MoBA:LLM长文本救星!月之暗面开源新一代注意力机制:处理1000万token能快16倍,已在Kimi上进行验证

522 阅读4分钟

❤️ 如果你也关注 AI 的发展现状,且对 AI 应用开发感兴趣,我会每日分享大模型与 AI 领域的开源项目和应用,提供运行实例和实用教程,帮助你快速上手AI技术!

🥦 AI 在线答疑 -> 智能检索历史文章和开源项目 -> 尽在微信公众号 -> 搜一搜:蚝油菜花 🥦


💥 「你的LLM还在为长文本「爆内存」?Moonshot突破性方案:千万token推理速度提升16倍!」

大家好,我是蚝油菜花。当同行还在为以下问题头疼时——

  • 🚨 32k上下文跑批处理,显存占用直接OOM
  • 🚨 百万token文档检索,响应速度堪比树懒
  • 🚨 全注意力机制计算量爆炸,稀疏方案又损失精度...

MoBA的横空出世正在改写游戏规则!这个由Moonshot AI开源的下一代注意力机制,通过块稀疏架构+无参数门控实现「鱼与熊掌兼得」:

  • ✅ 处理1000万token速度提升16倍
  • ✅ 内存占用降低58%且零精度损失
  • ✅ 无需微调直接替换现有Attention层

已在Kimi智能助手验证的MoBA,究竟如何突破Transformer瓶颈?接下来我们将深入解析其三大核心黑科技。

🚀 快速阅读

MoBA 是一种创新的注意力机制,旨在提高大型语言模型(LLMs)处理长上下文任务的效率。

  1. 核心功能:支持块稀疏注意力、无参数门控机制以及全注意力与稀疏注意力的无缝切换。
  2. 技术原理:基于细粒度块划分和因果性设计,结合 FlashAttention 和 MoE 的优化技术。

MoBA 是什么

MoBA

MoBA(Mixture of Block Attention)是由 Moonshot AI 提出的一种新型注意力机制,专为解决大型语言模型(LLMs)在处理长上下文任务时的计算复杂度问题而设计。通过将上下文划分为多个块(block),并引入无参数的 top-k 门控机制,MoBA 能让每个查询 token 动态选择最相关的键值(KV)块进行注意力计算,从而显著降低计算成本,同时保持与传统全注意力机制相当的性能。

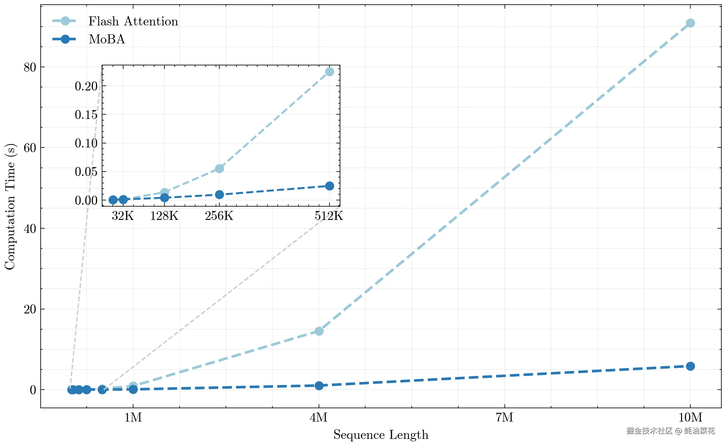
MoBA-computation_time

这种机制的核心优势在于“少结构”原则,避免了预定义的偏见,使模型能够自主决定关注点。实验表明,MoBA 在处理 100 万 token 的长文本时,速度比传统全注意力机制快 6.5 倍;而在处理 1000 万 token 的超长文本时,速度提升可达 16 倍。

