Chapter 8 Charge Pump

342 阅读6分钟

Chapter 8 Charge Pump

8.1 Introduction

电荷泵就是capacitive DC–DC converters, 一般把小功率bias generation叫做电荷泵, 传输大功率的称为switched-capacitor DC–DC converters. 但其实两者都是通过电容网络的charge redistribution, 来实现电压的倍增或者倍降.

8.1.1 Fundamental Circuit and Operation

电荷泵的基本构成如下, pumping capacitor Cp, output buffer capacitor Co和非交叠时钟开关𝜑1, 𝜑2.

Vout = Vin + Vcp = 2Vin

8.1.2 Charge Pumps Applications

在EEPROM和Flash Memory中会用到10-20V电压, 需要charge pump. 在digital circuit中, 负压body bias能有效减小漏电. 在模拟电路中, 需要charge pump提供gate override voltage来降低阻抗, 或者bootstrap gate supply.

8.1.3 General Characteristics

charge pump输出纹波和输出IR drop, 取决于负载和频率.

8.2 Analysis of the Fundamental Charge Pump

8.2.1 Step-Wise Ramp-Up

可通过电荷守恒, 推导两个phase, Vout的电压. Q=IT=CΔV.

8.2.2 Voltage Droop for Nonzero Load

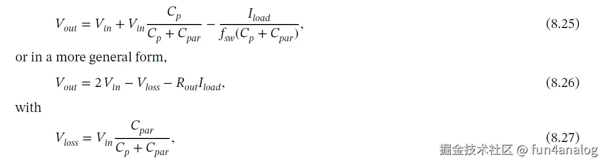
对于有负载ILOAD情况, 可得输出

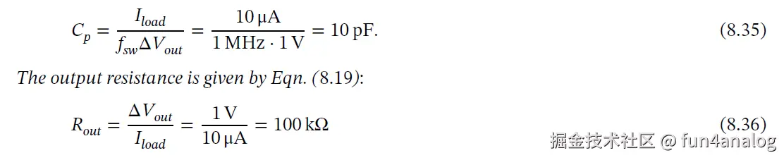
charge pump可视为电压源+内阻. Rout=1/(fsw*Cp). Cp为pumping capacitor, 为了减小输出IR drop, Cp有最小值要求

8.2.3 Output Voltage Ripple

输出电容Co决定输出电压Vout纹波大小

8.3 Influence of Parasitics

Cp的bottom-plate capacitance 会增加loss. 如下图所示

考虑Cpar, Vout表达式为. Cpar会影响输出电压Vout.

因此Rout的表达式为

8.3.2 Finite On-Resistance

switch是有Ron的, charge pump工作 涉及slow and fast switching limit (SSL and FSL), 而Charge pumps 通常工作在 SSL, 即电容和频率dominate, Ron电阻可以忽略不记.

8.4 Charge Pump Implementation

8.4.1 Charge Pumps with Diodes

简单的CP可用两个diode实现. 如下图所示 diode可blocking voltage (注意耐压!!! 可能要用高压diode), 另外需要注意diode导通时会产生寄生bipolar junction transistor. 尤其小心P-N-Psub!

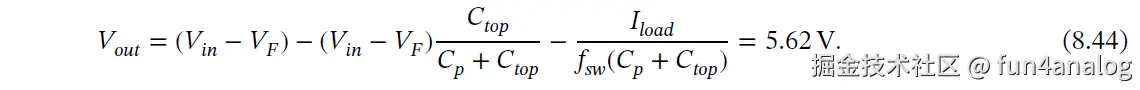
diode有会产生两个VF drop. 因此Vout = 2(Vin − VF)

8.4.2 Charge Pumps with Transistor Switches

采用PMOS, NMOS的CP结构可参考下图

(a)和(b)的问题在于Cp点抬高时会被钳位在Vin+VF电压, 达不到2VIN

(c)采用DB和Cb做local bootstrapping, 用来驱动M1 gate. M1 gate在Vin-VF和2Vin-VF变化, 因此M1可以fully on,

(d) 用MB mos代替了DB. M1和M2为对称结构, 产生V1和V2. Vout = 2Vin − VF

为了Vout进一步达到2Vin, 替代D2, 采用下图cross-coupled charge pump, M2A和M2B两个PMOS devices替代了D2. 自我形成了bootstrapping结构. 而且two-phase operation, 相当于频率加倍, 纹波减小了50%. 在初始状态, Cp1和Cp2没电时, 通过NMOS的body diode给电容充电.

8.4.3 The Parasitic Bipolar Junction Transistor

在初始状态, 通过NMOS的body diode给电容充电, 因此body diode的寄生三极管需要特别小心. 下图展示了上图PMOS和NMOS刨面图. 如果没有好的isolation, 当Charge Pump启动时, 寄生三极管通, collector直接把电容注入进入sub, 造成失效!

