DeepSeek:当人人都会用AI时,你如何用得更好更出彩?从入门到精通《入门阶段》

747 阅读3分钟

一、DeepSeek是什么?

定义:Deepseek字面意思为“深度探索”,旨在通过先进的人工智能技术深入探索和分析信息。

起源:Deepseek的概念最初源于对自然界奥秘的无限好奇,随着人工智能、大数据、云计算等技术的飞速发展,逐渐从概念转变为具体的技术平台和工具。

DeepSeek 是一个专注于深度学习和人工智能的工具或平台,旨在帮助用户从基础到高级掌握相关技术。无论你是初学者还是有一定经验的开发者,DeepSeek 都提供了丰富的资源和工具来支持你的学习与实践。

  • DeepSeek是一家专注通用人工智能(AGI)的中国科技公司,主攻大模型研发与应用。

  • DeepSeek-R1是其开源的推理模型,擅长处理复杂任务且可免费商用。

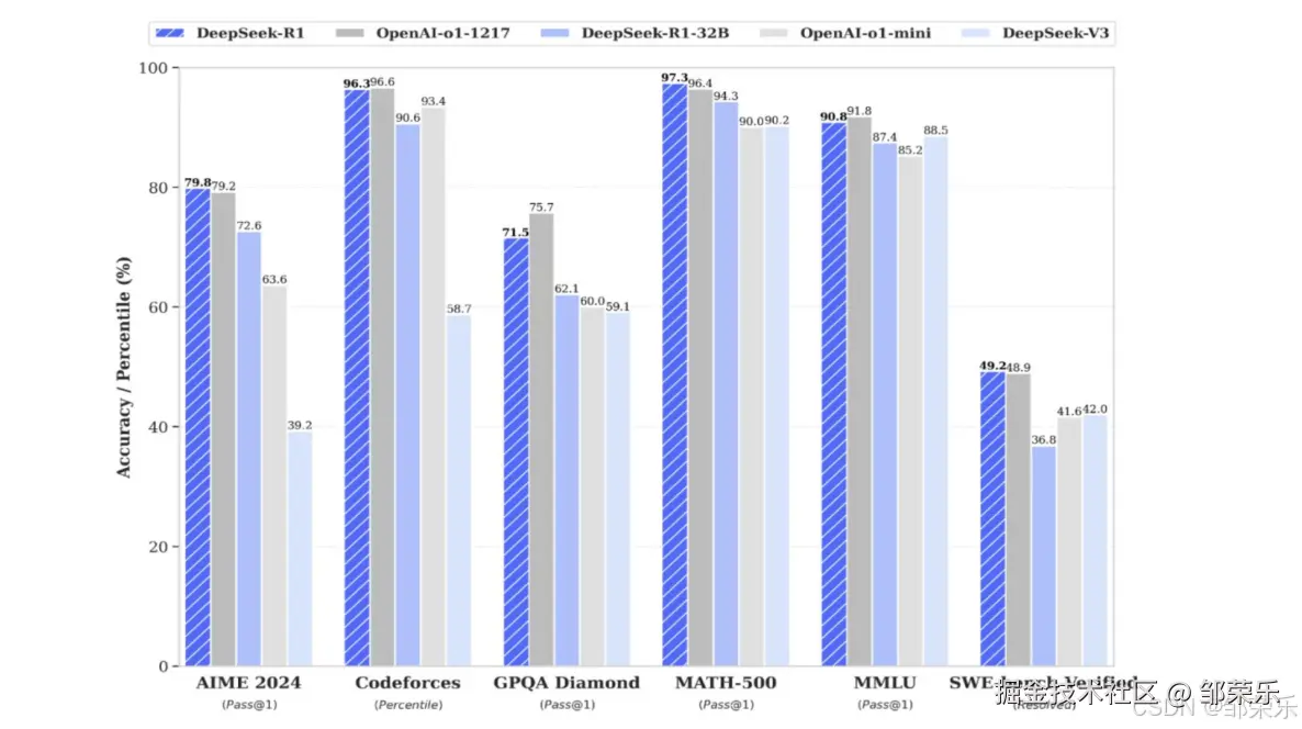
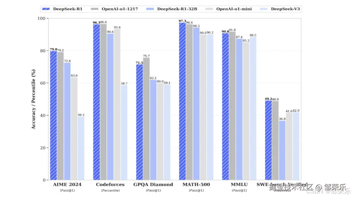
在这里插入图片描述

DeepSeek-R1 在数学、代码和推理任务中实现了与 OpenAI-o1 相当的性能。 DeepSeek-R1-Distill-Qwen-32B 在各种基准测试中均优于 OpenAI-o1-mini,为密集模型取得了新的最先进成果。

二、Deepseek可以做什么?

直接面向用户或者支持开发者,提供智能对话、文本生成、语义理解、计算推理、代码生成补全等应用场景,支持联网搜索与深度思考模式,同时支持文件上传,能够扫描读取各类文件及图片中的文字内容。

在这里插入图片描述

1、文本生成

Deepseek能够根据用户的要求生成高质量的文本内容,如文章、报告、邮件等。对于已有的文本内容,Deepseek能够进行润色、修改和校对,提升文本的质量和可读性。

在这里插入图片描述

2、语义理解

能进行高质量的文本分析、翻译、摘要生成等任务。

在这里插入图片描述

3、代码生成

在这里插入图片描述

4、常规绘图

在这里插入图片描述

三、如何使用DeepSeek?

1、官方网站

chat.deepseek.com

在这里插入图片描述

2、适用人群

初学者:提供入门教程、示例代码和交互式学习环境,帮助新手快速上手。

中级开发者:提供高级模型、优化技术和实战项目,帮助用户提升技能。

专家级用户:支持自定义模型开发、分布式训练和研究前沿技术。

3、特点与优势

易用性:提供直观的界面和详细的文档,降低学习曲线。

高性能:支持分布式训练和多 GPU 加速,提升模型训练效率。

灵活性:兼容多种深度学习框架,支持自定义模型和算法。

社区支持:拥有活跃的社区和丰富的资源,方便用户交流和学习。

4、未来发展与展望

深化技术创新:持续推动人工智能技术的创新和发展,提升Deepseek的智能化水平和处理能力。

加强跨学科合作:推动知识与技术的深度融合与共享,拓展Deepseek的应用领域和场景。

应对社会问题:积极应对技术伦理、数据安全等社会问题,确保技术的健康发展与社会的和谐共生。

5、有效提问的五个黄金法则

明确需求:具体说明需要AI完成什么任务。 提供背景:给出与问题相关的背景信息,有助于AI更准确地理解问题。 指定格式:明确要求AI输出内容的格式。 控制长度:根据需求合理控制AI输出内容的长度。 及时纠正:对AI的回答不满意时,及时给出反馈并要求修改。

DeepSeek 提供了一个全面的平台,帮助用户从入门到精通深度学习和人工智能。通过系统的学习、实践和创新,你将能够掌握这一领域的前沿技术,并在实际项目中应用这些知识。不断学习和探索,你将能够在深度学习领域取得卓越的成就。