可视化图解算法04:链表指定区间反转

76 阅读5分钟

1. 题目

描述

给你单链表的头指针 head 和两个整数 leftright ,其中 left <= right 。请你反转从位置 left 到位置 right 的链表节点,返回 反转后的链表

示例1

输入:

输入:head = [1,2,3,4,5], left = 2, right = 4
输出:[1,4,3,2,5]

4-1.jpg

示例 2

输入:head = [5], left = 1, right = 1
输出:[5]

提示:

  • 链表中节点数目为 n
  • 1 <= n <= 500
  • -500 <= Node.val <= 500
  • 1 <= left <= right <= n

2. 解题思路

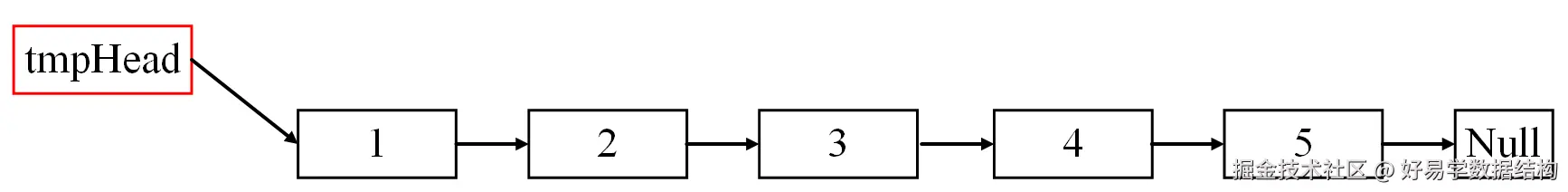
第1步:定义一个临时链表头节点。

4-2.png

第2步:定义(找到)截取区间外的指针变量:pre、post,截取区间指针变量:left、right。

4-3.png

第3步:切断原连接。

4-4.png

第4步:翻转局部链表。

4-5.png

链表的局部反转,可以参考上一篇讲解的《可视化图解算法:反转链表》。

第5步:接回原来的链表。

4-6.png

如果文字描述的不太清楚,你可以参考视频的详细讲解。

3. 编码实现

3.1 Python编码实现

class ListNode:
    def __init__(self, x):
        self.val = x  # 链表的数值域
        self.next = None  # 链表的指针域
​
​
# 从链表节点尾部添加节点
def insert_node(node, value):
    if node is None:
        print("node is None")
        return
    # 创建一个新节点
    new_node = ListNode(value)
    cur = node
    # 找到链表的末尾节点
    while cur.next is not None:
        cur = cur.next
    # 末尾节点的next指针域连接新节点
    cur.next = new_node
​
​
# 打印链表(从链表头结点开始打印链表的值)
def print_node(node):
    cur = node
    # 遍历每一个节点
    while cur is not None:
        print(cur.val, end="\t")
        cur = cur.next  # 更改指针变量的指向
    print()
​
def reverseList(left):
    if left is None:
        return
    pre = None  # (操作的)前序节点
    cur = left  # (操作的)当前节点
    nxt = left  # (操作的)下一个节点
    while cur is not None:
        nxt = cur.next
        cur.next = pre
        pre = cur
        cur = nxt
​
#
# 代码中的类名、方法名、参数名已经指定,请勿修改,直接返回方法规定的值即可
#
#
# @param head ListNode类
# @param m int整型
# @param n int整型
# @return ListNode类
#
class Solution:
    def reverseBetween(self, head: ListNode, m: int, n: int) -> ListNode:
        # write code here
        # 1. 定义一个临时链表头节点
        tmp_head = ListNode(-1)
        tmp_head.next = head
​
        # 2.定义(找到)截取区间外的指针变量:pre、post,截取区间指针变量:left、right
        pre = tmp_head
        for i in range(m - 1):
            pre = pre.next
        left = pre.next
        right = tmp_head
        for i in range(n):
            right = right.next
        post = right.next
​
        # 3.切断链接
        pre.next = None
        right.next = None
​
        # 4. 翻转局部链表
        reverseList(left)
​
        # 5.接回原来的链表
        pre.next = right
        left.next = post
​
        return tmp_head.next
​
​
if __name__ == '__main__':
    root = ListNode(1)
    insert_node(root, 2)
    insert_node(root, 3)
    insert_node(root, 4)
    insert_node(root, 5)
    print_node(root)
​
    s = Solution()
    head = s.reverseBetween(root, 2, 4)
    print_node(head)
​

