泵浦光与斯托克斯光相遇耦合效应的matlab模拟与仿真

77 阅读3分钟

1.程序功能描述 泵浦光与斯托克斯光相遇耦合效应的matlab模拟与仿真.

2.测试软件版本以及运行结果展示 MATLAB2022A版本运行

1.jpeg

2.jpeg

3.jpeg

4.jpeg

5.jpeg

6.jpeg

7.jpeg

8.jpeg

(完整程序运行后无水印)

3.核心程序

`figure(1); subplot(211);plot(dt:dt:tmax,Ip(:,1)); subplot(212);plot(dt:dt:tmax,Is(:,LL-1));

%定义计数器 i = 0; k = 0; for i = 1:Zmax/dz-1%距离微分 i t = 0; for k = 1:tmax/dt-1%时间偏微分

    if i == 1
       t = t + dt;
       Ip(k,1)    = Ipm*exp(-2*log(2)*((t-t0)/tp)^2);
       Is(k,LL-1) = Ism*sin(w*t); 
    else
       Ip(k+1,i)     =  Ip(k,i)    - rg*dt*( (Ip(k,i)      - Ip(k,i-1)) /dz  - gb*(Ip(k,i)*Is(k,i))        - alpha*Ip(k,i) );
       Is(k+1,LL-i)  =  Is(k,LL-i) + rg*dt*( (Is(k,LL-i+1) - Is(k,LL-i))/dz  - gb*(Ip(k,LL-i)*Is(k,LL-i))  - alpha*Ip(k,LL-i) ); 
    end
end

end

for i = 1:round((Zmax/dz-1)/2)-1 figure(3); xx = (tmax/dt/2+10:tmax/dt)'; plotyy(xx,Ip(xx,i),xx,Is(xx,i),'plot') axis([tmax/dt/2,tmax/dt,0,0.4]); pause(0.01); end `

4.本算法原理 泵浦光与斯托克斯光相遇耦合效应主要发生在非线性光学材料中,特别是涉及拉曼散射过程时。这一现象是拉曼光谱学和非线性光学研究中的重要组成部分,广泛应用于光学信号放大、频率转换以及量子信息处理等领域。

4.1拉曼散射基础 拉曼散射是光与物质相互作用的一种形式,其中入射光(泵浦光)与介质分子相互作用后,部分光子能量转移给介质分子的振动或转动模式,导致散射光的频率发生改变。散射光中频率低于泵浦光的部分称为斯托克斯光,频率高于泵浦光的部分称为反斯托克斯光。

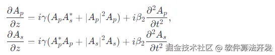
4.2非线性耦合方程 拉曼散射的非线性耦合效应可以通过非线性薛定谔方程(Nonlinear Schrödinger Equation, NLSE)来描述,尤其是在光纤等波导结构中,考虑二阶非线性效应时,方程通常包含泵浦光、斯托克斯光及其相互作用项。设泵浦光场为Ap​(z,t),斯托克斯光场为As​(z,t),忽略色散和损耗简化模型下,NLSE可写为:

7cbf4661c7b6b2e7b5709692d0a96892_watermark,size_14,text_QDUxQ1RP5Y2a5a6i,color_FFFFFF,t_100,g_se,x_10,y_10,shadow_20,type_ZmFuZ3poZW5naGVpdGk=.png

   这里,z代表传播方向上的坐标,t是时间变量,γ是非线性系数,反映了泵浦光与斯托克斯光之间的相互作用强度;β2​是群速度色散系数。上标星号表示复共轭。第一项右侧分别对应于泵浦光和斯托克斯光的自相位调制及交叉相位调制效应,体现了泵浦光与斯托克斯光的能量耦合和转换。

  泵浦光与斯托克斯光的有效耦合需要一定的相互作用长度L,耦合长度与介质的非线性系数、光强等因素有关。在某些应用中,如拉曼放大器或光学参量放大器,存在一个阈值泵浦功率,超过该阈值,斯托克斯光的产生显著增强,这是因为非线性效应随泵浦光强的增加而增强。