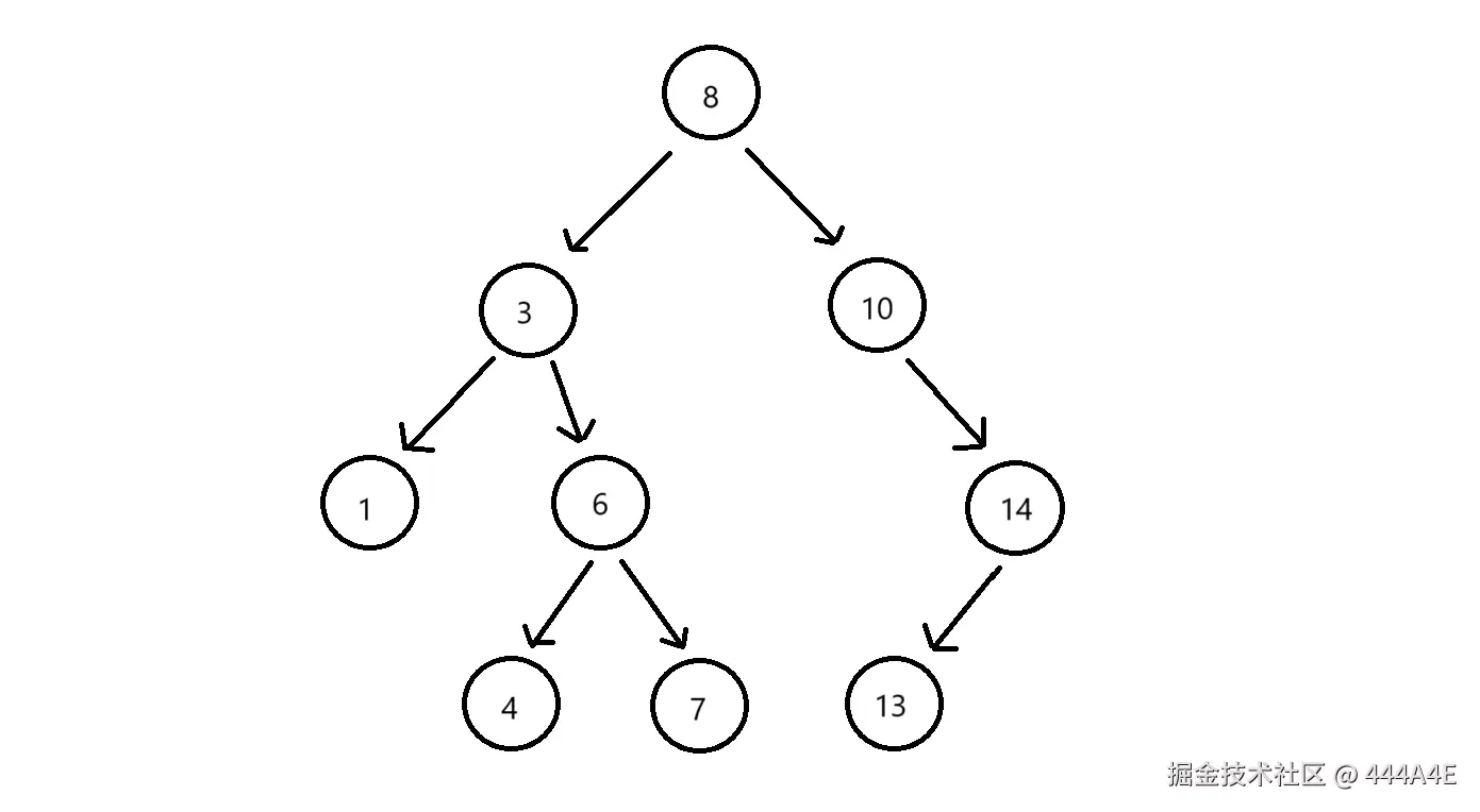
一、二叉搜索树的概念

二叉搜索树又称二叉排序树,它可以是一颗空树,或者是具有以下性质的二叉树:

  • 若左子树不为空,则左子树上所有节点的值都小于等于根节点的值。
  • 若右子树不为空,则右子树上所有节点的值都大于等于根节点的值。
  • 左右子树也分别是二叉搜索树。
  • 分场景可以支持插入相等值或不支持插入相等值,map/set/multimap/multiset系列容器底层就是二叉搜索树,其中map/set不支持插入相等值,multimap/multiset支持插入相等值。这些后面文章再说。

image.png

二、二叉搜索树的性能分析

最优情况下二叉搜索树为完全二叉树或者接近完全二叉树,其高度为log2Nlog2N。最差情况下,二叉搜索树退化为单枝树,其高度为NN。所以综合而言二叉搜索树增删改查时间复杂度为O(N)O(N)

但是这样的效率无法满足需求,所以还有二叉树的变形结构:平衡二叉树、AVL树、红黑树,这些也放在后面的文章中。

image.png

image.png

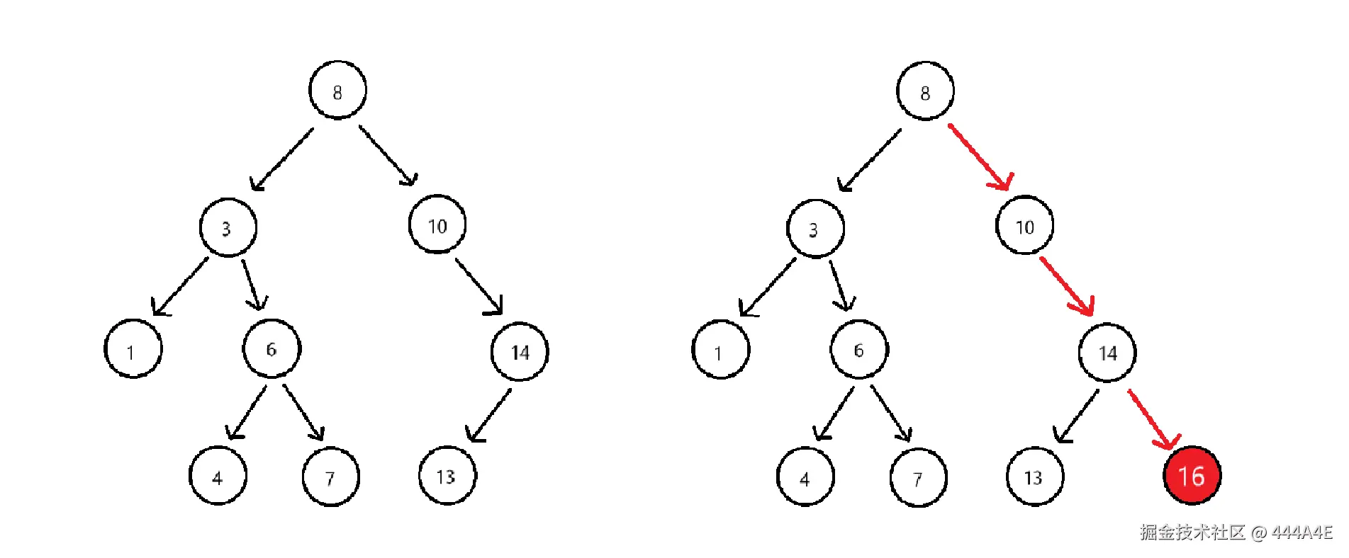
三、二叉搜索树的插入

  1. 树为空直接新增节点给root
  2. 树不为空,插入节点值比当前节点大往右走,插入值比当前节点小往左走,到空位置插入。
  3. 如果支持插入相等值,可以向左也可以向右,但后续插入需保持一致性。

image.png

image.png

四、二叉搜索树的查找

假设查找的值为x

  1. 从根开始比较,x比根的值大向右找,x比根值小则向左找。
  2. 走到为空则x不存在。
  3. 如果不支持插入相同值则找到x即可返回。
  4. 如支持插入相同值,一般为查找中序遍历的第一个x

五、二叉搜索树的删除

首先查找元素是否在树中,不存在返回false,存在则分四种情况处理(假设要删除的节点为N):

  1. N的左右子节点均为空。
  2. N的左子节点为空,右不为空。
  3. N的右子节点为空,左不为空。
  4. N的左右子节点均不为空。

解决办法:

  1. 直接删除N节点,将N的父节点指向N节点的指针置空(这种情况可以直接和2、3情况一起处理,效果相同)。
  2. 改变N节点的父节点指针,指向N的右子节点,删除N节点。
  3. 改变N节点的父节点指针,指向N的左子节点,删除N节点。
  4. 替换法删除:找N节点左子树中的最大节点,也就是左子树中的最右节点(假设为R),或者是N节点右子树中的最小节点,也就是右子树中的最左节点(假设为R),来替换N节点(也就是交换N节点和R节点的值),然后删除R节点。

情况1和情况2:删除1和10

image.png 情况3:删除14

image.png

情况4:删除3和8

image.png

六、二叉搜索树的代码实现

namespace Key
{
	template<class K>
	struct TreeNode
	{
		K _key;
		TreeNode<K>* _left;
		TreeNode<K>* _right;
		TreeNode(const K& key) :_key(key), _left(nullptr), _right(nullptr) {}
	};

	template<class K>
	class BinarySearchTree
	{
		typedef TreeNode<K> Node;
	public:
		// 插入
		bool insert(const K& key)
		{
			if (_root == nullptr)
			{
				_root = new Node(key);
				return true;
			}

			Node* cur = _root;
			Node* parent = nullptr;
			while (cur)
			{
				if (key > cur->_key)
				{
					parent = cur;
					cur = cur->_right;
				}
				else if (key < cur->_key)
				{
					parent = cur;
					cur = cur->_left;
				}
				else
				{
					return false;
				}
			}
			cur = new Node(key);
			if (cur->_key > parent->_key) { parent->_right = cur; }
			else { parent->_left = cur; }
			return true;
		}

		// 查找   
		bool find(const K& key)
		{
			Node* cur = _root;
			while (cur)
			{
				if (key > cur->_key) { cur = cur->_right; }
				else if (key < cur->_key) { cur = cur->_left; }
				else { return true; }
			}
			return false;
		}

		// 删除
		bool erase(const K& key)
		{
			Node* cur = _root;
			Node* parent = nullptr;
			while (cur)
			{
				if (key > cur->_key)
				{
					parent = cur;
					cur = cur->_right;
				}
				else if (key < cur->_key)
				{
					parent = cur;
					cur = cur->_left;
				}
				else
				{
					if (cur->_left == nullptr)
					{
						if (cur == _root) { _root = cur->_right; }
						else
						{
							// 左为空
							if (cur == parent->_left) { parent->_left = cur->_right; }
							else { parent->_right = cur->_right; }
							delete cur;
						}
					}
					else if (cur->_right == nullptr)
					{
						if (cur == _root) { _root = cur->_left; }
						else
						{
							// 右为空
							if (cur == parent->_left) { parent->_left = cur->_left; }
							else { parent->_right = cur->_left; }
							delete cur;
						}
					}
					else
					{
						// 找右子树的最小节点
						Node* replaceParent = cur;
						Node* replace = cur->_right;
						while (replace->_left)
						{
							replaceParent = replace;
							replace = replace->_left;
						}

						swap(replace->_key, cur->_key);
						if (replaceParent->_left == replace) { replaceParent->_left = replace->_right; }
						else { replaceParent->_right = replace->_right; }
						delete replace;
					}
					return true;
				}
			}
			return false;
		}

		void InOrder()
		{
			_InOrder(_root);
			cout << endl;
		}
		// 中序遍历
		void _InOrder(Node* root)
		{
			if (root == nullptr){ return; }
			_InOrder(root->_left);
			cout << root->_key << " ";
			_InOrder(root->_right);
		}

	private:
		Node* _root = nullptr;
	};
}

七、二叉搜索树 keykey/value 使用场景

7.1 key 搜索场景

只有key作为关键码,结构中只需存储key即可,关键码即为要搜索到的值,搜索时只需要判断key在不在。这样的二叉搜索树支持增删查,但不支持修改,因为修改key会破坏搜索树的结构。

场景一:无人值守车库,小区买了车位的车主才能进小区,那么物业只需要把买了车位的车主车牌号录入系统,车辆进入时扫描车牌是否在系统中,在则放行,否则无法进入。

场景二:检查单词拼写是否正确,将词库所有单词放入搜索二叉树,读取单词是否在搜索树中,不在则波浪线标红提示。

7.2 key/value 搜索场景

每一个关键码key都有与之对应的valuevalue可以是任意类型对象。树的节点除了存储key还需要存储value,增删查以key为关键字进行比较,找到对应的valuekey/value的场景不支持修改key,因为会破坏结构,支持修改value

