足球预测|AI预测软件:概率模型worldliveball

1,143 阅读6分钟

引言

足球预测是体育统计学中一个备受关注的领域,尤其是在足球比赛中,如何准确预测比赛结果不仅关乎球迷的期待,也影响着博彩市场的运作。本文将探讨足球预测软件worldliveball所采用的贝叶斯多项式-狄利克雷模型(Multinomial-Dirichlet Models),研究其在足球比赛结果预测中的应用,并与三种已知的预测模型进行比较。通过对1710场巴西足球甲级联赛比赛的分析,我们将展示这些模型的预测能力及其有效性。

worldliveball官网

足球预测分析工具下载地址(PC)

图片1.png

模型理论背景

在统计文献中,足球比赛的最终结果通常通过建模进球数或直接建模比赛的分类结果(胜、平、负)来进行预测。本文将重点讨论两种模型:贝叶斯多项式-狄利克雷模型和布拉德利-特里模型(Bradley-Terry Model)。

1.贝叶斯多项式-狄利克雷模型

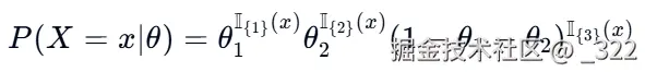
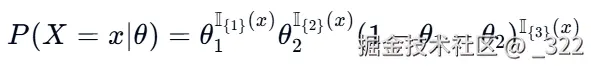
我们提出的贝叶斯多项式-狄利克雷模型仅考虑每支球队的胜、平、负场次作为输入。假设随机变量X表示比赛结果,其取值范围为X={1,2,3},分别代表主队胜、平局和客队胜。定义P=(θ1,θ2,θ3)为关于X的概率预测,其中θ1、θ2和θ3分别表示主队胜、平局和客队胜的概率。

图片2.png

根据多项式分布的性质,我们可以得出以下概率质量函数:

图片3.png

其中,II是指示函数,若x等于某值则为1,否则为0。

1.1模型推导

假设球队(A)在过去的(n)场比赛中分别赢得了M1场、平局M2场和输掉M3场,则随机向量(M1,M2,M3)服从多项式分布:

图片4.png

我们假设θ服从狄利克雷先验分布D(α1,α2,α3),则后验分布为:

图片5.png

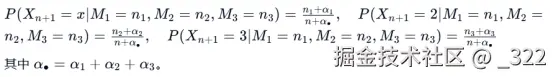
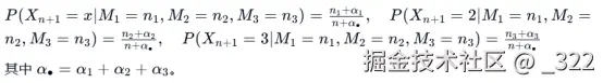
因此,未来一场比赛的预测分布为:

image.png

其中α∙=α1+α2+α3。

2.布拉德利-特里模型

布拉德利-特里模型主要用于对成对比较的对象进行排名,其应用也延伸至体育比赛的结果预测。该模型假设每场比赛的结果可以通过以下概率公式来描述:

image.png

其中,γ是主场优势参数,ν是用于平局的参数,πi是队伍i的能力参数。

数据分析与模型比较

我们将对2006年至2014年间的1710场巴西足球甲级联赛的比赛结果进行分析。为此,我们将使用三种评分规则(Brier评分、对数评分和球面评分)来评估模型的预测性能。

3.评分规则

3.1Brier评分

Brier评分用于评估概率预测的准确性,定义为:

image.png

对于每场比赛的预测结果P=(P1,P2,P3),Brier评分越低表示预测越准确。

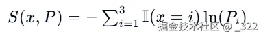
3.2对数评分

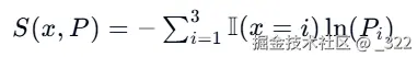
对数评分是基于事件发生的负对数似然性,定义为:

image.png

该评分也越低越好,理想情况下,当预测完全准确时,得分为0。

3.3球面评分

球面评分考虑了预测的归一化,定义为:

image.png

实验结果与讨论

在对1710场比赛的预测中,我们比较了Arruda模型、Lee模型、布拉德利-特里模型以及我们提出的多项式-狄利克雷模型。通过计算每种模型的Brier评分、对数评分和球面评分,我们发现所有模型的预测能力相近,但多项式-狄利克雷模型在某些评分上表现优于布拉德利-特里模型。

image.png

4.结果分析

根据评分结果,模型的表现如下:

  • Brier评分:多项式-狄利克雷模型的平均Brier评分为0.624,相较于布拉德利-特里模型的0.635,显示出更高的准确性。
  • 对数评分:多项式-狄利克雷模型的对数评分为1.040,表明其在预测时的置信度更高。
  • 球面评分:在球面评分中,多项式-狄利克雷模型的表现同样优于布拉德利-特里模型。

5.足球预测软件worldliveball预测效果展示

预测成效

该预测模型依托于庞大的赛事数据,通过应用机器学习算法进行深度分析。经过精确的数据挖掘与算法处理,模型具备一定的赛事结果预测能力,其预测准确率约为80%。这一预测能力对赛事发展趋势的判断具有重要意义,为赛事分析提供了有价值的参考依据。

模型的80%准确率得益于多种先进技术的协同运作,诸如泊松分布和蒙特卡洛模拟等方法。这些技术从不同角度对赛事数据进行分析,有效提升了预测的准确性。该模型已被广泛应用于全球范围的赛事,通过筛选相关赛事并整理关键信息,为关注者提供数据支持,帮助优化体育赛事分析工作。

image.png

赛事监测成效

在赛事的进行过程中,监测模块发挥着关键作用。该模块利用先进的数据采集技术,实时捕捉比分和比赛进程等关键信息。这些数据一旦采集完成,便进入智能分析流程,通过高效的算法进行快速处理,最终转化为赛事分析和趋势预测结果。

随后,分析结果会即时推送给用户,帮助用户及时了解赛事动态,并基于科学分析对比赛走势进行合理预判。这一过程避免了盲目观赛,提升了用户对赛事的理解,同时优化了整体的观赛体验。

image.png

结论

本文探讨了两种贝叶斯多项式-狄利克雷模型在足球比赛预测中的应用,并与三种传统模型进行了比较。结果表明,多项式-狄利克雷模型不仅在预测准确性上具有竞争力,还在校准和适应性方面表现出色。这些发现为未来的足球预测研究提供了新的视角和方法。

未来的研究可以考虑更复杂的模型、不同的评分规则,以及在其他足球联赛中的应用,以进一步验证和扩展这些模型的有效性。

image.png