深入学习搜索树与字符匹配数据结构

221 阅读5分钟

在计算机科学中,树形数据结构广泛用于优化搜索、插入和删除等操作。其中,二叉搜索树(BST)是一种基础结构,但可能会因不平衡而影响性能。为了解决这个问题,出现了自平衡的红黑树(Red-Black Tree)。

此外,在处理字符串匹配和搜索的场景中,Trie(前缀树)提供了一种高效的解决方案。然而,由于 Trie 可能存在较大的空间占用,因此衍生出了 Patricia Tree(压缩前缀树),以减少存储开销,提高查询效率。

本文将分别介绍 BST 和红黑树在数值数据存储中的应用,以及 Trie 和 Patricia Tree 在字符串匹配中的作用,分析它们的特点、优势、缺点及应用场景。

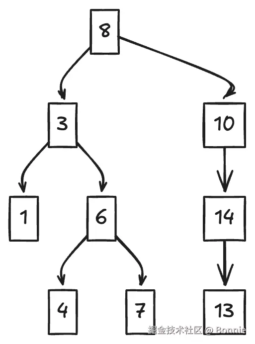
二叉搜索树(Binary Search Tree, BST)

特点

image.png

二叉搜索树(BST)是一种特殊的二叉树,满足以下性质:

  1. 每个节点的左子树中的所有节点值都小于该节点值。
  2. 每个节点的右子树中的所有节点值都大于该节点值。
  3. 左右子树也分别是二叉搜索树。

优缺点

优点:

  • 结构简单,易于实现。
  • 平均情况下,查找、插入和删除的时间复杂度为 O(log n)。

缺点:

  • 在最坏情况下(例如插入顺序导致树退化为链表),时间复杂度会变为 O(n)。

应用场景

变量和符号管理: 在编译器和解释器中,BST 可用于管理变量、函数、类等标识符,并支持高效的查找、插入和删除操作。例如,在编译器解析源代码时,BST 可用于维护作用域中的变量,以便快速检索和更新变量信息。

Code 实现

点击这里查看typescript版本的BST.

红黑树(Red-Black Tree)

特点

image.png

红黑树是一种自平衡二叉搜索树,具有以下性质:

  1. 每个节点是红色或黑色。
  2. 根节点是黑色。
  3. 每个叶子节点(NIL)是黑色。
  4. 如果一个节点是红色,则它的子节点必须是黑色(即不能有两个连续的红色节点)。
  5. 从任一节点到其每个叶子节点的所有路径上,黑色节点的数量相同。

优缺点

优点:

  • 通过旋转和重新着色操作保持平衡,避免退化为链表。
  • 插入、删除、查找的时间复杂度始终保持在 O(log n)。

缺点:

  • 实现复杂,相比普通 BST 需要额外的存储空间。
  • 旋转和着色操作可能会增加插入和删除的开销。

应用场景

操作系统进程调度(Linux CFS 调度器) : 在 Linux 内核中,完全公平调度器(CFS)使用红黑树存储进程。每个进程根据其“虚拟运行时间”存储在红黑树中,确保调度算法能够高效地找到下一个需要执行的进程,实现较为公平的 CPU 资源分配。

Code 的实现

点击这里查看typescript版本的红黑树.

