Nature最新报道:分析四大主流AI工具、性能测评、推荐使用场景

679 阅读15分钟

近期,Nature发表了文章《What are the best AI tools for research? Nature’s guide》,文章不仅揭示了当前AI工具的多样性,还指出每种模型在不同任务中的表现差异,探讨了不同AI模型的优劣与适用场景。

结论先行:

  1. o3-mini,采用了思维链推理(Chain-of-Thought)方式,模型丰富,使用次数多,综合能力最强。
  2. Claude 3.7 Sonnet,现阶段的编程王者,写作AI味儿最淡。
  3. DeepSeek R1,国产之光,2025年最火大模型,没有之一。
  4. Grok-3,被马斯克称为"地球上最聪明的AI",首个突破1400分的模型霸主。

一、o3-mini

你听说过慢准狠的AI吗?在这个追求速度的时代,OpenAI的o3-mini却选择了一条与众不同的道路——它不追求快,而是专注于准和狠!

1、思维链:AI也学会了冷静思考

o3-mini最大的特点就是采用了思维链推理(Chain-of-Thought)训练方式。简单来说,这就像是一个会打草稿的AI,它不急着给出答案,而是像人类一样,一步步拆解问题,思考过程,最后才得出结论。

想象一下,当你面对一道复杂的数学题时,你会怎么做?肯定是先分析条件,列出方程,逐步求解,最后得出答案。o3-mini正是模拟了这种人类思维模式,难怪它在科学、数学和复杂代码等高门槛任务中表现出色!

OpenAI还提供了深度研究功能,能将数百个网站的信息整合成带引用的报告。想象一下,这就像是拥有了一位不知疲倦的研究助理,24小时为你搜集资料,整理信息,帮你完成学术或技术研究。

2、o3-mini性能测评

  • o3-mini-low:适用于对响应速度要求高、推理复杂度较低的场景
  • o3-mini-medium:​在速度和推理能力之间提供平衡,适合大多数常见应用
  • o3-mini-high:​提供最强的推理能力,适用于需要深入分析和复杂推理的任务,但响应时间可能较长

如果说o1系列是编程界的老前辈,那么o3-mini就是后起之秀中的佼佼者。从LiveBench测试结果来看,o3-mini不仅超越了o1,而且随着推理强度的增加,优势越来越明显。这就好比是一场马拉松,o3-mini不仅起跑快,而且越跑越有劲!

在数学这个AI的"滑铁卢"领域,o3-mini展现出了令人惊叹的进步曲线:

  • o3-mini-low:与o1-mini不相上下,就像两个普通学生互相比拼
  • o3-mini-medium:一下子跃升到能与o1满血版较量的水平
  • o3-mini-high:彻底开挂,超越整个o1家族,成为数学竞赛中的"最强大脑"

更令人震惊的是,当o3-mini与Python工具联手时,首次尝试就能解决超过32%的问题,包括28%以上的T3级难题!这就像是一个学生不仅会做题,还能举一反三,创造性地解决前所未见的难题。

科学领域,o3-mini的表现更是令人咋舌。即使在低推理强度下,它也能轻松应对PhD级别的物理、化学和生物学问题,将o1-mini远远甩在身后。

3、o3-mini推荐使用场景

(1)复杂数学问题

无论是高等数学证明、概率统计还是微积分,o3-mini都能像数学教授一样,一步步拆解问题,展示完整推理过程。特别是在高推理强度下,它能解决连o1系列都难以应对的数学难题。

(2)科学研究

从物理定律到化学反应,从生物分子到天体运动,o3-mini在PhD级别的科学问题上表现惊人。它不仅能帮你理解复杂的科学概念,还能协助分析实验数据、提出研究假设、验证科学理论。

(3)编程开发

代码出bug了?算法效率低下?o3-mini来救场!它在编码领域的表现领先o1系列,尤其擅长与Python工具配合。无论是代码调试、性能优化还是算法设计,o3-mini都能提供清晰的思路和高质量的解决方案。

(4)教育与学习的个性化教练

想象一下,有一位老师能根据你的问题,一步步展示解题思路,耐心解释每个概念,还能根据你的理解程度调整讲解方式。o3-mini的思维链推理模式,使它成为完美的学习助手,无论是K12教育还是大学课程,都能提供个性化的学习体验。

(5)数据分析与信息整合专家

面对杂乱无章的数据,o3-mini能帮你重新格式化、分析和可视化。结合OpenAI的"深度研究"功能,它还能从海量信息中提取关键点,整合成有价值的报告。对于需要处理大量数据和信息的商业分析师、记者和研究人员来说,o3-mini就是那个能让你事半功倍的智能助手。

