李飞飞团队「具身智能」最新研究:机器人接手所有家务

244 阅读2分钟

李飞飞「具身智能」又出新研究了。

「机器人学习领域中的一个『圣杯』级挑战是执行通用的日常家庭移动操作任务。借助一款新型双臂移动机器人,我们的最新成果 ——BEHAVIOR Robot Suite(简称 BRS)正在尝试攻克这一极为困难且尚未解决的难题!」

视频详情

对于问题 2:JoyLo 能够为策略学习提供高质量的数据

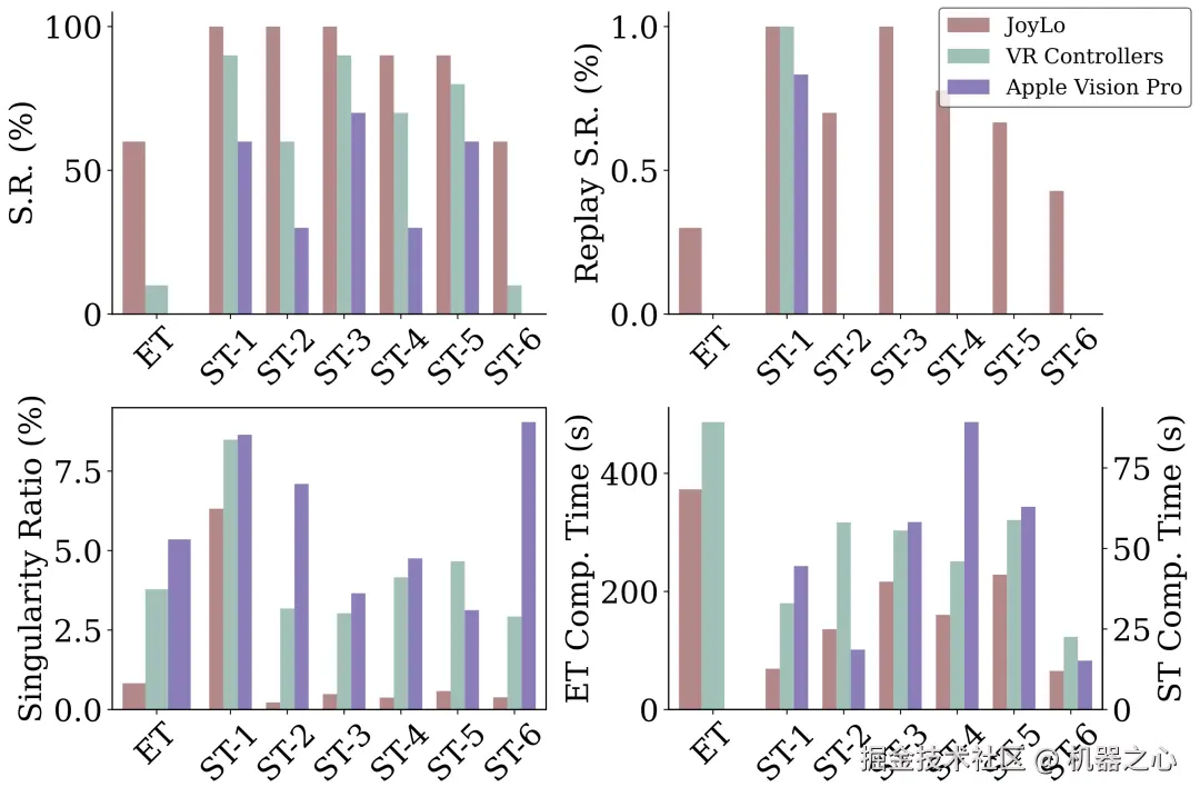
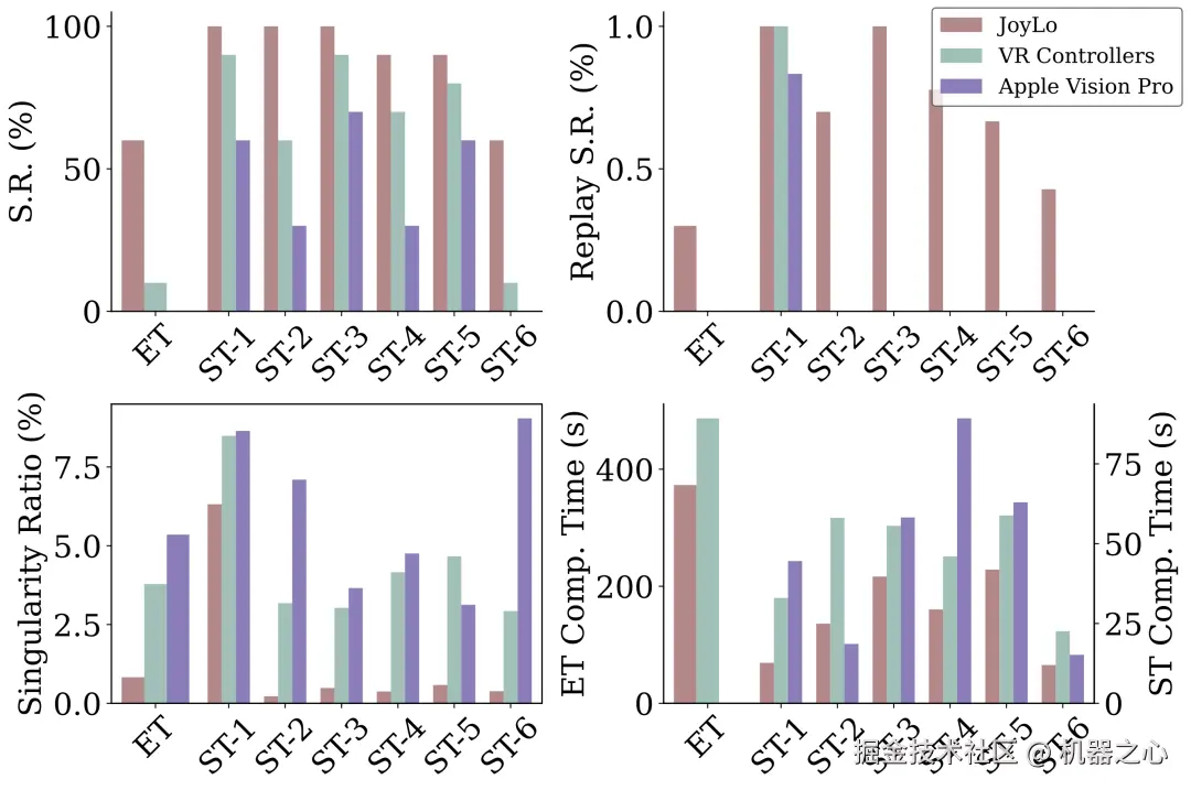
研究团队对 10 名参与者进行了全面的用户研究,以评估 JoyLo 的效果及其收集数据对策略学习的适用性。下图为将 JoyLo 与 VR 控制器和 Apple Vision Pro 进行比较。

效率优势:

  • JoyLo 整体任务成功率是 VR 控制器的 5 倍(Apple Vision Pro 无人完成全任务);

  • 中位完成时间较 VR 控制器缩短 23%;

  • 在铰接物体操作等精细任务中表现突出。

 用户研究结果(10 名参与者)。

用户体验:

  • 所有参与者最终评价 JoyLo 为最友好交互;

  • 70% 用户最初认为 IK 更直观,但实操后偏好逆转;

  • 用户反馈 IK 方法在移动底座 / 躯干控制上存在显著困难。

用户研究参与者的人口统计数据和调查结果。

对于问题 3:WB-VIMA 始终优于基线方法

实验显示,WB-VIMA 在所有任务中全面超越基准方法:端到端任务成功率比 DP3 高 13 倍,比 RGB-DP 高 21 倍;平均子任务表现分别优于 DP3(1.6 倍)和 RGB-DP(3.4 倍)。

五项代表性家庭活动的成功率。「ET」表示整个任务,「ST」表示子任务。

评估期间的安全违规情况。WB-VIMA 与环境物体的碰撞极少,且几乎不会因施加过度力量而导致电机失去动力。

对于问题 4:WB-VIMA 组件对任务性能的影响

研究团队针对 WB-VIMA 展开消融实验,分别移除自回归全身动作去噪和多模态观察注意力机制模块。实验表明,任一组件缺失均导致性能显著下降:在「将物品放上架子」及「整理衣物」任务的「打开衣柜」子任务中,移除自回归去噪模块使成功率骤降 53%;而多模态注意力机制缺失则全面削弱各任务表现。

「放置物品到架子上」和「铺展衣物」任务的消融实验结果。

最后,研究团队还展示了几个失败案例。包括:

  1. 尽管机器人已经抓住把手,但未能完全打开洗碗机;

  2. 未能按下冲水按钮;

  3. 未能从地板上拾起垃圾袋;

  4. 未能抬起地上的箱子;

  5. 未能关闭衣柜门。

了解更多内容,请查看原论文。