Moonshot AI 已经在 Kimi 平台上验证了 MoBA 的实际效果,并开源了相关代码。

MoBA 的主要功能

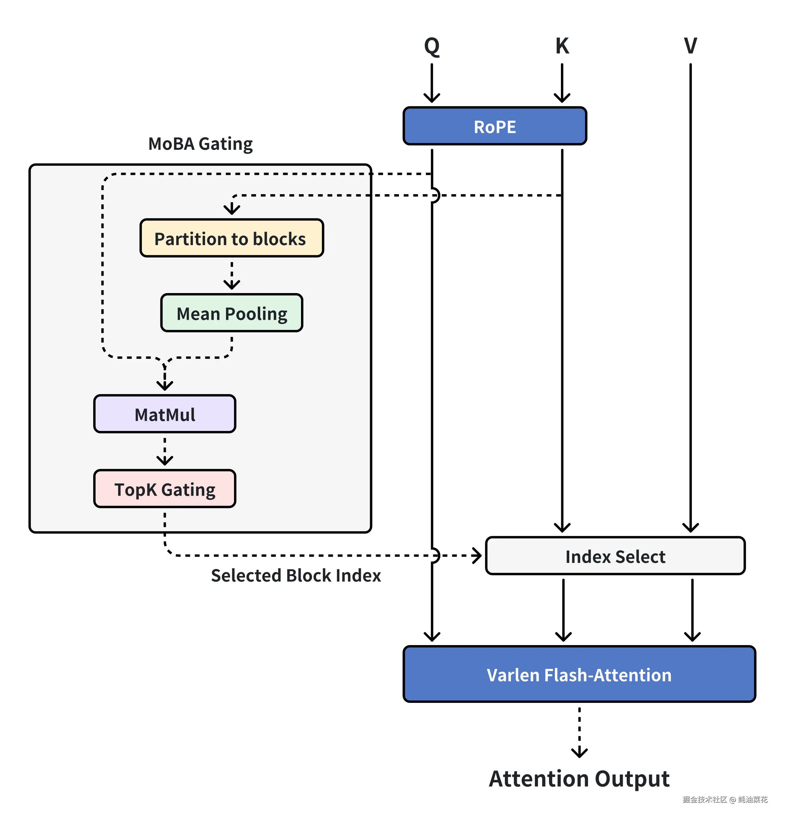
MoBA-moba_with_flash_attn

  • 块稀疏注意力:将上下文划分为多个块,每个查询 token 动态选择最相关的键值(KV)块进行注意力计算,实现高效的长序列处理。
  • 无参数门控机制:通过新颖的 top-k 门控机制,为每个查询 token 动态选择最相关的块,确保模型只关注最有信息量的部分。
  • 全注意力与稀疏注意力的无缝切换:设计为全注意力的灵活替代品,能在全注意力和稀疏注意力模式之间无缝切换,提高效率而不影响性能。
  • 高性能实现:结合 FlashAttention 和 MoE(混合专家模型)的优化技术,显著降低计算复杂度。
  • 与现有模型的兼容性:可以轻松集成到现有的 Transformer 模型中,无需大量训练调整。

MoBA 的技术原理

  • 因果性设计:为了保持自回归语言模型的因果关系,MoBA 确保查询 token 不能关注未来的块,在当前块中应用因果掩码,避免信息泄露,同时保留局部上下文信息。
  • 细粒度块划分与扩展性:支持细粒度的块划分,类似于 MoE 中的专家划分策略,提升了性能,使 MoBA 能扩展到极长的上下文(如 1000 万 token),在长上下文任务中表现出色。

如何运行 MoBA

1. 环境搭建

MoBA 的当前内核实现依赖于 flash-attn==2.6.3torch >= 2.1.0。以下是环境搭建步骤:

conda create -n moba python=3.10
conda activate moba
pip install .

2. 快速启动

MoBA 提供了一个与 transformers 兼容的实现,用户可以通过以下命令快速启动:

python3 examples/llama.py --model meta-llama/Llama-3.1-8B --attn moba

此命令会使用 MoBA 注意力机制运行指定的 Llama 模型。

3. 单元测试

运行以下命令以执行单元测试:

pytest tests/test_moba_attn.py

资源


❤️ 如果你也关注 AI 的发展现状,且对 AI 应用开发感兴趣,我会每日分享大模型与 AI 领域的开源项目和应用,提供运行实例和实用教程,帮助你快速上手AI技术!

🥦 AI 在线答疑 -> 智能检索历史文章和开源项目 -> 尽在微信公众号 -> 搜一搜:蚝油菜花 🥦