学术论文pdf图片中的公式如何自动识别为word

197 阅读3分钟

@TOC

1. 文档

我们在写论文的时候经常需要查找一些文献,而文献的下载的格式也都是pdf格式,pdf格式的论文可以使用一些工具直接转化为word。但

==问题是公式没有办法很好的转化,繁杂冗长的公式,经常需要自己进行手打,十分不便== 例如这样的公式,你让我在word当中打出来,太难受了,实在是浪费时间,浪费生命。 在这里插入图片描述 于是,我开始探索,有没有这样一种工具,可以直接的将图片转化为word的公式呢。 哎,你别说,还真有,还真被我找到啦。

2. 工具

mathpix:数学公式图片识别神器

创始人 Nico Jimenez 本科毕业于约翰霍普金斯大学物理学和数学专业,硕士和博士阶段在斯坦福大学攻读计算数学。 2016年,他 drop 了 PhD 项目,转而开发 Mathpix. Micro-SaaS 的 Micro 特性使其更像一款 ToC 端的产品,在估值时更应该关注其 churn rate, 如用户换用其他的 OCR 工具等等。

Mathpix 👈点击链接即可打开下方的网站 在这里插入图片描述

3. 注册

下面我教大家如何进行注册使用。 首先我们点击log in进行注册 在这里插入图片描述 进入如下的页面,我们点击sign up 在这里输入自己注册的邮箱,以及密码 在这里插入图片描述 经过人机验证之后,你的邮箱将会收到一封通知短信,点击确认,你就可以成功的使用它。

4. 使用

初次进入使用页面将会呈现下方的网页 在这里插入图片描述 点击Launch App 在这里插入图片描述 进入下方网页 在这里插入图片描述 我们可以选择导入pdf,note,以及图片进行图片公式识别

4.1 转化pdf

我们点击pdf,导入pdf 在这里插入图片描述 识别成功,点击导出为word 在这里插入图片描述

现在耐心等待 在这里插入图片描述

等待弹窗 在这里插入图片描述 进行保存 打开文件,我们的公式都呈现出word版本的公式模样啦。 在这里插入图片描述

4.2 转化图片

首先将要转化的公式进行截图,并保存在word中 在这里插入图片描述 然后截一张比较大的图片,涵盖所有的公式 在这里插入图片描述 这时公式就保存到剪切板上啦

在此页面直接粘贴,等待上传成功 在这里插入图片描述

点击图片 在这里插入图片描述

选择导出为docx 在这里插入图片描述 等待导出即可

5. 缺点与不足

虽然说此工具十分的好用,但是有缺点

==要钱的==

在这里插入图片描述 我们看下面这张图片,新用户能够免费转化10个pdf,以及10张图片,如果想要转化更多就需要进行付费啦

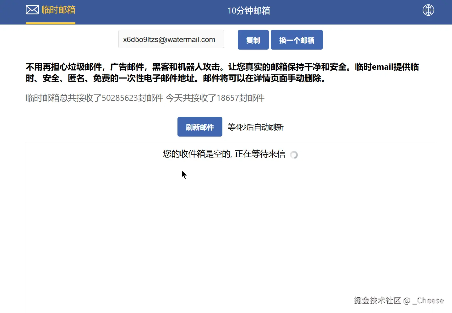
不过这个也不成什么问题,我们只需要用==临时邮箱==就可以解决 什么是临时邮箱呢,大家看这就是临时邮箱

在这里插入图片描述 生成临时邮箱,进行注册再进行使用即可。 祝你学术生涯顺利。

6. 其他文章

如果对您有帮助,请您点赞、收藏、关注、转发,让更多的人看到。