8.5 Power Efficiency

CP的效率定位为Pout/Pin

Diode drop, inverter loss, top plate cap和bottom plate cap都能影响Vout和效率

不同参数对输出和效率的影响如下

8.6 Cascading of Pumping Stages

可以级联charge pump, 产生N*Vin的输出电压. 下图需要注意Cap和管子耐压. Vmax(Cp1) =Vin, Vmax(Cp2) = 2Vin, Vmax(Co) = 3Vin

级联输出Vout表达式

8.7 Other Charge Pump Configurations

除了double电压和half电压, Charge Pump还能产生负电压. 如下图所示Cp能把-Vin push到Vout处. 对于有负载情况, Vout = −Vin +ΔVout. Vout为负电压, 注意小心N-tank的PN节导通. Care needs to be taken due to the negative voltage at the output and the intermediate switching node at the top plate of Cp. Any n-tank at those nodes will cause the PN-junction to get forward-biased. For this reason, the switch connected to Vout cannot be an n-type transistor. Otherwise, Vout would be clamped to −VF, the forward voltage of the drain-bulk junction.

对于高压开关, 可产采用下图结构. Vin=40V, VDD=5V, 这样Vout=Vin+VDD=45V, 可驱动功率管. Co可跨接Vin和Vout, 这样Co耐压=5V. 注意Cp的耐压仍然是Vin.

8.8 Current-Source Charge Pumps

为了减小CP的inrush current, 减小EMI noise, 可采用current source来确保Cp缓慢充电到Vin/放电到0V. 注意开关频率fs一定要够小, 这样Cp才能充满.

8.9 Charge Pumps Suitable as a Floating Gate Supply

CP广泛应用在gate supply. bootstrapping固然可以提供高压gate电压, 但需要switching node能周期性回到0V.

switched-capacitor and hybrid DC–DC converters中存在source为高压的高边管子, 需要用CP给gate供电. 可用下图结构

Vsw一直保持在VSSHS, 𝜑 = 1时, CP充电到Vin. Co给gate供电. 𝜑 = 0时, CP给Co供电.

注意1)当 𝜑 = 0时, MP2的source看到高压 VSSHS + V(Cp) = Vbat + Vin, 因此MP2需要level shift. MN3和MN1无需level shift, 因为source接地. 2)注意MP3的VDS耐压, 𝜑 = 0时 MP3的drain接gnd, 𝜑 = 1时, MP3的drain接高压Vbat + Vin. (3) NM2的Vds也需要承受高压VSSHS=Vbat.

当VSSHS=Vbat达到12V时, MP2, MP3和I1可换成diode, 另外MP1也可换成diode. 如下图所示, 代价是Vout损失一些drop.

Fig. 8.15a)的Co 低端为高压VSSHS, MP1, MP2, and MN3 替换为 diodes 和上拉电阻 R. 𝜑 = 1时 MN2把Cp底端和Vsw断开, MN1 on, 因此Cp充电. 𝜑 = 0 MN1 off, MN2的gate被R上拉, 因此MN2 on, Vsw=Cp bottom, 因此Cp给Co充电. 这个电路只需要一个clock signal, MN1管, 和通过上拉电阻R实现self-boosting, 在广泛应用在很多场景. 缺点是R上会消耗功耗, 与Vsw有关. 另外由于diode drop VF, Vout = Vin − 3VF, D1, D2和MN1,MN2需要高压管.

Fig. 8.15b)为另外一种高边CP架构. 𝜑 = 1, CP充电到Vsw. 当Vsw为高压时, 𝜑短暂时间为0, 用Cp给Co充电. 如上图所示. Vout = Vin − 2VF. 否则 MN1 or MP1 would get forward conducting and may trigger parasitic bipolar transistor effects. 只需要Cp为高压器件, 而且无需R, dropout还小, 因此Fig. 8.15b)效率更高!

8.10 Closed-loop Control

上面介绍的CP都是开环系统, 输出由寄生参数和负载电流决定. 如果必要, CP也能做成闭环系统.

CP的输出Vout取决于fsw和Cp, 因此改变fsw能更直接控制输出.

Fig. 8.16a) 通过clock gating来改变fsw从而控制Vout. Fig. 8.16b)通过控制CP的电流来改变输出.

如果频率由于EMI考虑需要固定, 可参考[13]中改变Cp的办法, This technique also scales switching and bottom-plate losses with changes in load current and maintains a predictable fixed-frequency switching noise behavior.

[13] A fully-integrated switched-capacitor step-down DC-DC converter with digital capacitance modulation in 45 nm CMOS. IEEE Journal of Solid-State Circuits, 45 (12), 2557–2565, doi: 10.1109/JSSC.2010.2076550.