3.2 Java编码实现

package LL02;
​
​
import javax.swing.plaf.nimbus.NimbusLookAndFeel;
​
public class Main {
    //定义链表节点
    static class ListNode {
        private int val;  //链表的数值域
        private ListNode next; //链表的指针域
​
        public ListNode(int data) {
            this.val = data;
            this.next = null;
        }
    }
​
    //添加链表节点
    private static void insertNode(ListNode node, int data) {
        if (node == null) {
            return;
        }
        //创建一个新节点
        ListNode newNode = new ListNode(data);
        ListNode cur = node;
        //找到链表的末尾节点
        while (cur.next != null) {
            cur = cur.next;
        }
        //末尾节点的next指针域连接新节点
        cur.next = newNode;
    }
​
    //打印链表(从头节点开始打印链表的每一个节点)
    private static void printNode(ListNode node) {
        ListNode cur = node;
        //遍历每一个节点
        while (cur != null) {
            System.out.print(cur.val + "\t");
            cur = cur.next; //更改指针变量的指向
        }
        System.out.println();
    }
​
​
    public static class Solution {
        /**
         * 代码中的类名、方法名、参数名已经指定,请勿修改,直接返回方法规定的值即可
         *
         * @param head ListNode类
         * @param m    int整型
         * @param n    int整型
         * @return ListNode类
         */
        public ListNode reverseBetween(ListNode head, int m, int n) {
            // write code here
            //1. 定义一个临时链表头节点
            ListNode tmpHead = new ListNode(-1);
            tmpHead.next = head;
​
            //2.定义(找到)截取区间外的指针变量:pre、post,截取区间指针变量:left、right
            ListNode pre = tmpHead;
            for (int i = 0; i < m - 1; i++) {
                pre = pre.next;
            }
            ListNode left = pre.next;
​
            ListNode right = tmpHead;
            for (int i = 0; i < n; i++) {
                right = right.next;
            }
            ListNode post = right.next;
​
            //3.切断链接
            pre.next = null;
            right.next = null;
​
            //4.反转局部链表
            reverseList(left);
​
            //5.接回原来的链表
            pre.next = right;
            left.next = post;
​
            return tmpHead.next;
​
        }
​
        private void reverseList(ListNode left) {
            ListNode pre = null; //前序节点
            ListNode cur = left; //(操作的)当前节点
            ListNode nxt = left;//(操作的)下一个节点
            while (cur != null) {
                nxt = cur.next;
                cur.next = pre;
                pre = cur;
                cur = nxt;
            }
        }
    }
​
    public static void main(String[] args) {
        ListNode root = new ListNode(1);
        insertNode(root, 2);
        insertNode(root, 3);
        insertNode(root, 4);
        insertNode(root, 5);
        printNode(root);
​
        Solution solution = new Solution();
        ListNode head = solution.reverseBetween(root, 2, 4);
        printNode(head);
    }
}
​

3.3 Golang编码实现

package main
​
import (
    "fmt"
)
​
type ListNode struct {
    Val  int       //链表的数值域
    Next *ListNode //链表的指针域
}
​
/**
 * 代码中的类名、方法名、参数名已经指定,请勿修改,直接返回方法规定的值即可
 *
 *
 * @param head ListNode类
 * @param m int整型
 * @param n int整型
 * @return ListNode类
 */
func reverseBetween(head *ListNode, m int, n int) *ListNode {
    // write code here
    //1. 定义一个临时链表头节点
    tempHead := &ListNode{Val: -1}
    tempHead.Next = head
    //2.定义(找到)截取区间外的指针变量:pre、post,截取区间指针变量:left、right
    pre := tempHead
    for i := 0; i < m-1; i++ {
        pre = pre.Next
    }
    left := pre.Next
    right := tempHead
    for i := 0; i < n; i++ {
        right = right.Next
    }
    post := right.Next
    //3.切断链接
    pre.Next = nil
    right.Next = nil
    //4.翻转局部链表
    reverseList(left)
    //5.接回原来的链表
    pre.Next = right
    left.Next = post
    return tempHead.Next
}
​
func reverseList(left *ListNode) {
    var pre *ListNode //(操作的)前序节点
    cur := left       //(操作的)当前节点
    nxt := left       //(操作的)下一个节点
    for cur != nil {
        nxt = cur.Next
        cur.Next = pre
        pre = cur
        cur = nxt
    }
}
func main() {
    root := &ListNode{Val: 1}
    root.Insert(2)
    root.Insert(3)
    root.Insert(4)
    root.Insert(5)
    root.Print()
​
    node := reverseBetween(root, 2, 4)
    node.Print()
}
​
// Insert 从链表节点尾部添加节点
func (ln *ListNode) Insert(val int) {
    if ln == nil {
        return
    }
    //创建一个新节点
    newNode := &ListNode{Val: val}
    cur := ln
    //找到链表的末尾节点
    for cur.Next != nil {
        cur = cur.Next
    }
    //末尾节点的next指针域连接新节点
    cur.Next = newNode
}
​
// Print 从链表头结点开始打印链表的值
func (ln *ListNode) Print() {
    if ln == nil {
        return
    }
    cur := ln
    //遍历每一个节点
    for cur != nil {
        fmt.Print(cur.Val, "\t")
        cur = cur.Next //更改指针变量的指向
    }
    fmt.Println()
}
​

如果上面的代码理解的不是很清楚,你可以参考视频的详细讲解。

4.小结

对于链表内指定区间反转的反转,可以通过5步操作完成:

(1)定义一个临时链表头节点;(2)定义(找到)截取区间外的指针变量:pre、post,截取区间指针变量:left、right;(3)切断链接;(4)翻转局部链表;(5)接回原来的链表。对于第4步局部反转用到了上一篇所讲的内容。

更多算法视频讲解,你可以从以下地址找到:

数据结构与算法精讲.png

对于链表的相关操作,我们总结了一套【可视化+图解】方法,依据此方法来解决链表相关问题,链表操作变得易于理解,写出来的代码可读性高也不容易出错。具体也可以参考视频详细讲解。

今日佳句:海内存知己,天涯若比邻。