基于元素小组的归并排序算法

126 阅读8分钟

问题说明

什么是针对元素小组的归并排序算法,举个例子:假如有一个数组[1,2,3,4,5,6,7,8,9],{1,2,3}为一个小组,{4,5,6}为一个小组,{7,8,9}为一个小组,现需要根据每个小组的第一个元素来进行排序,小组的所有元素需要一起移动,因此降序排序之后的数组为[7,8,9,4,5,6,1,2,3]。

应用场景

为什么需要这样排序呢,这样有什么应用场景?

比如需要存储多条线段,分别为 x(线段的 x 坐标)、minY(线段的最小 y 坐标)和 maxY(线段的最大 y 坐标)。如下图所示: 在这里插入图片描述 如上场景很容易想到使用List<int[]>来存储,每个int[]表示一条线段的信息,虽然这样很容易实现,且通俗易懂,但是它这样不仅会占用更多的内存,而且在排序和后续使用时速度可能会较慢。为了节省内存并提高效率,可以只用一个List<Integer>来存储线段,只需要将三个相连的元素组合在一起表示一条线段即可,比如索引[0,1,2]的三个元素一起表示一条线段,索引[3,4,5]的三个元素一起表示另一条线段。

采用这种方式后,在遍历线段的时候非常简单,直接使用for(int i=0; i<list.size(); i+=3),每次分别取出ii+1i+2对应的元素即可。但是如果想要对线段排序呢?很多读者是不是没有写过类似的程序,本文提供一种排序方法供读者参考

基于元素小组归并排序算法

首先为什么要基于归并排序算法来实现呢?因为归并排序的平均情况、最好情况、最坏情况的时间复杂度都是O(n log n),性能较好

归并排序原理

归并排序是一种高效的排序算法,其核心思想是“分而治之”。它通过将数组分成越来越小的部分,直到每个部分只包含一个元素,然后再逐步合并这些部分,同时在合并过程中进行排序,最终得到完全排序的数组。

归并排序的主要步骤包括:

  • 分解:将数组不断分成两半,直到每个子数组只有一个元素。
  • 合并:将两个已排序的子数组合并成一个有序数组。在这个过程中,比较两个子数组的元素,并按照顺序合并到一个新的数组中。

归并排序的主要优点包括:

  • 稳定性:保证相同元素的相对顺序不变。
  • 高效性:无论输入数组的状态如何,都能保证 O(n log n) 的时间复杂度。
  • 易于并行化:由于其分治特性,归并排序非常适合并行计算环境。

归并排序的主要缺点是需要额外的空间来存储中间结果,空间复杂度为 O(n)。

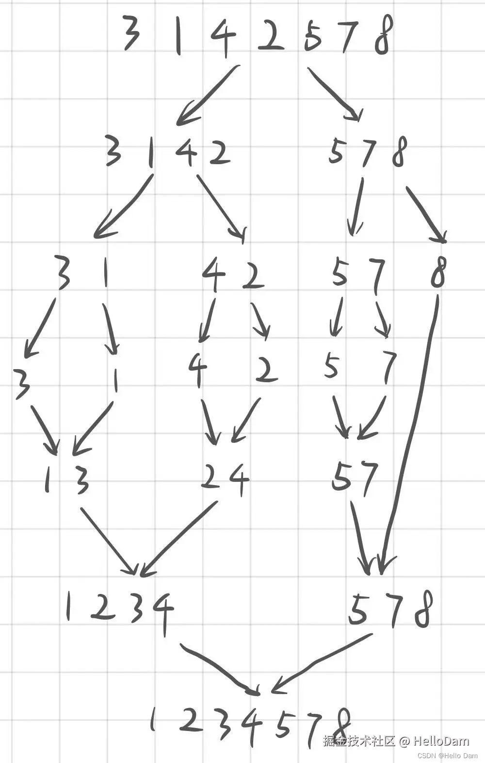
具体过程可以参考如下过程:

在这里插入图片描述

集合版本

【抽象排序类】 下面是一个抽象的归并排序类,该类提供了排序的基础结构,同时定义了一个抽象方法 compare 以便子类能够自定义排序规则。

package com.dam.algorithm.version3.merge;

import java.util.List;

/**
 * @Author dam
 * @create 2023/9/13 14:39
 */
public abstract class GroupMergeSort {

