卷积神经网络基础

104 阅读3分钟

1.卷积神经网络结构?

输入层:输入原始数据

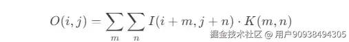
卷积层:选定卷积核 并根据步长进行点积运算,生成的结果就是特征图中的元素,写入特征图 卷积计算公式如下 image.png

卷积过程也会进行填充,比如对于输入数组,中心数据会由于位置关系,参与多次卷积 位置边缘区域卷积次数少 边缘区域信息可能会丢失,并且通过填充可以控制特征图的大小 常用的填充方式有以下几种

有效填充:不进行填充 卷积核仅在当前输入图里进行滑动卷积 适用于低计算量的场景

相同填充:希望输入图和特征图大小保持不变,因此需要将边缘进行填充原数据 这样可以避免边缘信息丢失

零填充:边缘信息填充0 有效控制特征图大小

池化层:

池化层的目的是降低特征图的大小,防止过拟合,保留区域重要特征 池化举例

image.png

全连接层

将池化层的向量进行拟合 并输出最终的分类结果,这里和之前学习的神经网络结构就是一样的了

举例如下:

image.png

输出层

输出最终的分类结果

2.卷积层做什么?什么是卷积核?

前文已经讲述清楚了,卷积层是用来提取特征的,与卷积核进行点积运算,并按照步长进行滑动,生成的点积结果就是最终的该区域的特征值写入到特征图当中

特征图的大小 = (输入的长-卷积核的长 + 1)*(输出的宽 - 卷积核的宽 +1)

3.卷积为什么需要多层,单层和多层的差异是什么?

单层卷积只能提取浅层的特征,用于低数据量的任务较为合适,如果任务量变大,单层卷积对于高阶特征是无法提取的,且容易过拟合 多层卷积可以提取较高的特征信息,比如第一层提取浅层信息,第二层提取纹理等中层特征等 多层卷积由于层级高,因此训练难度低于单层卷积,并且所需要的参数量也是较大的

4.卷积层的四个核心参数是什么?

滤波器的数量:我个人的看法是这个还是取决于后面三个参数 卷积核的size 步长 填充

5.步长和填充对于卷积的意义是什么?

这个就不必赘述了

6.卷积结果计算公式

前文已经讲过了 就是点积运算 生成的特征值写入到特征图当中

7.什么是感受野?

简单来说就是卷积核的大小 较小的卷积核 观察到的区域就越小 因此感受野观察到的也就是局部特征 感受野越大,那么观察到的特征也就越全局

8.经典卷积神经网络有哪几类,展开说明。

9.卷积神经网络工作原理是什么?

  1. 前向传播:通过卷积层、池化层和全连接层提取特征并生成输出。
  2. 损失计算:比较网络输出与真实标签,计算损失值。
  3. 反向传播:计算损失函数对网络参数的梯度。
  4. 权重更新:通过梯度下降法更新网络参数。

通过反复迭代上述过程,卷积神经网络可以逐渐优化参数,提取出更有意义的特征,从而提高模型的性能。