ProteinMPNN:基于深度学习的蛋白质序列设计模型

624 阅读8分钟

ProteinMPNN:基于深度学习的蛋白质序列设计模型

  1. ProteinMPNN介绍 ProteinMPNN(Protein Message Passing Neural Network)是一种基于深度学习的蛋白质序列设计模型,核心目标是解决“逆向折叠问题”(inverse folding problem),即根据给定的蛋白质三维结构,设计出能够折叠成该结构的氨基酸序列。ProteinMPNN在计算和实验测试中都有出色的性能表现,不同位置的氨基酸序列可以在单链或多链之间偶联,从而广泛的应用于当前蛋白质设计上。ProteinMPNN不仅在天然蛋白质序列恢复率上面性能要高于传统的Rosetta方法,并且可以恢复先前设计失败的蛋白质。通过前沿AI技术突破科学研究的效率瓶颈,对于蛋白质工程、药物设计、酶设计等领域有极其重要的意义。

  2. 整体架构

图1: ProteinMPNN的基本架构

  1. 编码器 
  • 1.1 图构建 将蛋白质结构表示为图结构,图的节点代表氨基酸残基,边代表残基之间的空间或序列关系(如距离、接触、氢键等)。 
  • 1.2 节点嵌入 使用可学习的嵌入层将每个残基的类型(氨基酸种类)、位置信息编码为初始节点特征。

是节点v在第l层的嵌入向量。

是节点v的邻居节点集合,

是从节点u到节点v的消息。 

  • 1.3 边嵌入 对边进行编码,边的初始特征包括残基之间对距离、角度的几何变换,或残基间的相互作用特征。

是边(u, v)在第l层的嵌入向量,分别是节点u和节点v的嵌入向量。

2.消息传递网络 模型通过多层堆叠的消息传递和节点更新操作迭代更新节点状态

  •  2.1 多层图卷积 在每一层图卷积中,节点v接收邻居节点u的消息Muv,由边特征euv和节点特征hu计算得到:

其中

是第l层的可学习函数(如MLP),包含距离、角度等几何信息。 

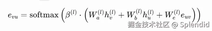
  • 2.2 SE3-等变注意力机制 

  • 2.2.1 注意力分数计算 计算节点v对邻居u的注意力分数

,结合系欸但特征和边特征:

其中Wa,Wb,Wc是可学习权重矩阵,是层间参数,softmax确保归一化。 

  • 2.2.2 消息聚合(SE3-等变) 消息传递需满足SE3群的对称性,通常通过张量积实现:

其中是可学习的变换矩阵,k是SE3的表示维度。

3.解码器 

  • 3.1 结构预测头 用于预测三位坐标,二面角或距离矩阵。

是激活函数,是坐标回归权重。 

  • 3.2 序列设计头 

  • 3.2.1 自回归生成(交叉熵损失) 逐个生成氨基酸序列,条件于当前节点特征和已生成序列:

是时间t的氨基酸类型,为权重矩阵。

  •  3.2.2 损失函数(序列恢复) 交叉熵损失对比预测序列与天然序列:

4.多任务学习

同时优化结构预测(如坐标误差)和序列设计(如恢复天然序列)任务,通过联合损失函数平衡不同目标。

三.实验

设备:

Atlas 800T A2

组件版本:

hdk:24.1.RC3

cann:8.0.RC3

python:3.10

torch:2.1.0

torch-npu:2.1.0.post8

  1. 环境准备 

官方文档对依赖包没有版本要求,仅需保证python的版本高于等于3.0即可。

  •  1.1 新建conda环境 conda create --name mlfold python=3.10 
  • 1.2 安装torch_npu和一些必要的依赖包 下载torch_npu wget gitee.com/ascend/pyto… --no-check-certificate

安装 pip3 install torch_npu-2.1.0.post8-cp310-cp310-manylinux_2_17_aarch64.manylinux2014_aarch64.whl

注:该环境已经提前安装过了,所以不会提示安装成功

2.数据集下载 

注:原始pdb_2021aug02数据集压缩包大小为17GB,解压之后为92GB,须预留足够的空间。 下载之后使用tar -xzf pdb_2021aug02.tar.gz进行解压。 

  • 2.2 下载用于测试的数据集样本 如果没有足够的磁盘空间,可下载该数据集,压缩包为48MB,解压之后为255MB。 wget files.ipd.uw.edu/pub/trainin…

3.推理 ProteinMPNN在example目录下面有很多样例,均可用来验证推理。

在training目录下也有test_inference.sh用于推理验证。

  • 3.1 激活conda环境 conda activate mlfold 
  • 3.2 修改推理脚本 Slurm参数、用于输入的.PDB文件、权重路径、权重名称

  • 3.3 修改protein_mpnn_run.py

  • 3.4 执行推理

  • 3.5 查看推理结果

4.训练

  • 4.1 修改training.py文件

注:training.py脚本内,使用的cuda api不需要手动修改。torch_npu会自动将cuda api更改为torch_npu的api。

例:

  • 4.2 修改sh脚本

  • 4.3 source cann

  • 4.4 验证npu环境是否可用

  • 4.5 开始训练

在training目录下面执行bash submit_exp_020.sh

查看npu状态,显示0卡正在被进程占用

注:可以通过环境变量export ASCEND_RT_VISIBLE_DEVICES来指定用哪张卡训练。

  • 4.6 训练完成

训练完成之后,训练日志和权重会存放在exp_020目录下。