  	/**
     * 对列表进行排序。
     *
     * @param list      待排序的列表
     * @param groupSize 小组的大小
     */
    public void sort(List<Integer> list, int groupSize) {
        // 归并排序需要一个额外空间来存储排序之后的数组
        int[] temp = new int[list.size()];
        mergeSort(list, 0, list.size() / groupSize - 1, temp, groupSize);
    }

    /**
     * 分+合方法
     *
     * @param arr
     * @param left
     * @param right
     * @param temp
     */
    private void mergeSort(List<Integer> arr, int left, int right, int[] temp, int groupSize) {
        // 只要left<right,就可以继续分
        if (left < right) {
            // 中间索引
            int mid = (left + right) / 2;
            // 向左递归进行分解
            mergeSort(arr, left, mid, temp, groupSize);
            // 向右递归进行分解
            mergeSort(arr, mid + 1, right, temp, groupSize);
            // 合并(最先合并栈顶的元素)
            merge(arr, left, mid, right, temp, groupSize);
        }
    }

    /**
     * 合并的方法
     *
     * @param list  排序的原始数组
     * @param left  左边有序序列的初始索引
     * @param mid   中间索引
     * @param right 右边索引
     * @param temp  做中转的数组
     */
    private void merge(List<Integer> list, int left, int mid, int right, int[] temp, int groupSize) {
        // 初始化i, 左边有序序列的初始索引
        int i = left;
        // 初始化j, 右边有序序列的初始索引
        int j = mid + 1;
        // 指向temp数组的当前索引
        int cur = 0;

        /// 先把左右两边(有序)的数据按照规则填充到temp数组,直到左右两边的有序序列,有一边处理完毕为止
        while (i <= mid && j <= right) {
            if (compare(list.get(groupSize * i), list.get(groupSize * j))) {
                // --if-- 如果compare方法返回true,这里的compare由用户自定义,即将左边的当前元素填充到temp数组中
                setValueFromListToArr(temp, cur, list, i, groupSize);
                cur += 1;
                i += 1;
            } else {
                // 否则,将右边有序序列的当前元素填充到temp数组
                setValueFromListToArr(temp, cur, list, j, groupSize);
                cur += 1;
                j += 1;
            }
        }

        /// 把有剩余数据的一边的数据依次全部填充到temp
        while (i <= mid) {
            // --if-- 左边的有序序列还有剩余的元素,就全部填充到temp
            setValueFromListToArr(temp, cur, list, i, groupSize);
            cur += 1;
            i += 1;
        }
        while (j <= right) {
            // --if-- 右边的有序序列还有剩余的元素,就全部填充到temp
            setValueFromListToArr(temp, cur, list, j, groupSize);
            cur += 1;
            j += 1;
        }

        /// 将temp数组的元素拷贝到list中
        cur = 0;
        int tempLeft = left;
        while (tempLeft <= right) {
            setValueFromArrToList(list, tempLeft, temp, cur, groupSize);
            cur += 1;
            tempLeft += 1;
        }

    }

    /**
     * 如果想要 升序 ,那num1<num2的时候就返回true ; 反之为降序
     *
     * @param num1
     * @param num2
     * @return
     */
    public abstract boolean compare(Integer num1, Integer num2);

    /**
     * 定义方法以交换两个组中的元素,将集合的小组的元素设置到数组的小组中
     * 例如:切换第1组和第2组。我们需要将第1组的所有元素与第2组的所有元素交换
     * @param receiptArr
     * @param receiveIndex
     * @param sendList
     * @param sendIndex
     * @param groupSize
     */
    private void setValueFromListToArr(int[] receiptArr, int receiveIndex, List<Integer> sendList, int sendIndex, int groupSize) {
        for (int i = 0; i < groupSize; i++) {
            receiptArr[groupSize * receiveIndex + i] = sendList.get(groupSize * sendIndex + i);
        }
    }

    private void setValueFromArrToList(List<Integer> receiptList, int receiveIndex, int[] sendArr, int sendIndex, int groupSize) {
        // 一次设置多个元素
        for (int i = 0; i < groupSize; i++) {
            receiptList.set(groupSize * receiveIndex + i, sendArr[groupSize * sendIndex + i]);
        }
    }

}

【子类】 接下来是一个具体的子类实现,它继承自 GroupMergeSort 类,并实现了 compare 方法来支持升序排序。

package com.dam.algorithm.version3.merge;

import com.dam.algorithm.version3.shell.GroupShellSort;