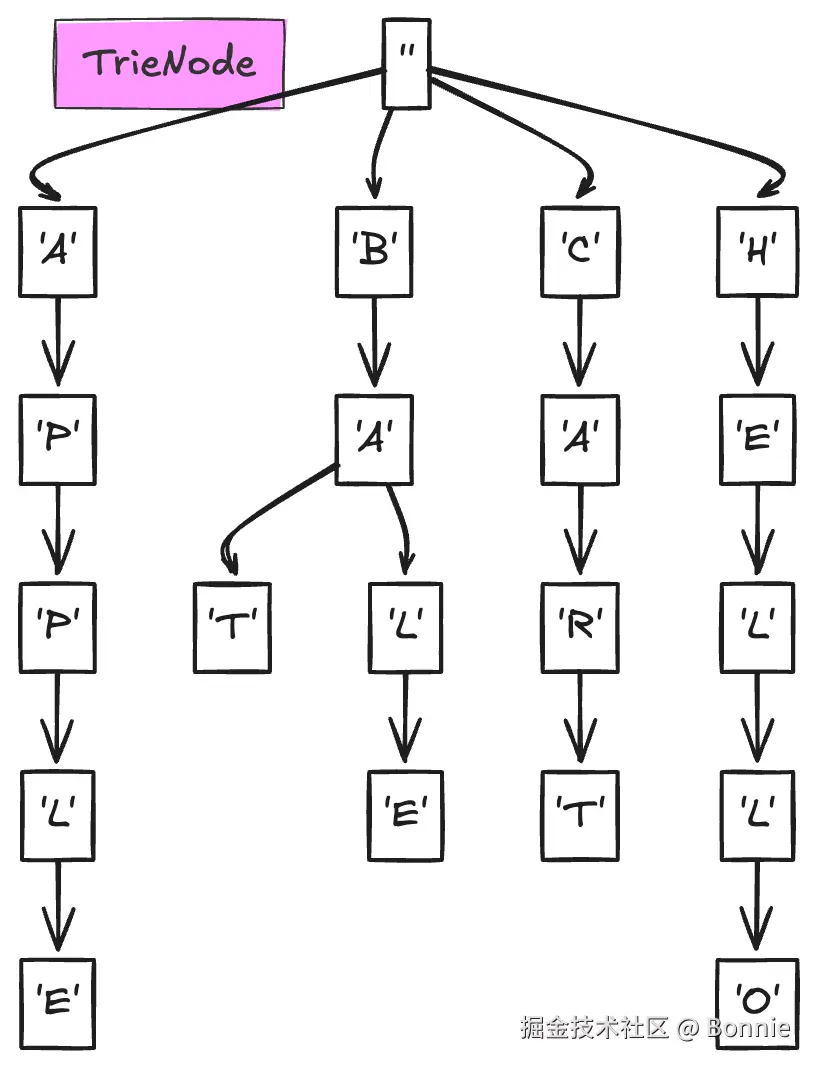
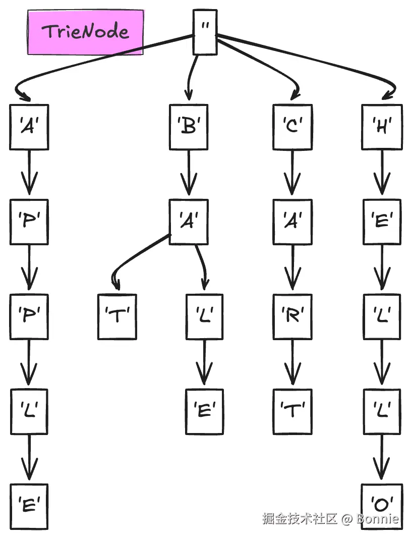
Trie(前缀树 / 字典树)

特点

image.png

Trie 是一种高效的数据结构,特别适用于前缀匹配。其基本结构如下:

  1. 每个节点表示一个字符。
  2. 从根到某个节点的路径表示一个字符串的前缀。
  3. 一个额外的标志表示该路径是否构成一个完整的字符串。

优缺点

优点:

  • 高效的前缀匹配,查找时间复杂度为 O(m),其中 m 为字符串长度。
  • 支持自动补全和词频统计。

缺点:

  • 可能占用较多存储空间,尤其是当存储的数据较为稀疏时。

应用场景

搜索引擎的自动补全: 搜索引擎使用 Trie 结构来实现高效的自动补全功能。例如,当用户在搜索框输入部分关键词时,Trie 结构可以迅速匹配所有以该前缀开头的搜索建议,提高用户体验。

Code 的实现

点击这里查看typescript版本的Trie.

Patricia Tree(压缩前缀树)

特点

image.png Patricia Tree(Practical Algorithm to Retrieve Information Coded in Alphanumeric)是一种压缩版的 Trie,适用于存储稀疏键值对,减少 Trie 树的存储空间需求。

Patricia Tree 的主要特点:

  1. 合并只有一个子节点的中间节点,减少树的高度。
  2. 仅存储关键路径,提高查找效率。
  3. 适用于 IP 地址前缀匹配、路由表等应用。

优缺点

优点:

  • 相比 Trie,占用更少的存储空间。
  • 适用于存储较长字符串且节点稀疏的数据。

缺点:

  • 实现较复杂。
  • 在频繁修改的情况下,维护成本较高。

应用场景

IP 路由表的前缀匹配(如 BGP 协议) : 在网络通信中,路由器需要快速查找 IP 地址前缀,以决定数据包的转发路径。Patricia Tree 通过压缩存储,提高查询效率,广泛用于 BGP(边界网关协议)等网络协议的实现。

相比 Trie,Patricia Tree 在处理长字符串或稀疏数据时更加紧凑,并减少了不必要的存储开销。

Code 的实现

点击这里查看typescript版本的patricia tree.

更多文章❤️请点击这里