二、Claude 3.7 Sonnet

1、编码最强模型

Anthropic 发布最新模型Claude 3.7 Sonnet,在3.5的基础上,又有显著提升。妥妥的编程最强大模型,也是AI编辑器cursor的主力模型。

世界首款混合型大模型,融合了传统的即时响应技术与深层逻辑推理机制,在简单问答和复杂推理问题间随意切换。

  • 普通模式:升级版 Claude 3.5 Sonnet,速度更快、流畅度更高。
  • 推理模式:适用于数学、物理、编程、复杂分析任务,能进行深度推理与多步逻辑思考。

Claude的编程能力是第一梯队的,虽然用户较少,但主打高端玩家。它擅长的是大厂工程师所需级别的编程任务,可以理解由数千个文件组成的复杂代码库,并生成能正常运行的完整代码。

2、Claude 3.7 Sonnet性能测试

Claude 3.7 Sonnet刚刚登顶WebDev竞技场榜首。大幅甩第二名100多分,第二名居然是他自己——Claude 3.5 Sonnet。WebDev榜单与我们所熟知Chatbot Arena榜单同宗同源,也是由LMArena打造,更专注于AI编程、网页应用开发能力。

深度思考加持的Claude 3.7,在问答、写作、编程、数学、推理、多模态等诸多方面提升明显,直接晋升大模型T0梯队。

3、Claude 3.7 Sonnet推荐使用场景

(1)编程

作为代码审查的第一道关卡,Claude可以识别出潜在的bug、安全漏洞、性能瓶颈和可维护性问题。它提供的建议不像其他AI那样机械和模板化,而是考虑到项目的具体上下文和最佳实践,就像一位经验丰富的高级开发者的代码评审。

Claude 3.7 Sonnet在理解并转换不同编程语言之间的代码方面表现出色。当你需要将Python项目迁移到JavaScript,或将老旧的Java代码现代化为更简洁的Kotlin时,它能保持代码逻辑的同时,巧妙利用目标语言的特性。它不只是机械地翻译代码,而是能重构出符合目标语言最佳实践的代码结构。

(2)AI写作

Claude的写作风格自然流畅,几乎看不出AI痕迹,特别适合创作需要个人风格和专业感的高管演讲稿和商业沟通文件。它能捕捉品牌语调和个人风格,创作出既专业又带有个人特色的内容,避免了其他AI常见的公式化、僵硬表达。

在创意写作领域,Claude能够摆脱AI写作的刻板印象,创作出富有情感和创意的内容。无论是品牌故事、广告文案还是社交媒体内容,它都能注入适当的情感元素和巧妙的表达,让内容更有吸引力和共鸣感,不会让读者感觉在阅读"机器生成"的文字。

(3)个性化学习

Claude 3.7 Sonnet在教育领域大显身手,无论你是学生、教师还是终身学习者。它能够解释复杂概念,提供个性化的学习路径,回答深入的学术问题,甚至帮助准备考试或研究项目。与传统搜索引擎不同,它不仅提供信息,还能根据你的理解水平调整解释方式,确保知识传递的有效性。

三、DeepSeek-R1

1、平民版o1

在AI模型的竞技场上,DeepSeek-R1以"平民版o1"的姿态强势登场!这款模型像是穿着便宜西装的贵族——血统高贵,价格亲民,但却藏着几个让人哭笑不得的"小脾气"。

DeepSeek-R1的定位与OpenAI的o1非常相似,在数学推理和代码编写方面展现出惊人的相似度。但有一点明显不同,DeepSeek-R1的API使用成本显著低于o1,这对预算有限的团队来说简直是福音!

想象一下,这就像是买到了"国产版iPhone"——核心功能几乎一致,价格却只有原版的一半。

与封闭的o1不同,DeepSeek-R1采用"开放权重"模式,允许研究人员下载和定制底层模型。这就像是给了技术爱好者一把"万能钥匙",可以打开AI模型的"发动机盖",根据需要进行调整和优化。