/**
 * @Author dam
 * @create 2023/9/13 13:55
 */
public class VScanLineGroupMergeSort extends GroupMergeSort {
    /**
     * 单例模式
     */
    private static volatile VScanLineGroupMergeSort instance;

    private VScanLineGroupMergeSort() {
    }

    public static VScanLineGroupMergeSort getInstance() {
        if (instance == null) {
            synchronized (VScanLineGroupMergeSort.class) {
                if (instance == null) {
                    instance = new VScanLineGroupMergeSort();
                }
            }
        }
        return instance;
    }

    @Override
    public boolean compare(Integer num1, Integer num2) {
        // 如果num1更小,先填充num1到temp中,说明排序类型为升序排序
        if (num1 < num2) {
            return true;
        }
        return false;
    }
}

数组版本

package com.dam.algorithm.version3.merge;

/**
 * @Author dam
 * @create 2023/9/13 14:39
 */
public class GroupMergeSortTest {

    public static void main(String[] args) {
        int[] array = {3, 5, 1, 2, 7, 6, 8, 9, 4, 1, 9, 17};
        int groupSize = 3;

        // 排序
        sort(array, groupSize);

        // 打印排序后的数组
        for (int i : array) {
            System.out.print(i + " ");
        }
    }


    public static void sort(int[] arr, int groupSize) {
        int[] temp = new int[arr.length];
        mergeSort(arr, 0, arr.length / groupSize - 1, temp, groupSize);
    }

    public static void mergeSort(int[] arr, int left, int right, int[] temp, int groupSize) {
        if (left < right) {
            int mid = (left + right) / 2;
            mergeSort(arr, left, mid, temp, groupSize);
            mergeSort(arr, mid + 1, right, temp, groupSize);
            merge(arr, left, mid, right, temp, groupSize);
        }
    }

    public static void merge(int[] arr, int left, int mid, int right, int[] temp, int groupSize) {
        int i = left;
        int j = mid + 1;
        int cur = 0;

        while (i <= mid && j <= right) {
            if (compare(arr[groupSize * i], arr[groupSize * j])) {
                setValueFromSendToReceive(temp, cur, arr, i, groupSize);
                cur += 1;
                i += 1;
            } else { 
                setValueFromSendToReceive(temp, cur, arr, j, groupSize);
                cur += 1;
                j += 1;
            }
        }

        while (i <= mid) {
            setValueFromSendToReceive(temp, cur, arr, i, groupSize);
            cur += 1;
            i += 1;
        }

        while (j <= right) {
            setValueFromSendToReceive(temp, cur, arr, j, groupSize);
            cur += 1;
            j += 1;
        }

        cur = 0;
        int tempLeft = left;
        while (tempLeft <= right) {
            setValueFromSendToReceive(arr, tempLeft, temp, cur, groupSize);
            cur += 1;
            tempLeft += 1;
        }
    }

    public static void setValueFromSendToReceive(int[] receiptArr, int receiveIndex, int[] sendArr, int sendIndex, int groupSize) {
        for (int i = 0; i < groupSize; i++) {
            receiptArr[groupSize * receiveIndex + i] = sendArr[groupSize * sendIndex + i];
        }
    }

    public static boolean compare(Integer num1, Integer num2) {
        if (num1 < num2) {
            return true;
        }
        return false;
    }

}

总结

本文介绍了基于元素小组的归并排序算法,这是一种特殊的排序算法,适用于需要根据固定大小的小组进行排序的情况。该算法特别适用于需要存储一系列线段的情况,其中每条线段由三个属性组成:xminYmaxY。通过将这些属性存储在一个连续的整数列表中,而不是使用多个数组或对象,可以显著减少内存占用和提高处理速度。

文章详细解释了归并排序的工作原理,并给出了一个抽象的归并排序类 GroupMergeSort,该类包含一个抽象方法 compare,允许用户自定义排序规则。此外,还提供了一个具体的子类 VScanLineGroupMergeSort,实现了升序排序逻辑,并通过单例模式确保类实例的唯一性。

最后,文章附带了一段测试代码,展示了如何使用该算法对整数数组进行排序,其中数组中的元素以固定大小的小组形式存在。此算法的时间复杂度为 O(n log n),适用于需要高效排序大量数据的应用场景。

通过本文的学习,读者可以了解到如何在特定的应用场景下利用归并排序的思想来有效地管理和排序数据。