场景一:商场无人值守车库,车辆进入时扫描车牌并记录入场时间,车辆离开时扫描车牌查找时间,用当前时间减入场时间,计算出停车费用。

场景二:英汉互译字典,节点存储key(英文)value(中文),搜索输入英文查找对应的中文。

7.3 key/value 二叉搜索树代码实现

namespace Key_value
{
	template<class K, class V>
	struct TreeNode
	{
		K _key;
		V _value;
		TreeNode<K, V>* _left;
		TreeNode<K, V>* _right;
		TreeNode(const K& key, const V& value) :_key(key), _value(value), _left(nullptr), _right(nullptr) {}
	};

	template<class K, class V>
	class BinarySearchTree
	{
		typedef TreeNode<K, V> Node;
	public:
		BinarySearchTree() = default;
		BinarySearchTree(const BinarySearchTree<K, V>& BSTree) { _root = _copy(BSTree._root); }

		BinarySearchTree<K, V>& operator=(BinarySearchTree<K, V> BSTree)
		{
			swap(_root, BSTree._root);
			return *this;
		}

		~BinarySearchTree()
		{
			_Destory(_root);
			_root = nullptr;
		}
		
		// 插入
		bool insert(const K& key, const V& value)
		{
			if (_root == nullptr)
			{
				_root = new Node(key, value);
				return true;
			}

			Node* cur = _root;
			Node* parent = nullptr;
			while (cur)
			{
				if (key > cur->_key)
				{
					parent = cur;
					cur = cur->_right;
				}
				else if (key < cur->_key)
				{
					parent = cur;
					cur = cur->_left;
				}
				else
				{
					return false;
				}
			}
			cur = new Node(key, value);
			if (cur->_key > parent->_key) { parent->_right = cur; }
			else { parent->_left = cur; }
			return true;
		}
		// 查找   
		Node* find(const K& key)
		{
			Node* cur = _root;
			while (cur)
			{
				if (key > cur->_key) { cur = cur->_right; }
				else if (key < cur->_key) { cur = cur->_left; }
				else { return cur; }
			}
			return nullptr;
		}

		bool erase(const K& key)
		{
			Node* cur = _root;
			Node* parent = nullptr;
			while (cur)
			{
				if (key > cur->_key)
				{
					parent = cur;
					cur = cur->_right;
				}
				else if (key < cur->_key)
				{
					parent = cur;
					cur = cur->_left;
				}
				else
				{
					if (cur->_left == nullptr)
					{
						if (cur == _root) { _root = cur->_right; }
						else
						{
							// 左为空
							if (cur == parent->_left) parent->_left = cur->_right;
							else parent->_right = cur->_right;
							delete cur;
						}
					}
					else if (cur->_right == nullptr)
					{
						if (cur == _root) { _root = cur->_left; }
						else
						{
							// 右为空
							if (cur == parent->_left) { parent->_left = cur->_left; }
							else { parent->_right = cur->_left; }
							delete cur;
						}
					}
					else
					{
						// 找右子树的最小节点
						Node* replaceParent = cur;
						Node* replace = cur->_right;
						while (replace->_left)
						{
							replaceParent = replace;
							replace = replace->_left;
						}

						swap(replace->_key, cur->_key);
						swap(replace->_value, cur->_value);
						if (replaceParent->_left == replace) { replaceParent->_left = replace->_right; }
						else { replaceParent->_right = replace->_right; }
						delete replace;
					}
					return true;
				}
			}
			return false;
		}

		void InOrder()
		{
			_InOrder(_root);
			cout << endl;
		}

	private:
		Node* _root = nullptr;

		// 中序遍历
		void _InOrder(Node* root)
		{
			if (root == nullptr) { return; }
			_InOrder(root->_left);
			cout << root->_key << ":" << root->_value << " ";
			_InOrder(root->_right);
		}
		// 清理
		void _Destory(Node* root)
		{
			if (root == nullptr) { return; }
			_Destory(root->_left);
			_Destory(root->_right);
			delete root;
		}

		Node* _copy(Node* root)
		{
			if (root == nullptr) { return nullptr; }
			Node* newRoot = new Node(root->_key, root->_value);
			newRoot->_left = _copy(root->_left);
			newRoot->_right = _copy(root->_right);
			return newRoot;
		}
	};
}