尤其值得一提的是,DeepSeek-R1完整公开的"推理链"机制,为研究人员理解模型逻辑提供了独特视角。

2、DeepSeek-R1无足轻重的小毛病

虽然DeepSeek-R1光鲜亮丽,但使用过程中的一些小毛病却让用户直呼真香警告。

  1. 服务器繁忙,请稍后再试。这可能是DeepSeek用户看到最多的提示之一。
  2. AI味儿太重,DeepSeek的输出常常带有明显的AI味,就像是一位不苟言笑的机器人在演讲。无论你如何调教,它似乎总是难以摆脱那种"我是AI助手,很高兴为您服务"的刻板印象。
  3. 思考慢热症,如果你是个急性子,可能会被DeepSeek的思考速度逼疯。它的思维链机制虽然强大,但思考时间之长,让人忍不住想问:您是在计算宇宙起源吗?
  4. 安全隐患,在防止生成有害内容方面,DeepSeek-R1的防护措施相对不足,缺少有效过滤器来阻止危险内容生成,这也是该模型面临的一个显著问题。

尽管存在这些问题,DeepSeek-R1仍然是开源AI领域的一颗璀璨明星。它以亲民的价格和开放的态度,为研究人员和开发者提供了探索"思维链"技术的绝佳平台。

正如一句古话所说:金无足赤,人无完人。DeepSeek-R1的这些小缺点,或许正是它走向成熟的必经之路。对于那些能够容忍其偶尔任性的用户来说,这款模型无疑是一位性价比极高的AI助手!

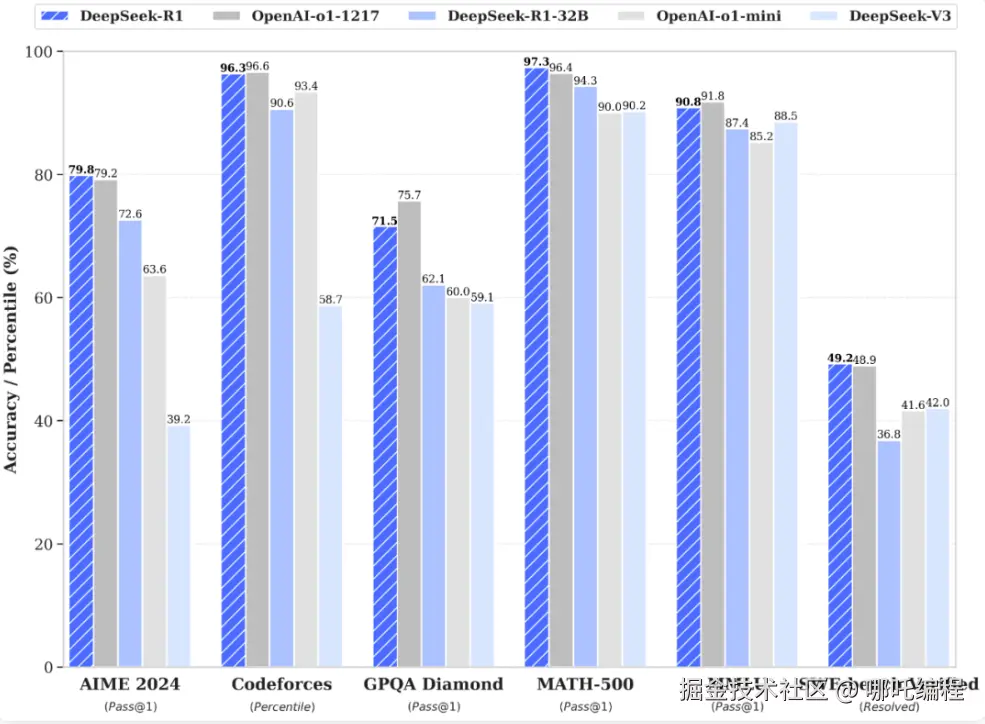
3、DeepSeek-R1性能测评

DeepSeek-R1整体表现非常强大,尤其在AIME 2024、GPQA Diamond和MATH-500等基准上处于领先地位。尽管在SWE-bench验证数据集上有所逊色,但与其他竞争模型相比,DeepSeek-R1的综合表现无疑是非常突出的。

4、DeepSeek-R1推荐使用场景

(1)学术研究

作为透明思维链的代表,DeepSeek-R1为研究人员打开了AI的黑箱。研究团队可以下载完整模型权重,观察推理过程,甚至二次开发专属版本。虽然它思考起来慢条斯理,但这恰恰让研究人员能够更全面地理解AI的决策过程。

(2)预算有限的创业团队的AI引擎

创业初期,每一分钱都要花在刀刃上。DeepSeek-R1以其低成本API和接近o1的性能,成为预算有限团队的完美选择。即使偶尔遇到服务器假期综合症,但考虑到价格优势,大多数创业者都愿意多等那么几秒钟。

(3)数学与编程

在数学与编程领域,DeepSeek-R1的废话连篇突然变成了优势!它不仅能解决复杂的数学问题和编程任务,还会详细展示每一步思考过程。对于学生来说,这就像是一位不厌其烦的老师,愿意解释每个细节,甚至在你已经理解的情况下,还要再啰嗦一遍,确保你真的掌握了知识点。对于自学能力强的学生来说,这简直是天赐良机!

四、Grok 3

1、地球上最聪明的AI

被马斯克誉为“地球上最聪明的AI”的Grok3,在孟菲斯超级集群上完成训练,使用了由10万块英伟达 H100 GPU 组成的 Colossus 超级计算机,总训练时长达到2亿 GPU 小时,计算量较前代模型 Grok 2 提升10倍。

Grok-3支持文本、图像和代码等多种输入方式,能够处理和生成多种类型的数据。Grok-3配备了DeepSearch引擎,能够扫描互联网,生成详细的摘要和回答,这使其在信息检索和数据分析方面具有显著优势。

xAI还公布推理AI模型Grok3 mini(Reasoning,精简版),基于Grok 3的“深度思考”(Deep thinking)的Agent智能搜索引擎,以及基于Grok App的独立订阅服务“Super Grok”等。

2、Grok 3性能测试

Grok 3是首个突破1400分的模型,并且在所有类别中排名第一。

Grok-3(尤其是其Reasoning Beta版本)在AIME 2025性能测试中表现极为突出,超过了其他所有模型,包括Grok-3 mini Reasoning(90分)。其推理和计算能力远超o3mini、高级模型o1、Deepseek-R1和Gemini-2 Flash Thinking,稳居榜首。

3、Grok-3推荐使用场景

(1)内容创作

在生成文章、博客内容、广告文案等方面,Grok-3能够提供高质量的文本生成服务,适用于媒体和营销领域。

(2)编程

Grok-3在代码生成和调试方面表现出色,能够快速生成高质量的代码,并协助开发者进行调试和优化,提高开发效率。

(3)数据分析

Grok-3能够从大量的数据中提取有价值的信息,提供精准的分析报告和商业洞察,广泛应用于金融、市场分析等领域。

(4)机器翻译

Grok-3能够处理多语言间的翻译任务,尤其在复杂句式和专业领域的翻译中展现出色的能力。

五、总结

1、o3-mini

模型丰富,使用次数多,综合能力最强。

o3-mini采用思维链推理训练模式,像一位会打草稿的学霸,一步步拆解问题,在科学、数学和复杂编程等高门槛任务中表现出色。随着推理强度从low到high递增,其性能优势愈发明显。

2、Claude 3.7 Sonnet

编程王者。

Claude 3.7 Sonnet作为世界首款融合即时响应与深层逻辑推理的混合型大模型,在编程领域实力无可撼动,能理解由数千个文件组成的复杂代码库并生成完整可运行代码。它刚刚以压倒性优势登顶WebDev竞技场榜首,在问答、写作、数学、推理等多方面全面开花,成为高端玩家不二之选。

3、DeepSeek R1

DeepSeek R1被誉为"平民版o1",在数学推理和代码编写方面与OpenAI旗舰产品相媲美,但API使用成本却大幅降低,虽然偶有服务器繁忙、AI味重和思考慢热等小毛病,但在多项权威基准测试中表现领先,是预算有限团队的智慧之选。

4、Grok-3

Grok-3被马斯克称为"地球上最聪明的AI",支持文本、图像和代码等多种输入方式,配备强大的DeepSearch引擎可扫描互联网生成详细摘要。作为首个突破1400分的模型霸主,它在AIME 2025性能测试中遥遥领先其他所有竞争者,推理能力已达前所未有的高度。

国内直接使用最新GPT-4.5、满血ChatGPT4o、o1、o3-mini-high、Claude 3.7 Sonnet、满血DeepSeek R1、Grok 3

✅️谷歌浏览器直接访问

Claude使用地址:claude.nezhagpt.cloud

ChatGPT使用地址:www.nezhasoft.cloud

一、纯原版ChatGPT、Claude

✅️官网原生页面

✅️真实Team会员账号

二、技术支持

✔️支持最新的GPT-4.5、满血ChatGPT-4o、o1、o3-mini-high、o1 pro

✔️支持Claude 3.7 Sonnent

✔️支持满血DeepSeek R1、Grok 3

✔️无需魔法、个人独享

三、搜索GPT(支持100+AI插件)、自定义插件

支持ChatGPT所有插件,可创建自己的ChatGPT插件,使用朋友分享的自定义插件。

例如最强编程插件Code Copilot、AI绘画插件DALL-E、论文专属Consensus。