一、传统的多头注意力机制(MHA,Multi-Head Attention):
在标准的Transformer中,多头注意力机制(MHA)通过并行计算多个注意力头来捕捉输入序列中的不同特征。每个注意力头都有自己的查询(Query, Q)、键(Key, K)和值(Value, V)矩阵,他们各自的主要作用如下:
- 查询矩阵 Q:查询矩阵是你想要寻找某个信息的"问题"。在Transformer中,查询矩阵是输入的一个投影,表示当前token对其他token的"需求"。它帮助你确定自己在序列中的位置和需要关注什么内容。
- 键矩阵 K:键矩阵是每个token提供的"信息"或"标识符"。每个token都有一个与之关联的键,用于与查询进行对比,以确定它与查询的相关性。你可以把键想象成词语的"标签"。
- 值矩阵 V:值是实际的信息,提供了词向量的内容。根据Q与K的匹配程度,V最终用来生成输出向量。
假定:d是隐向量维度,nh是注意力头的数量,dh是每个注意力头的维度,ht是attention层地t个token的输入隐向量。
- 标准的MHA首先使用三个权重矩阵(训练参数)Wq,Wk,Wv∈Rdh∗nh∗d计算得到qt,kt,vt向量。然后qt,kt,vt向量拆分成nh份(每个注意力头分一份):
[qt,1;qt,2;...;qt,nh]=qt[kt,1;kt,2;...;kt,nh]=kt[vt,1;vt,2;...;vt,nh]=vt
- 使用qt,kt计算注意力得分,并使用注意力权重对vt进行加权求和,得到每个注意力头的结果:
ot,i=j=1∑t︁Softmaxj(dhqt,iTkj,i)vj,i
- 最后把所有注意力头结果向量拼接起来,通过一层限行映射回原始维度:
ut=WO[ot,1;ot,2;...;ot,nh]
二、多头潜在注意力机制(MLA,Multi-Head Latent Attention) :

MLA的核心是对value和key进行低秩联合压缩来减少推理时的键值缓存(KV cache),MLA设计中所有的K和V都需要缓存,MLA只需要缓存一个压缩的向量,并且此向量纬度远远小于dhnh,只需要在推理计算时再向上投影生成所有的K和V。具体计算如下:
2.1 对value和key进行低秩联合压缩:
具体的:
-
生成压缩潜在隐向量(latent vector),其中WDKV∈Rdc×d是下投影矩阵 ctKV=WDKVht。
-
通过上投影矩阵WUK,WUV∈Rdhnh∗dc将潜在隐向量分别重建键K矩阵和值V矩阵,注意可以认为是映射成隐向量维度 h ,而不是每个注意力头的维度:ktC=WUKctKV,vtC=WUVctKV
-
应用旋转位置编码(RoPE),引入位置信息。因为传统的MHA中,每个token都对应着自己的K向量,天然包含了位置信息,现在通过一个共用的潜在隐向量映射得到的K是不包含位置信息的。ktR=RoPE(WKRht)。其中, WKR∈RdhR∗d是用于生成解耦键的矩阵, dhR是解耦键的维度。
-
将位置矩阵 ktR和上投影得到的矩阵 ktC拼接得到最终的地t个位置token的K矩阵:kt=[ktV;ktR],vt=vtC。
因此在推理过程中,为了加速推理,需要将K、V缓存。当采用MLA:只有ktKV和ktR需要缓存,只需要缓存(dc+dhR)∗l个参数。如果是MLA,所有keys和values向量都需要缓存,则需要缓存 2nhdhl 个参数。
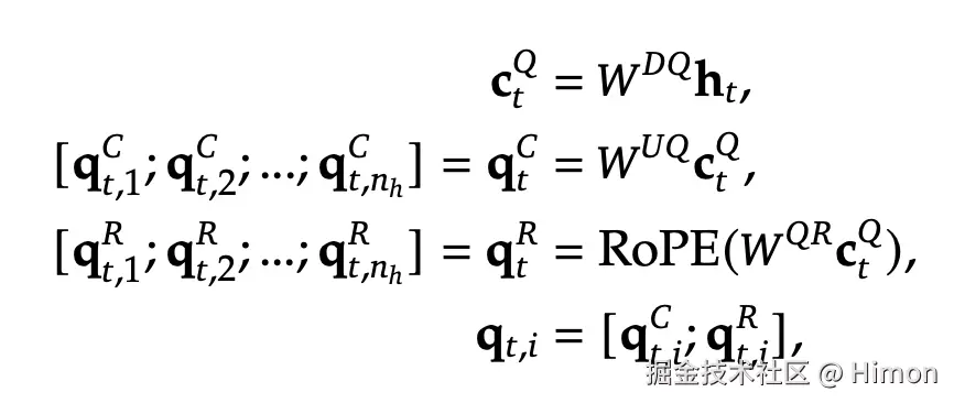
2.2 处理query向量
同样的,为了降低训练过程中的内存激活量,对Q也进行类似的处理:

2.3 计算attention输出
最后使用query (qt,i),keys (kj,i)和values (vj,iC)计算attention结果,这里qt,i和kj,i都拼接了RoPE位置向量,所以纬度是一样的,其中WO∈Rd∗dhnh表示输出映射层矩阵 , 最终得到纬度为d的输出隐向量:
