相机内参、外参、焦距及图像坐标计算的完整解析

1,932 阅读3分钟

📷 相机内参、外参、焦距及图像坐标计算的完整解析(原理推导+官方文档翻译)

本文系统讲解相机校准中的内参、外参、焦距的详细含义及推导过程,明确为什么会有这些矩阵和公式,并引用权威资料和官方文档,帮助理解和记忆。


🔖 一、相机内参和外参的来源与含义(深入理解)

📍 什么是内参和外参?

  • 内参(Intrinsic parameters)
    描述相机自身的光学特性,比如焦距、光学中心、传感器尺寸等相机自身属性。
  • 外参(Extrinsic parameters)
    描述相机的位置与方向,即相机在三维世界坐标系下的位置(平移)与方向(旋转)。

相机模型通常用如下形式表示:

(来自 MathWorks 官方文档:Camera Calibration - MATLAB & Simulink

image.png

说明

image.png


📍 为什么需要这些矩阵(Why)?

我们在3D空间定位物体并映射到图片上时,需要两个步骤:

  • 先用外参确定物体在相机的视角里(相机坐标系)。
  • 再用内参决定在图像上如何显示(图像坐标系)。

因此我们引入:

  • 外参矩阵 [R|t] (3×4):世界坐标系→相机坐标系。
  • 内参矩阵 K(3×3)描述相机自身的投影特性(视角、大小)。

📌 二、焦距的作用和公式推导

焦距(Focal Length)影响拍摄视野(Field of View,简称FOV)与物体的成像大小。

MathWorks官方链接对焦距作用的英文原文解释:

"The intrinsic parameters include the focal length, optical center (principal point), and the skew coefficient."

译文:“内参包括焦距、光学中心(主点)和像素倾斜系数。”

链接:Camera Calibration - MATLAB & Simulink

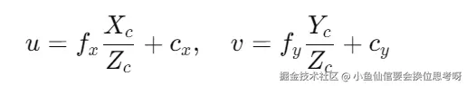
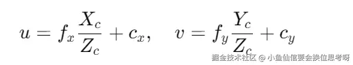
📌 焦距公式推导(详细过程)

相机投影模型通常采用针孔相机模型(pinhole model):

针孔相机模型示意图

该图来自:MathWorks - pinhole camera model

🔖 推导过程

通过相似三角形原理:

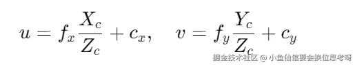
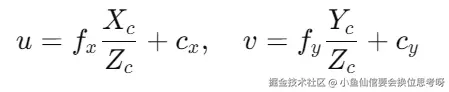
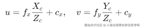
image.png 从中推出像素坐标(u,v):

image.png 说明

  • fx,fy表示焦距,单位像素(pixels)。
  • (cx,cy)图像光心位置(主点坐标)。

📌 二、焦距公式推导的直观理解(为什么这样?)

焦距本质是透镜中心到传感器之间的距离,焦距决定:

  • 焦距越大:放大更明显,视野小
  • 焦距越小:视野大,放大弱

下面图(来源于MathWorks)展示了焦距对视野的影响:

焦距和视野关系

链接原文:ww2.mathworks.cn/help/vision…


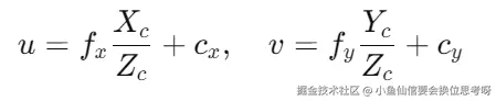
🧮 二、详细的坐标计算流程(公式推导+解释)

已知:

image.png 两步推导过程:

🚩 第一步(外参变换):从世界坐标到相机坐标

通过外参旋转矩阵R和平移向量t:

image.png

🚩 第二步(内参变换):

image.png 将物体映射到图片中。


📌 三、引用扩展链接资源与翻译(MathWorks官方文档)

为了方便你深入研究,这里提供权威链接与对应翻译:

英文原文中文翻译
Geometric camera calibration estimates the parameters of a lens and image sensor.几何相机校准是估算镜头和图像传感器参数的过程。
These parameters correct for lens distortion and determine camera position.这些参数可以用来修正镜头畸变,确定相机位置。
Camera parameters include intrinsics, extrinsics, and distortion coefficients.相机参数包括内参、外参和畸变系数。

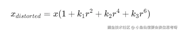
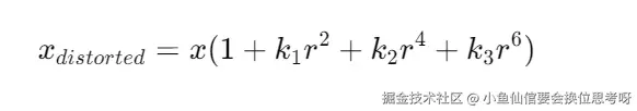
📚 三、知识拓展:常见的镜头畸变

实际相机存在径向(Radial)和切向(Tangential)畸变。

径向畸变:

物体离图像中心越远,畸变越明显,典型有桶形和枕形畸变:

径向畸变公式:

image.png

切向畸变:

由于镜头与成像平面不完全垂直导致:

image.png


🔖 四、总结表格(记忆用):

概念说明类比
内参相机光学属性(焦距、中心)眼睛晶状体
外参相机位置和朝向拍摄时的位置和视角
焦距决定视野大小望远镜放大倍数
坐标计算过程世界坐标→相机坐标→图片坐标拍摄流程