相机的内参和外参有什么含义,有什么作用?

1,115 阅读5分钟

你提到还是不理解相机的内参和外参的含义。别着急,我现在用一种更详细、更直观、更通俗的方式再给你解释一遍。


一、我们为什么需要内参外参

在现实中,拍一张照片本质上就是一个三维世界(现实中的物体)投影到二维图像平面的过程。

投影的过程涉及两种关系:

  1. 相机放在哪里、朝向哪里?
  2. 相机自身镜头到底是什么样的?

为了解决这两个问题,产生了:

  • 外参(Extrinsic Parameters):描述相机在空间的位置、朝向
  • 内参(Intrinsic Parameters):描述相机本身镜头的光学特性

接下来,我将非常详细地分别解释这两点。


📌 二、什么是外参

假设一个场景:

你站在屋子里拿着一台相机拍摄房间里的桌子。

这个时候,拍摄的照片到底是什么样子的,跟什么有关系呢?

  • 你站在哪个位置(是靠近门口、还是房间角落?)
  • 你朝向哪个方向(朝着窗户方向,还是朝墙角方向?)

相机外参就是用来描述你(或相机)在这个房间中的位置与方向的参数。

  • 外参包括两个要素

    • 旋转矩阵(R) :代表你站着时朝向哪个方向,朝上还是朝下、左转还是右转?
    • 平移向量(t) :表示你站在房间的哪个地方(具体坐标是多少?)

因此,外参告诉我们:

📢 相机在空间中的“位置”与“姿态”到底是怎样的。


二、什么是相机的内参呢?

好了,现在你已经确定好了站的位置和朝向了。那么,下一步影响我们拍出来图片效果的,就是相机镜头自身的特性了:

比如:

  • 相机镜头焦距是多少? (类似眼睛的晶状体放大效果)
  • 成像中心在哪里(光学中心,拍摄图片的中心点在哪个位置?)
  • 传感器本身的排列是否垂直(倾斜系数,一般情况下我们不用考虑)

我们用一个矩阵来表达这些参数,这就是内参矩阵 K:

image.png

📖 通俗类比

内参就像你的眼睛:

  • 焦距类似晶状体的聚焦作用(看远近和大小)。
  • 主点类似视网膜中心位置。

三、为什么要区分内参和外参?

你可能疑惑为什么这么麻烦,要分两个参数?

原因很简单:

  • 如果只有内参,我们只能知道镜头的特性,但不知道相机在什么位置。
  • 如果只有外参,我们知道相机在哪里,但不知道成像如何。
  • 两者缺一不可,合起来才能确定具体拍摄效果。

因此,我们通过下面的流程确定:

步骤内容作用
外参世界坐标系→相机坐标系明确相机位置、姿态
内参相机坐标系→图像坐标系明确相机自身特性如何影响拍摄

三、完整实例解释(再举个具体的例子方便理解)

假如你拿着手机拍摄一个桌上的苹果:

  • 内参
    决定苹果在拍摄的图片中大小、图片中心在哪。
  • 外参
    决定了你拿手机拍摄苹果时,你的位置(距离苹果50cm还是100cm?)、手机倾斜的角度如何。

两者共同作用才形成了一张准确的图片:

例如:

  • 内参类似你的眼睛,如果你近视,苹果成像模糊;
  • 外参则像你站在哪个位置、怎么看苹果,决定了你视角不同,看到的也不同。

三、在实际工程计算中,内外参如何使用?(为什么用矩阵)

在数学和程序实现中,通常用矩阵计算,非常方便快速:

1. 先用外参(R,tR,t)把物体坐标从世界坐标系转换到相机坐标系:

image.png

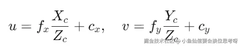
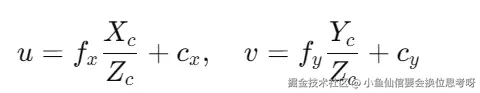
2. 再用内参矩阵 K,将相机坐标系投影到图像平面上:

image.png

简单展开一下:

image.png

得到图像上的像素坐标(u,v)。


四、快速总结回顾(加深印象)

  • 内参(相机自身光学特性)

    • 类似眼睛晶状体性质,决定图片成像特征。
  • 外参(位置与方向)

    • 类似拍摄时你的站位与朝向。
  • 内外参必须共同作用,才能决定最终拍摄图片的样子。


🔖 引用的权威链接(权威拓展资料)

🔗 MathWorks 官方Camera Calibration资料

原文链接:

关键翻译:

“Camera parameters include intrinsics, extrinsics, and distortion coefficients.”
相机参数包括内参、外参和镜头畸变系数。

"The intrinsic parameters represent a projective transformation from the 3-D camera’s coordinates into the 2-D image coordinates."
内参代表三维相机坐标到二维图像坐标的投影关系。


五、最后一点小建议

理解这些概念,最好的方法是:

  • 结合上面提供的生活类比、公式推导、多次阅读。
  • 实际拍摄(比如不同位置拍摄物体,观察变化)。

这样能更直观地理解什么是内参外参。


现在你再结合以上详细、生动的解释,尝试回忆一下,是不是比之前更容易理解了呢?

如果你还有任何疑问,随时告诉我,我都会持续帮助你解决理解上的问题!