Trae编译器:实现多目标班翠鸟优化算法(IPKO)无人机路径规划仿真(Python版),完整代码

347 阅读5分钟

多目标班翠鸟优化算法(IPKO)实现原理与步骤

image.png

一、算法实现原理

IPKO 是改进的班翠鸟优化算法(Pied Kingfisher Optimizer, PKO),灵感来源于斑翠鸟的栖息、悬停、潜水和共生行为。其核心原理是通过模拟斑翠鸟的捕食策略实现多目标优化,并结合以下改进策略增强全局搜索能力和鲁棒性:

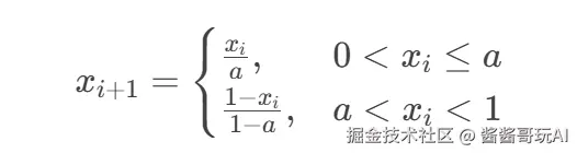
  1. 混沌映射初始化
    使用 Kent 混沌映射 生成初始种群,提高种群的均匀性和遍历性,避免陷入局部最优。Kent 映射方程如下:

    image.png

    通过混沌映射生成的初始解更均匀地覆盖搜索空间。

  2. 分布增强全局搜索

在速度更新中,用 α-stable 分布替代传统伪随机数。该分布具有更广的随机性,能增强算法跳出局部最优的能力。其概率密度函数通过特征函数的傅里叶变换定义:

image.png
  1. 聚类策略维护多样性 通过聚类将种群划分为子群,平衡全局搜索与局部开发。根据适应度值排序并分配个体到不同子群,防止早熟收敛。

  2. 多目标优化机制

    结合 非支配排序拥挤度计算,优化多目标函数(如路径长度、碰撞风险、航程约束等)。

二、算法实现步骤

  1. 初始化阶段

    • Kent 混沌映射生成初始种群:通过混沌映射生成均匀分布的初始解,覆盖整个搜索空间。
  2. 探索阶段(栖息与悬停策略)

    • 栖息策略:根据栖息行为更新个体位置:
    • 悬停策略:基于适应度动态调整参数 (T),增强局部搜索能力。
  3. 开发阶段(潜水策略)

    • 模拟斑翠鸟潜水捕食行为,更新最优解: image.png
    • 其中 (H) 表示狩猎能力,(b) 为翅膀拍打频率。
  4. 局部逃逸阶段(共生策略)

    • 引入共生关系,随机选择个体进行位置更新以逃离局部最优:
    • 参数随迭代次数动态递减。
  5. 改进策略应用

    • α-stable 分布:在速度更新中引入 α-stable 分布的随机扰动。
    • 聚类策略:每轮迭代后对种群聚类,划分子群以保持多样性。
    • 约束处理:通过惩罚函数处理路径约束(如航程、高度、碰撞风险)。
  6. 多目标优化与收敛

    • 适应度计算:综合路径长度、碰撞风险、约束代价生成目标函数:
    • 非支配排序:筛选帕累托最优解集,保留全局最优路径。
  7. 终止条件

    • 达到最大迭代次数或适应度值收敛后,输出最优路径集合。

参考文献: [1] 訾少康,胡伟,柴凯凯,李静,鲁旭涛.基于改进斑翠鸟优化算法的无人机组网路径规划[J].探测与控制学报,1-12.

三、代码实现

image.png

如何运用Trae编译器实现多目标班翠鸟优化算法(IPKO)无人机路径规划仿真实验,以下是使用Python实现多目标班翠鸟优化算法(IPKO)进行无人机路径规划仿真的详细步骤:

1.问题建模

环境定义

定义无人机飞行环境(如二维/三维空间、障碍物位置)和目标点。

class Environment:
    def __init__(self, width, height, obstacles, start, end):
        self.width = width        # 环境宽度
        self.height = height       # 环境高度
        self.obstacles = obstacles  # 障碍物坐标列表
        self.start = start        # 起点坐标 (x, y)
        self.end = end            # 终点坐标 (x, y)

目标函数

定义多目标优化问题(如路径长度、障碍物碰撞风险、能耗)。

def objective_functions(path):
    # 计算路径长度
    length = sum(np.linalg.norm(np.array(path[i+1]) - np.array(path[i])) for i in range(len(path)-1))
    
    # 计算碰撞风险
    collision_risk = 0
    for point in path:
        for obs in environment.obstacles:
            if np.linalg.norm(np.array(point) - np.array(obs)) < safe_distance:
                collision_risk += 1
    return [length, collision_risk]
  1. 实现IPKO算法

班翠鸟优化算法原理

IPKO模仿班翠鸟捕食行为,核心步骤包括:

  1. 初始化种群:随机生成候选路径。
  2. 探索与开发:通过模拟捕食行为更新路径。
  3. 多目标优化:使用非支配排序和拥挤度计算维护帕累托前沿。

Python代码框架

class IPKO:
    def __init__(self, n_population, n_iter, environment):
        self.n_pop = n_population  # 种群大小
        self.n_iter = n_iter      # 迭代次数
        self.env = environment    # 环境对象
        self.population = []      # 候选路径集合
        self.pareto_front = []    # 帕累托前沿
    def initialize_population(self):
        # 生成随机路径(示例为简化直线路径)
        for _ in range(self.n_pop):
            path = [self.env.start]
            path += [random_point() for _ in range(3)]  # 随机中间点
            path.append(self.env.end)
            self.population.append(path)
    def evaluate(self, path):
        return objective_functions(path)
    def update_population(self):
        # 班翠鸟行为模拟(需根据具体算法设计更新逻辑)
        for i in range(self.n_pop):
            new_path = self.hunt_prey_behavior(self.population[i])
            new_fitness = self.evaluate(new_path)
            # 非支配排序更新帕累托前沿
            if self.is_non_dominated(new_fitness):
                self.pareto_front.append(new_path)
    def optimize(self):
        self.initialize_population()
        for _ in range(self.n_iter):
            self.update_population()
        return self.pareto_front
  1. 仿真实验

参数设置

env = Environment(width=100, height=100, 
                  obstacles=[(20,30), (50,60)], 
                  start=(0,0), end=(100,100))
ipko = IPKO(n_population=50, n_iter=100, environment=env)

运行优化

pareto_paths = ipko.optimize()
  1. 结果可视化

绘制

fitness_values = [ipko.evaluate(path) for path in pareto_paths]
lengths = [f[0] for f in fitness_values]
risks = [f[1] for f in fitness_values``
plt.scatter(lengths, risks)
plt.xlabel('Path Length')
plt.ylabel('Collision Risk')
plt.title('Pareto Front')
plt.show()

绘制最优路径

def plot_path(path):
    x = [p[0] for p in path]
    y = [p[1] for p in path]
    plt.plot(x, y, marker='o')
    plt.scatter(env.obstacles[:,0], env.obstacles[:,1], c='red', marker='x')
    plt.title('Drone Path')
    plt.show()
best_path = min(pareto_paths, key=lambda x: x[0])  # 选择最短路径
plot_path(best_path)

四、无人机路径规划仿真实现结果

image.png1.png

image.pngimage.png image.png

五、提供Python版本完整代码

实现代码实现开源项目地址:github.com/jiangjiangg…